ĐỀ KIỂM TRA GIỮA HỌC KỲ II
MÔN TOÁN LỚP 11 – BỘ SÁCH CÁNH DIỀU ĐỀ SỐ 4
I. Trắc nghiệm (7 điểm)
Câu 1. Khảo sát thời gian tự học ở nhà của một số học sinh khối 11 thu được mẫu số liệu ghép nhóm sau:
Thời gian tự học ở nhà (giờ) Số học sinh 10 30 7 3
Nhóm chứa mốt của mẫu số liệu trên là A. . B. . C. . D. .
Câu 2. Cho mẫu số liệu ghép nhóm về chiều cao của 50 cây mít giống như sau:
Tứ phân vị thứ nhất của mẫu số liệu ghép nhóm này là A. . B. . C. . D. .
Câu 3. Người ta ghi lại tuổi thọ của một số con ruồi giấm cho kết quả như sau: Tuổi thọ (ngày) Số lượng 5 12 23 31 29
Tuổi thọ trung bình của ruồi giấm trong mẫu số liệu trên là A. . B. . C. . D. .
Câu 4. Cho hai biến cố và . Biến cố giao
được phát biểu dưới dạng
mệnh đề nêu sự kiện là
A. “ xảy ra hoặc xảy ra”.
B. “Cả và cùng xảy ra”.
C. “ xảy ra và không xảy ra”.
D. “ không xảy ra và xảy ra”.
Câu 5. Chọn đáp án đúng. Nếu hai biến cố và xung khắc thì A. . B. .
C. Cả hai đáp án A và B đều đúng.
D. Cả hai đáp án A và B đều sai.
Câu 6. Nếu hai biến cố và xung khắc thì A. . B. . C. . D. .
Câu 7. Xét phép thử gieo ngẫu nhiên một con xúc xắc đồng chất sáu mặt. Gọi là
biến cố: “Số chấm thu được là số chẵn”, là biến cố: “Số chấm thu được là số
không chia hết cho 4”. Mô tả biến cố giao ta được tập hợp A. . B. . C. . D. .
Câu 8. Từ một hộp chứa quả cầu đỏ và quả cầu xanh, lấy ngẫu nhiên đồng thời
quả cầu. Xác suất để “lấy được quả cầu cùng màu” bằng? A. . B. . C. . D. .
Câu 9. Trong một kì thi có
thí sinh đỗ. Hai bạn A, B cùng dự kì thi đó. Xác suất
để chỉ có một bạn thi đỗ là A. . B. . C. . D. .
Câu 10. Cho hai số thực dương và hai số thực
tùy ý. Khẳng định nào sau đây là sai? A. . B. . C. . D. . Câu 11. Tính , ta được A. . B. . C. . D. .
Câu 12. Với là số thực khác 0 thì A. . B. . C. . D. .
Câu 13. Cho số dương , biểu thức
viết dưới dạng lũy thừa hữu tỷ là
A. . B. . C. . D. . Câu 14. Rút gọn ta được A. . B. . C. . D. . Câu 15. Cho và
. Tìm mệnh đề đúng trong các mệnh đề sau: A. có nghĩa với mọi . B. và . C. . D. .
Câu 16. Giá trị của bằng A. . B. . C. . D. .
Câu 17. Khẳng định nào sau đây là đúng?
A. Lôgarit cơ số 10 của số thực dương kí hiệu là .
B. Lôgarit cơ số 10 của số thực dương kí hiệu là .
C. Lôgarit cơ số 10 của số thực dương kí hiệu là .
D. Lôgarit cơ số 10 của số thực dương kí hiệu là . Câu 18. Nếu thì bằng A. . B. . C. . D. 3. Câu 19. Cho
là các số thực lớn hơn 1 thỏa mãn . Giá trị của biểu thức là A. . B. . C. . D. .
Câu 20. Trong các hàm số sau đây hàm số nào không phải là hàm số mũ? A. . B. . C. . D. .
Câu 21. Hàm số nào dưới đây là hàm số lôgarit cơ số 3? A. . B. . C. . D. .
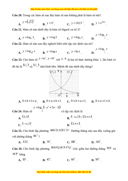
Câu 22. Hàm số nào sau đây nghịch biến trên tập xác định của nó? A. . B. . C. . D. . Câu 23. Cho hàm số với
là hai số thực dương khác 1, lần lượt có đồ thị là và
như hình bên. Mệnh đề nào dưới đây đúng? A. . B. . C. . D. . Câu 24. Hàm số có tập xác định là A. . B. . C. . D. .
Câu 25. Cho hình lập phương
. Đường thẳng nào sau đây vuông góc với đường thẳng ? A. . B. . C. . D. .
Câu 26. Cho hình lập phương
Góc giữa hai đường thẳng và bằng A. . B. . C. . D. .
Đề thi giữa kì 2 Toán 11 Cánh diều (Đề 4)
390
195 lượt tải
MUA NGAY ĐỂ XEM TOÀN BỘ TÀI LIỆU
CÁCH MUA:
- B1: Gửi phí vào TK:
1053587071
- NGUYEN VAN DOAN - Ngân hàng Vietcombank (QR) - B2: Nhắn tin tới Zalo VietJack Official ( nhấn vào đây ) để xác nhận thanh toán và tải tài liệu - giáo án
Liên hệ ngay Hotline hỗ trợ: 084 283 45 85
Chúng tôi đảm bảo đủ số lượng đề đã cam kết hoặc có thể nhiều hơn, tất cả có BẢN WORD, LỜI GIẢI CHI TIẾT và tải về dễ dàng.
Để tải tài liệu gốc về máy bạn click vào nút Tải Xuống ở trên!
Thuộc bộ (mua theo bộ để tiết kiệm hơn):
- Tailieugiaovien.com.vn giới thiệu bộ 10 đề giữa kì 2 môn Toán 11 Cánh diều mới nhất năm 2023 - 2024 nhằm giúp Giáo viên có thêm tài liệu tham khảo ra đề thi Toán lớp 11.
- File word có lời giải chi tiết 100%.
- Mua trọn bộ sẽ tiết kiệm hơn tải lẻ 50%.
Đánh giá
4.6 / 5(390 )5
4
3
2
1

Trọng Bình
Tài liệu hay
Giúp ích cho tôi rất nhiều

Duy Trần
Tài liệu chuẩn
Rất thích tài liệu bên VJ soạn (bám sát chương trình dạy)