ĐỀ KIỂM TRA GIỮA HỌC KỲ II
MÔN TOÁN LỚP 11 – BỘ SÁCH CÁNH DIỀU ĐỀ SỐ 9
I. Trắc nghiệm (6 điểm)
Câu 1. Cho mẫu số liệu ghép nhóm trong đó có một nhóm là . Độ dài của nhóm này là A. 200. B. 235. C. 5. D. 35.
Câu 2. Khảo sát thời gian tự học ở nhà của một số học sinh khối 11 thu được mẫu số liệu ghép nhóm sau:
Thời gian tự học ở nhà (giờ) Số học sinh 10 30 7 3
Nhóm chứa trung vị trong mẫu số liệu trên là A. . B. . C. . D. .
Câu 3. Các bạn học sinh lớp 11A1 trả lời 40 câu hỏi trong một bải kiểm tra. Kết quả
được thống kê ở bảng sau:
Số câu trả lời đúng Số học sinh 4 6 8 18 4
Xác định số trung bình cộng của mẫu số liệu trên. A. 20. B. 25. C. 30. D. 35.
Câu 4. Đo chiều cao các em học sinh khối ta thu được kết quả
Tứ phân vị thứ nhất của mẫu số liệu ghép nhóm trên là A. . B. . C. . D. .
Câu 5. Chọn đáp án đúng. Nếu và là hai biến cố độc lập thì
A. và là hai biến cố xung khắc.
B. và là hai biến cố độc lập.
C. và là hai biến cố không độc lập.
D. là biến cố đối của biến cố .
Câu 6. Nếu và là hai biến cố xung khắc thì A. . B. . C. . D. .
Câu 7. Lớp 11A có 40 học sinh, trong đó có 16 học sinh giỏi Toán, 20 học sinh giỏi
Văn và 12 học sinh giỏi cả hai môn đó. Chọn ngẫu nhiên một học sinh của lớp. Xác
suất để chọn được học sinh giỏi một trong hai môn Toán hoặc Văn là A. . B. . C. . D. .
Câu 8. Một hộp đựng
tấm thẻ được đánh số từ đến . Chọn ngẫu nhiên tấm
thẻ. Gọi là xác suất để tổng số ghi trên tấm thẻ ấy là một số lẻ. Khi đó bằng A. B. C. D. Câu 9. Cho
. Khẳng định nào sau đây đúng? A. B. C. D. .
Câu 10. Cho là số thực dương khác . Khi đó bằng A. . B. . C. . D. . Câu 11. Cho thỏa mãn
. Khi đó khẳng định nào đúng? A. . B. . C. . D. .
Câu 12. Cho đẳng thức
Khi đó thuộc khoảng nào sau đây?
A. . B. . C. . D. .
Câu 13. Cho hai số dương
. Mệnh đề nào dưới đây sai? A. . B. . C. . D. . Câu 14. Với
là các số thực dương tùy ý và , bằng A. . B. . C. . D. . Câu 15. Nếu thì bằng A. . B. . C. . D. . Câu 16. Cho
là các số thực dương thỏa mãn
Giá trị của biểu thức là A. B. C. D.
Câu 17. Trong các hàm số sau, hàm số nào là hàm số mũ? A. . B. . C. . D. .
Câu 18. Tập xác định của hàm số là A. . B. . C. . D. .
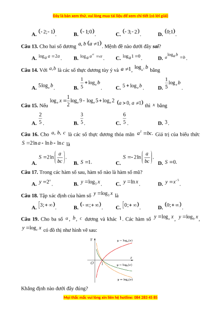
Câu 19. Cho ba số , , dương và khác . Các hàm số , ,
có đồ thị như hình vẽ sau:
Khẳng định nào dưới đây đúng?
A. . B. . C. . D. . Câu 20. Cho hàm số . Gọi
và lần lượt là giá trị lớn nhất và giá trị nhỏ nhất của trên đoạn . Khi đó ta có A. . B. . C. . D. .
Câu 21. Hai đường thẳng và được gọi là vuông góc với nhau nếu A. chúng cắt nhau.
B. góc giữa chúng bằng .
C. góc giữa chúng bằng .
D. góc giữa chúng bằng .
Câu 22. Cho hình hộp
có tất cả các cạnh đều bằng nhau. Trong các
mệnh đề sau, mệnh đề nào có thể sai? A. . B. . C. . D. .
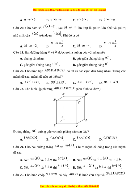
Câu 23. Cho hình lập phương (như hình vẽ dưới). Đường thẳng
vuông góc với mặt phẳng nào sau đây? A. . B. . C. . D. .
Câu 24. Cho hai đường thẳng và
. Chỉ ra mệnh đề đúng trong các mệnh đề sau: A. Nếu và thì . B. Nếu và thì . C. Nếu và thì . D. Nếu và thì .
Câu 25. Cho hình chóp có đáy là hình chữ nhật và .
Đề thi giữa kì 2 Toán 11 Cánh diều (Đề 9)
403
202 lượt tải
MUA NGAY ĐỂ XEM TOÀN BỘ TÀI LIỆU
CÁCH MUA:
- B1: Gửi phí vào TK:
1053587071
- NGUYEN VAN DOAN - Ngân hàng Vietcombank (QR) - B2: Nhắn tin tới Zalo VietJack Official ( nhấn vào đây ) để xác nhận thanh toán và tải tài liệu - giáo án
Liên hệ ngay Hotline hỗ trợ: 084 283 45 85
Chúng tôi đảm bảo đủ số lượng đề đã cam kết hoặc có thể nhiều hơn, tất cả có BẢN WORD, LỜI GIẢI CHI TIẾT và tải về dễ dàng.
Để tải tài liệu gốc về máy bạn click vào nút Tải Xuống ở trên!
Thuộc bộ (mua theo bộ để tiết kiệm hơn):
- Tailieugiaovien.com.vn giới thiệu bộ 10 đề giữa kì 2 môn Toán 11 Cánh diều mới nhất năm 2023 - 2024 nhằm giúp Giáo viên có thêm tài liệu tham khảo ra đề thi Toán lớp 11.
- File word có lời giải chi tiết 100%.
- Mua trọn bộ sẽ tiết kiệm hơn tải lẻ 50%.
Đánh giá
4.6 / 5(403 )5
4
3
2
1

Trọng Bình
Tài liệu hay
Giúp ích cho tôi rất nhiều

Duy Trần
Tài liệu chuẩn
Rất thích tài liệu bên VJ soạn (bám sát chương trình dạy)