ĐỀ KIỂM TRA GIỮA HỌC KỲ II
MÔN TOÁN LỚP 11 – BỘ SÁCH CHÂN TRỜI SÁNG TẠO ĐỀ SỐ 10
I. Trắc nghiệm (6 điểm)
Câu 1. Chọn mệnh đề đúng trong các mệnh đề dưới đây. A. . B. với . C. . D. .
Câu 2. Khẳng định nào sau đây là đúng? A. . B. . C. . D. .
Câu 3. Viết biểu thức về dạng lũy thừa ta được bằng A. B. C. D. Câu 4. Cho hàm số với Giá trị của bằng A. . B. . C. . D. . Câu 5. Cho
. Trong các khẳng định sau, khẳng định nào đúng? A. . B. . C. . D. . Câu 6. Cho , biểu thức
có giá trị bằng bao nhiêu? A. 3. B. . C. . D. .
Câu 7. Giá trị của biểu thức bằng
A. 5 B. 3 C. 2 D. 1 Câu 8. Biết thì bằng A. . B. . C. . D. .
Câu 9. Trong các hàm số sau đây hàm số nào không phải là hàm số mũ? A. . B. . C. . D. .
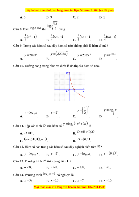
Câu 10. Đường cong trong hình vẽ dưới là đồ thị của hàm số nào? A. . B. . C. . D. .
Câu 11. Tập xác định của hàm số là A. . B. . C. . D. .
Câu 12. Hàm số nào trong các hàm số sau đây nghịch biến trên ? A. . B. . C. . D. .
Câu 13. Phương trình có nghiệm khi A. . B. . C. . D. .
Câu 14. Phương trình có nghiệm là A. . B. . C. D.
Câu 15. Tập nghiệm của bất phương trình là A. . B. . C. . D. . Câu 16. Cho hàm số có đồ thị và đạo hàm Hệ số góc của tiếp tuyến của tại điểm bằng A. . B. . C. . D. .
Câu 17. Đạo hàm của hàm số tại điểm được kí hiệu là A. . B. . C. . D. .
Câu 18. Tiếp tuyến của đồ thị hàm số
tại điểm có hoành độ 0 là đường thẳng A. . B. . C. . D. . Câu 19. Hàm số
có đạo hàm trên đạo hàm của hàm số là A. . B. . C. . D. .
Câu 20. Đạo hàm của hàm số là A. . B. . C. . D. .
Câu 21. Đạo hàm của hàm số là A. . B. . C. . D. .
Câu 22. Trên khoảng , đạo hàm của hàm số bằng A. . B. . C. . D. .
Câu 23. Trong các mệnh đề sau mệnh đề nào đúng?
A. Góc giữa hai đường thẳng và có số đo từ 0° đến 180°.
B. Góc giữa hai đường thẳng và bằng 0° khi đường thẳng song song
hoặc trùng với đường thẳng .
C. Góc giữa hai đường thẳng song song bằng 180°.
D. Góc giữa hai đường thẳng luôn luôn là góc nhọn.
Câu 24. Tìm mệnh đề sai trong các mệnh đề sau:
A. Cho hai đường thẳng chéo nhau và vuông góc nhau. Khi đó, có một và chỉ
một mặt phẳng chứa hai đường thẳng này và vuông góc với đường thẳng kia.
B. Qua một điểm cho trước có duy nhất một đường thẳng vuông góc với
đường thẳng cho trước.
C. Qua một điểm cho trước có duy nhất một mặt phẳng vuông góc với đường thẳng cho trước.
D. Qua một điểm cho trước có duy nhất một đường thẳng vuông góc với một mặt phẳng cho trước.
Câu 25. Cho hình chóp
có tất cả các cạnh đều bằng . Số đo của góc giữa hai đường thẳng và bằng A. . B. . C. . D. . Câu 26. Hình chóp có đáy là tam giác vuông tại vuông góc với
mặt phẳng đáy. Số các mặt của hình chóp là tam giác vuông là A. 2. B. 3. C. 4. D. 1.
Câu 27. Trong không gian cho đường thẳng và điểm Có bao nhiêu mặt phẳng
chứa điểm và vuông góc với đường thẳng A. 2. B. Vô số. C. Không có. D. 1.
Câu 28. Cho hình lập phương như hình vẽ dưới.
Đề thi giữa kì 2 Toán 11 Chân trời sáng tạo (Đề 10)
660
330 lượt tải
MUA NGAY ĐỂ XEM TOÀN BỘ TÀI LIỆU
CÁCH MUA:
- B1: Gửi phí vào TK:
1053587071
- NGUYEN VAN DOAN - Ngân hàng Vietcombank (QR) - B2: Nhắn tin tới Zalo VietJack Official ( nhấn vào đây ) để xác nhận thanh toán và tải tài liệu - giáo án
Liên hệ ngay Hotline hỗ trợ: 084 283 45 85
Chúng tôi đảm bảo đủ số lượng đề đã cam kết hoặc có thể nhiều hơn, tất cả có BẢN WORD, LỜI GIẢI CHI TIẾT và tải về dễ dàng.
Để tải tài liệu gốc về máy bạn click vào nút Tải Xuống ở trên!
Thuộc bộ (mua theo bộ để tiết kiệm hơn):
- Tailieugiaovien.com.vn giới thiệu bộ 10 đề giữa kì 2 gồm đầy đủ ma trận và lời giải chi tiết môn Toán 11 bộ Chân trời sáng tạo mới nhất năm 2023 - 2024 nhằm giúp Giáo viên có thêm tài liệu tham khảo ra đề thi Toán lớp 11.
- File word có lời giải chi tiết 100%.
- Mua trọn bộ sẽ tiết kiệm hơn tải lẻ 50%.
Đánh giá
4.6 / 5(660 )5
4
3
2
1

Trọng Bình
Tài liệu hay
Giúp ích cho tôi rất nhiều

Duy Trần
Tài liệu chuẩn
Rất thích tài liệu bên VJ soạn (bám sát chương trình dạy)