ĐỀ KIỂM TRA GIỮA HỌC KỲ II
MÔN TOÁN LỚP 11 – BỘ SÁCH CHÂN TRỜI SÁNG TẠO ĐỀ SỐ 6
I. Trắc nghiệm (6 điểm)
Câu 1. Cho là số thực dương,
Khẳng định nào sau đây sai? A. B. C. D. Câu 2. Cho
là hai số thực dương khác và là hai số thực tùy ý.
Đẳng thức nào sau đây sai? A. . B. . C. . D. .
Câu 3. Tính giá trị của bằng A. . B. . C. . D. .
Câu 4. Rút gọn biểu thức thu được kết quả là A. B. C. D. Câu 5. bằng A. . B. . C. . D. 3. Câu 6. Cho và
. Trong các mệnh đề sau, mệnh đề nào sai? A. . B. . C. . D. . Câu 7. Cho , . Biểu thức bằng A. . B. . C. . D. .
Câu 8. Với mọi , , là các số thực dương thoả mãn .
Mệnh đề nào dưới đây đúng? A. . B. . C. . D. .
Câu 9. Trong các hàm số sau, hàm số nào là hàm số lôgarit? A. . B. . C. . D. .
Câu 10. Tập xác định của hàm số là A. B. C. D. .
Câu 11. Hàm số nào sau đây đồng biến trên ? A. . B. . C. . D. .
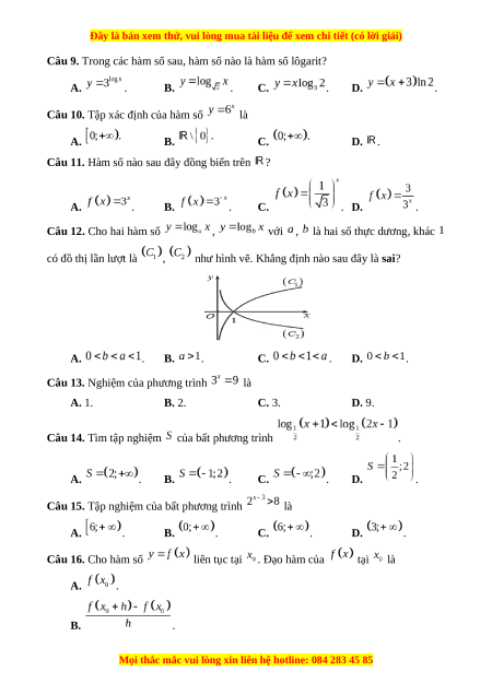
Câu 12. Cho hai hàm số ,
với , là hai số thực dương, khác
có đồ thị lần lượt là ,
như hình vẽ. Khẳng định nào sau đây là sai? A. . B. . C. . D. .
Câu 13. Nghiệm của phương trình là A. 1. B. 2. C. 3. D. 9.
Câu 14. Tìm tập nghiệm của bất phương trình . A. . B. . C. . D. .
Câu 15. Tập nghiệm của bất phương trình là A. . B. . C. . D. . Câu 16. Cho hàm số
liên tục tại . Đạo hàm của tại là A. . B. .
C.
(nếu tồn tại giới hạn). D.
(nếu tồn tại giới hạn).
Câu 17. Nếu hàm số
biểu thị quãng đường di chuyển của vật theo thời gian
thì … biểu thị tốc độ tức thời của chuyển động tại thời điểm . Đáp án thích hợp
điền vào “…” để được câu đúng là A. . B. . C. . D. .
Câu 18. Cho chuyển động thẳng xác định bởi phương trình , trong
đó được tính bằng giây (s), được tính bằng mét (m), vận tốc tức thời của chuyển động tại thời điểm là A. . B. . C. . D. .
Câu 19. Chọn khẳng định đúng. A. . B. . C. . D. .
Câu 20. Khẳng định nào dưới đây là sai? A. . B. . C. . D. .
Câu 21. Đạo hàm của hàm số là A. B. . C. . D. .
Câu 22. Đạo hàm của hàm số là
A. . B. . C. . D. .
Câu 23. Góc giữa hai đường thẳng và có thể bằng A. . B. . C. .
D. A, B, C đều sai.
Câu 24. Chọn khẳng định đúng trong các khẳng định sau:
A. Trong không gian, hai đường thẳng vuông góc với nhau có thể cắt nhau hoặc chéo nhau.
B. Trong không gian, hai đường thẳng vuông góc với nhau thì phải cắt nhau.
C. Trong không gian, hai đường thẳng không có điểm chung thì song song với nhau.
D. Trong không gian, hai đường thẳng phân biệt cùng vuông góc với một đường
thẳng thì song song với nhau.
Câu 25. Cho hình lập phương
. Góc giữa hai đường thẳng và là góc nào sau đây? A. . B. . C. . D. .
Câu 26. Cho hình chóp
có đáy là hình vuông cạnh và các cạnh bên đều bằng . Gọi
và lần lượt là trung điểm của cạnh
. Khẳng định nào sau đây đúng? A. B. C. D.
Câu 27. Qua điểm cho trước, có bao nhiêu mặt phẳng vuông góc với đường thẳng cho trước? A. . B. vô số. C. . D. .
Câu 28. Cho tứ diện có
đôi một vuông góc với nhau
Mệnh đề nào dưới đây đúng? A. B. C. D.
Câu 29. Cho hình lập phương . Đường thẳng vuông góc với mặt phẳng nào sau đây?
Đề thi giữa kì 2 Toán 11 Chân trời sáng tạo (Đề 6)
384
192 lượt tải
MUA NGAY ĐỂ XEM TOÀN BỘ TÀI LIỆU
CÁCH MUA:
- B1: Gửi phí vào TK:
1053587071
- NGUYEN VAN DOAN - Ngân hàng Vietcombank (QR) - B2: Nhắn tin tới Zalo VietJack Official ( nhấn vào đây ) để xác nhận thanh toán và tải tài liệu - giáo án
Liên hệ ngay Hotline hỗ trợ: 084 283 45 85
Chúng tôi đảm bảo đủ số lượng đề đã cam kết hoặc có thể nhiều hơn, tất cả có BẢN WORD, LỜI GIẢI CHI TIẾT và tải về dễ dàng.
Để tải tài liệu gốc về máy bạn click vào nút Tải Xuống ở trên!
Thuộc bộ (mua theo bộ để tiết kiệm hơn):
- Tailieugiaovien.com.vn giới thiệu bộ 10 đề giữa kì 2 gồm đầy đủ ma trận và lời giải chi tiết môn Toán 11 bộ Chân trời sáng tạo mới nhất năm 2023 - 2024 nhằm giúp Giáo viên có thêm tài liệu tham khảo ra đề thi Toán lớp 11.
- File word có lời giải chi tiết 100%.
- Mua trọn bộ sẽ tiết kiệm hơn tải lẻ 50%.
Đánh giá
4.6 / 5(384 )5
4
3
2
1

Trọng Bình
Tài liệu hay
Giúp ích cho tôi rất nhiều

Duy Trần
Tài liệu chuẩn
Rất thích tài liệu bên VJ soạn (bám sát chương trình dạy)