ĐỀ KIỂM TRA GIỮA HỌC KỲ II
MÔN TOÁN LỚP 11 – BỘ SÁCH CHÂN TRỜI SÁNG TẠO ĐỀ SỐ 8
I. Trắc nghiệm (6 điểm) Câu 1. Cho
. Khẳng định nào sau đây đúng? A. B. C. D. .
Câu 2. Cho là số thực dương khác . Khi đó bằng A. . B. . C. . D. .
Câu 3. Nếu là số nguyên dương, biểu thức nào sau đây không bằng với ? A. . B. . C. . D. . Câu 4. Cho . Khi đó biểu thức với là phân số tối giản và . Tích có giá trị bằng A. . B. . C. . D. .
Câu 5. Cho hai số dương
. Mệnh đề nào dưới đây sai? A. . B. . C. . D. . Câu 6. Với
là các số thực dương tùy ý và , bằng A. . B. . C. . D. .
Câu 7. Cho là số thực dương khác Giá trị của là A. 8. B. . C. . D. 16. Câu 8. Cho
. Giá trị của biểu thức bằng A. . B. . C. . D. .
Câu 9. Trong các hàm số sau, hàm số nào là hàm số mũ? A. . B. . C. . D. .
Câu 10. Tập xác định của hàm số là A. . B. . C. . D. .
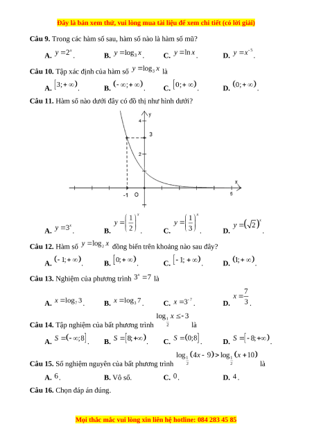
Câu 11. Hàm số nào dưới đây có đồ thị như hình dưới? A. . B. . C. . D. . Câu 12. Hàm số
đồng biến trên khoảng nào sau đây? A. . B. . C. . D. .
Câu 13. Nghiệm của phương trình là A. . B. . C. . D. .
Câu 14. Tập nghiệm của bất phương trình là A. . B. . C. . D. .
Câu 15. Số nghiệm nguyên của bất phương trình là A. . B. Vô số. C. . D. .
Câu 16. Chọn đáp án đúng.
Nếu hàm số
có đạo hàm tại thì phương trình tiếp tuyến của đồ thị hàm số đó tại điểm là A. . B. . C. . D. . Câu 17. Cho hàm số có . Khi đó, bằng A. . B. . C. . D. . Câu 18. Cho hàm số có đồ thị là . Tiếp tuyến với tại điểm có hoành độ có phương trình là A. . B. . C. . D. .
Câu 19. Chọn khẳng định đúng? A. . B. . C. . D. .
Câu 20. Cho hai hàm số và
có đạo hàm tại điểm thuộc tập xác định.
Khẳng định nào dưới đây là đúng? A. . B. . C. . D. .
Câu 21. Đạo hàm của hàm số tại là A. . B. . C. . D. .
Câu 22. Đạo hàm cấp hai của hàm số là A. . B. . C. . D. .
Câu 23. Hai đường thẳng và được gọi là vuông góc với nhau nếu A. chúng cắt nhau.
B. góc giữa chúng bằng .
C. góc giữa chúng bằng .
D. góc giữa chúng bằng .
Câu 24. Góc giữa hai đường thẳng không thể bằng A. . B. . C. . D. .
Câu 25. Cho hình hộp chữ nhật
. Xác định số đo góc giữa hai đường thẳng và . A. B. C. D.
Câu 26. Cho tứ diện
. Lấy điểm bất kì thuộc cạnh . Qua kẻ đường thẳng song song với cắt tại
. Qua kẻ đường thẳng song song với cắt
tại . Khi đó, góc giữa hai đường thẳng và bằng góc giữa hai đường thẳng A. B. C. D.
Câu 27. Cho hình chóp có
. Chọn đáp án đúng nhất. A. B. C.
D. Cả ba đáp án A, B, C đều đúng.
Câu 28. Cho đường thẳng vuông góc với mặt phẳng , đường thẳng vuông
góc với đường thẳng . Phát biểu nào sau đây là đúng?
A. Đường thẳng cắt mặt phẳng .
B. Đường thẳng song song mặt phẳng .
C. Đường thẳng nằm trên mặt phẳng .
D. Đường thẳng nằm trên mặt phẳng
hoặc song song với mặt phẳng .
Câu 29. Cho hình chóp có (như hình vẽ dưới).
Đề thi giữa kì 2 Toán 11 Chân trời sáng tạo (Đề 8)
437
219 lượt tải
MUA NGAY ĐỂ XEM TOÀN BỘ TÀI LIỆU
CÁCH MUA:
- B1: Gửi phí vào TK:
1053587071
- NGUYEN VAN DOAN - Ngân hàng Vietcombank (QR) - B2: Nhắn tin tới Zalo VietJack Official ( nhấn vào đây ) để xác nhận thanh toán và tải tài liệu - giáo án
Liên hệ ngay Hotline hỗ trợ: 084 283 45 85
Chúng tôi đảm bảo đủ số lượng đề đã cam kết hoặc có thể nhiều hơn, tất cả có BẢN WORD, LỜI GIẢI CHI TIẾT và tải về dễ dàng.
Để tải tài liệu gốc về máy bạn click vào nút Tải Xuống ở trên!
Thuộc bộ (mua theo bộ để tiết kiệm hơn):
- Tailieugiaovien.com.vn giới thiệu bộ 10 đề giữa kì 2 gồm đầy đủ ma trận và lời giải chi tiết môn Toán 11 bộ Chân trời sáng tạo mới nhất năm 2023 - 2024 nhằm giúp Giáo viên có thêm tài liệu tham khảo ra đề thi Toán lớp 11.
- File word có lời giải chi tiết 100%.
- Mua trọn bộ sẽ tiết kiệm hơn tải lẻ 50%.
Đánh giá
4.6 / 5(437 )5
4
3
2
1

Trọng Bình
Tài liệu hay
Giúp ích cho tôi rất nhiều

Duy Trần
Tài liệu chuẩn
Rất thích tài liệu bên VJ soạn (bám sát chương trình dạy)