SỞ GIÁO DỤC VÀ ĐÀO TẠO BẮC NINH TRƯỜNG THPT CHUYÊN ------
ĐỀ THI ĐỀ XUẤT CHỌN HỌC SINH GIỎI DUYÊN HẢI BẮC BỘ KHỐI 11 MÔN HÓA HỌC NĂM 2024 -----
Bài 1: (2,5 điểm)
Hợp chất nhị nguyên X, chứa 74,07% oxygen theo khối lượng, có nhiều đặc tính khác thường. Trong pha khí,
nó chứa các phân tử và ở dạng rắn, nó bao gồm các ion. Chất X dễ dàng phân hủy theo phản ứng bậc 1 và trong
tất cả các phản ứng phân hủy, cả ở pha khí lẫn trong nhiều dung môi hữu cơ, năng lượng hoạt hóa thực tế là như nhau.
1. Thiết lập công thức của chất X. Kể tên ít nhất một chất nhị nguyên trong đó phần khối lượng của oxygen lớn
hơn X. Hãy xác nhận câu trả lời bằng phép tính phù hợp.
2. Viết công thức cấu tạo của phân tử X và các ion tạo nên chất rắn X, chú ý rằng trong tất cả các phần tử này,
một nguyên tố có hóa trị IV và quy tắc bát tử được thỏa mãn đối với mọi nguyên tử. Dự đoán hình dạng hình học của mỗi ion.
3. Khi X phân hủy hoàn toàn ở pha khí ở nhiệt độ không đổi thì áp suất tăng 2,5 lần. Viết phương trình phản ứng.
4. Ở pha khí tại nhiệt độ 318K, chất X phân hủy với tốc độ 5% mỗi phút và ở 328K - với tốc độ 15% mỗi phút.
Xác định chu kỳ bán rã của X ở 318K và tính năng lượng hoạt hóa của phản ứng.
5. Trong dung môi chloroform, phản ứng phân hủy X diễn ra nhanh hơn một chút so với ở pha khí: chu kỳ bán
rã ở 318K là 10 phút. Ở nhiệt độ nào thì chu kỳ bán rã sẽ lớn hơn gấp 2 lần?
Bài 2: (2,5 điểm)
1. Sử dụng giản đồ Latimer (ở 25oC) sau đây để tính hằng số bền Kbền[FeF6]4−¿¿.
4−¿ −0 ,77 V Fe ¿
3−¿ +0, 41V [ FeF → 6] ¿
2+¿−0,47 V Fe [FeF ] → ¿ 3 +¿+0 ,77 V Fe 6 → ¿. Fe →
2. Khi nung khoáng chất tự nhiên A, có màu xám đen, gồm các nguyên tử của ba nguyên tố, trong không khí,
tạo thành khí B và cặn rắn C màu đen chứa hai chất (phản ứng 1). Khi khí B có mùi hăng, cho qua nước barite
sẽ tạo ra kết tủa không màu D (phản ứng 2). Cặn rắn C tan một phần trong acid hydrochloric tạo thành dung
dịch E màu xanh lục và chất màu xám đen F còn lại không hòa tan (phản ứng 3).
Chất F tan trong dung dịch acid nitric tạo thành dung dịch không màu G (phản ứng 4). Khi cho sodium
hydroxide vào dung dịch chất G sẽ tạo thành kết tủa H màu nâu (phản ứng 5). Nếu cho sodium peroxodisulfate
vào chất H thu được sẽ tạo thành kết tủa I màu xám đen (phản ứng 6).
Khi cho một lượng dư dung dịch kiềm và glucose vào dung dịch của chất E trong quá trình đun nóng, sẽ tạo
thành kết tủa K màu đỏ gạch (phản ứng 7), kết tủa này khi thêm dung dịch acid hydroiodic sẽ tan thành dung
dịch L không màu (phản ứng 8).
Xác định thành phần của khoáng chất A và các chất B - L. Viết các phương trình phản ứng theo sơ đồ đã mô tả trong bài.
Bài 3: (2,5 điểm)
Hợp chất X, gồm ba nguyên tố, được sử dụng làm thành phần của nhiên liệu máy bay phản lực. Phản ứng phân
hủy X là phản ứng tỏa nhiệt; hiệu ứng nhiệt của nó, theo thí nghiệm đo nhiệt lượng, là 260 kJ/mol.
Chúng ta có thể giả sử các cách phân hủy X khả thi sau đây (tất cả các phương trình dưới đây đều được đưa ra
với các hệ số đã được ấn định). Ở giai đoạn đầu tiên, một trong ba phản ứng có thể xảy ra:
X ⟶ A +B (I )
X ⟶ A +C+ D(II )
X ⟶ D+E ( III )
Các chất B, C và E sau đó có thể bị phân hủy một phần hoặc hoàn toàn theo các phương trình sau:
E ⟶ D+2 H ( IV )
2 B ⟶ 3 NO2+F +J +H (V )
4 C ⟶ 4 F +3 G+2 H (VI )
4 C ⟶ 4 NO2+2 H +G (VII)
1. Xác định công thức của X và các sản phẩm phân hủy của nó A-J.
2. Công thức cấu tạo của X là gì?
3. Tính enthanpy của các phản ứng (I)–(VII). Xác định phương trình phân hủy nào của X tương ứng với dữ liệu
đo nhiệt lượng. Bằng phép tính, hãy chứng minh rằng quá trình phân hủy diễn ra hoàn toàn phương trình này. Chất
∆f Ho , kJ /mol Chất
∆f Ho , kJ /mol Chất
∆f Ho , kJ /mol X(s) −150 , 6 D(g) 81 , 55 H(l) −285 , 84 A(g) −46 ,19 E(s) −365 , 1 J(g) 0 B(s) 79 , 69 F(g) 90 , 37 NO2(g) 33 , 89 C(l) −133 , 9 G(g) 0
Bài 4: (2,5 điểm)
Khi một dòng điện có cường độ 0,2A chạy qua 50 ml chất lỏng X, quá trình thoát khí bắt đầu ngay lập tức (t0)
trên một trong hai điện cực bạch kim (không gian cực âm và cực dương được tách ra). Sau 51 phút 30 giây (t1)
khí bắt đầu thoát ra ở điện cực thứ hai. Sau một thời gian (t2), quá trình điện phân hoàn thành. Khí thoát ra ở các
điện cực vào những thời điểm khác nhau được dẫn qua dung dịch potassium iodide. Các quan sát được đưa ra trong bảng: Thời điểm lấy mẫu Các quan sát thu được khí
...khí thoát ra ở điện cực thứ nhất
...khí thoát ra ở điện cực thứ hai t0
Dung dịch ban đầu có màu nâu, -
sau một thời gian sẽ biến mất. t1
Dung dịch ban đầu có màu nâu, Không có thay đổi rõ ràng.
sau một thời gian sẽ biến mất. t2
Không có thay đổi rõ ràng
Không có thay đổi rõ ràng.
Các điện cực được lấy ra khỏi dung dịch và cân. Người ta nhận thấy, khối lượng của điện cực thứ hai tăng
0,2048 gam. Giả sử rằng hiệu suất dòng điện thực tế là 100%.
1. Xác định thành phần định tính và định lượng của chất lỏng ban đầu, nếu biết khối lượng kết tủa tạo thành khi
trộn các thể tích bằng nhau của chất lỏng này (50 ml) với lượng dư của các dung dịch sodium phosphate và lead
(II) acetate tương ứng bằng 0,5080 gam và 1,2541 gam.
2. Quá trình điện phân được thực hiện trong bao lâu (t2 = ?), nếu thể tích khí thoát ra trên cả hai điện cực bằng nhau?
3. Viết các phương trình phản ứng nêu trong nội dung bài toán.
Câu 5 (2,5 điểm)
Đại cương hữu cơ.
5.1. Sắp xếp các tính chất của các chất thuộc mỗi dãy trong bảng sau theo thứ tự giảm dần: Sắp xếp Tính chất Dãy các chất
theo thứ tự giảm dần N N Lực base N N (1) (2) (3) O (4) H O Lực acid (5) H O O H (6) O Khả năng tách nước trong môi trường acid OH OH OH (7) (8) (9) Năng lượng hoạt hóa của quá trình nghịch N s-Bu N n-Bu N t-Bu đảo cấu trúc tại (10) (11) (12) nguyên tử nitrogen H H H O O O O O O Độ bền của liên kết hydrogen (13) (14) (15)
5.2. Các hợp chất 1,3-dicarbonyl thường tồn tại ở dạng enol với một tỉ lệ nhất định. O O O O O O Me OEt Me Me EtO OEt A1 A2 A3
Sắp xếp các hợp chất A1, A2 và A3 theo thứ tự tỉ lệ enol/keto giảm dần. Giải thích.
5.3. Dewar benzene là đồng phân của benzene. Tuy nhiên, để chuyển hóa dewar benzene thành benzene thì phải
đun chất này ở nhiệt độ khá cao. Hãy giải thích lí do. Dewar benzene Benzene
5.4. Khi đun nóng đồng phân B1 ở 100 oC, người ta chỉ thu được hỗn hợp gồm đồng phân B1 và một trong số
các đồng phân B2, B3 hoặc B4. Me Ph Ph Me 100 oC CD3 Ph CD3 Ph Ph Me Me Ph Ph CD3 Ph CD3 B1 B2 B3 B4
Hãy cho biết đồng phân thu được cùng với đồng phân B1 sau khi đun nóng là đồng phân nào? Giải thích.
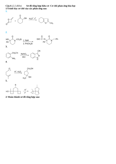
Câu 6 (2,5 điểm)
Sơ đồ tổng hợp hữu cơ- Cơ chế phản ứng hóa học
1/Trình bày cơ chế của các phản ứng sau: 1. 2. 3. 4. 5.
2/ Hoàn thành sơ đồ tổng hợp sau:
Đề thi HSG Hóa học 11 Trường THPT Chuyên Bắc Ninh
396
198 lượt tải
MUA NGAY ĐỂ XEM TOÀN BỘ TÀI LIỆU
CÁCH MUA:
- B1: Gửi phí vào TK:
1053587071
- NGUYEN VAN DOAN - Ngân hàng Vietcombank (QR) - B2: Nhắn tin tới Zalo VietJack Official ( nhấn vào đây ) để xác nhận thanh toán và tải tài liệu - giáo án
Liên hệ ngay Hotline hỗ trợ: 084 283 45 85
Chúng tôi đảm bảo đủ số lượng đề đã cam kết hoặc có thể nhiều hơn, tất cả có BẢN WORD, LỜI GIẢI CHI TIẾT và tải về dễ dàng.
Để tải tài liệu gốc về máy bạn click vào nút Tải Xuống ở trên!
Thuộc bộ (mua theo bộ để tiết kiệm hơn):
- Tailieugiaovien.com.vn giới thiệu Tổng hợp đề thi chọn học sinh giỏi Hóa học 11 của các trường THPT Chuyên khu vực Duyên hải và Đồng bằng Bắc Bộ gồm 27 đề đề xuất và 1 đề chính thức có lời giải giúp giáo viên, học sinh có thêm tài liệu tham khảo.
- File word có lời giải chi tiết 100%.
- Mua trọn bộ sẽ tiết kiệm hơn tải lẻ 50%.
Đánh giá
4.6 / 5(396 )5
4
3
2
1

Trọng Bình
Tài liệu hay
Giúp ích cho tôi rất nhiều

Duy Trần
Tài liệu chuẩn
Rất thích tài liệu bên VJ soạn (bám sát chương trình dạy)