TRƯỜNG THPT CHUYÊN
KỲ THI CHỌN HỌC SINH GIỎI HÀ NỘI AMSTERDAM
KHU VỰC DUYÊN HẢI & ĐỒNG BẰNG BẮC BỘ ĐỀ ĐỀ XUẤT MÔN: TOÁN - LỚP 11
Thời gian làm bài : 180 phút
(Đề thi gồm:01 trang) Bài 1. Cho dãy số
xác định bởi công thức giới hạn của dãy với Tìm
Bài 2. Tìm tất cả các hàm thỏa mãn điều kiện
Bài 3. Cho đường tròn (O) và dây BC cố định. A thay đổi trên cung BC lớn. Gọi I là tâm đường
tròn nội tiếp tam giác ABC. Trên tia đối của tia IB lấy điểm P sao cho . Trên tia đối
của tia IC lấy điểm Q sao cho
. Gọi N là trung điểm PQ.
a) Chứng minh IN luôn đi qua một điểm cố định.
b) Gọi M là trung điểm IA. Chứng minh M, N, O thẳng hàng.
Bài 4. Tìm tất cả các số thực là nghiệm của phương trình sau
Bài 5. Cho A là tập hợp gồm 290 số nguyên dương phân biệt, trong đó bất kỳ 3 số nguyên dương
phân biệt nào cũng là độ dài ba cạnh của một tam giác không tù. Ký hiệu là tổng các phần
tử trong tập hợp A. Tìm .
………………………. HẾT ………………………. 1 TRƯỜNG THPT CHUYÊN
KỲ THI CHỌN ĐỘI TUYỂN THI HÀ NỘI AMSTERDAM
KHU VỰC DUYÊN HẢI & ĐỒNG BẰNG BẮC BỘ MÔN: TOÁN - LỚP 11
Thời gian làm bài : 180 phút
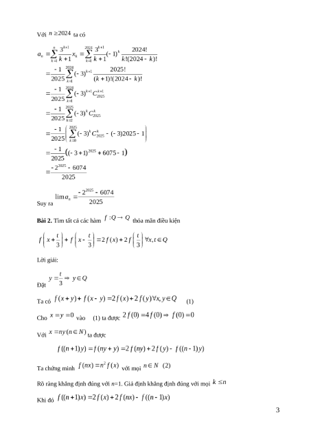
ĐÁP ÁN VÀ HƯỚNG DẪN CHẤM ĐỀ ĐỀ XUẤT KHỐI 11 Bài 1. Cho dãy số
xác định bởi công thức Tìm giới hạn của dãy với Lời giải: Suy ra và Vậy ta có: 2 Với ta có Suy ra
Bài 2. Tìm tất cả các hàm thỏa mãn điều kiện Lời giải: Đặt Ta có (1) Cho vào (1) ta được Với ta được Ta chứng minh với mọi
Rõ ràng khẳng định đúng với n=1. Giả định khẳng định đúng với mọi Khi đó 3
Vậy khẳng định đúng với n.
Trong (2) thay x bởi ta được
Vì vậy áp dụng (2) ta có Do đó trong đó
Ta kiểm tra hàm số vừa tìm thỏa yêu cầu của bài toán. Thực vậy:
Bài 3. Cho đường tròn (O) và dây BC cố định. A thay đổi trên cung BC lớn. Gọi I là tâm đường
tròn nội tiếp tam giác ABC. Trên tia đối của tia IB lấy điểm P sao cho . Trên tia đối
của tia IC lấy điểm Q sao cho
. Gọi N là trung điểm PQ.
a) Chứng minh IN luôn đi qua một điểm cố định.
b) Gọi M là trung điểm IA. Chứng minh M, N, O thẳng hàng. Lời giải:
a) Chứng minh IN luôn đi qua một điểm cố định. V A R M N P S T Q O I L B D C U
Gọi U, R, S, V lần lượt là điểm chính giữa các cung BC, CA, AB và BAC. 4
Đề thi HSG Toán 11 Trường THPT Chuyên Amsterdam - Hà Nội
315
158 lượt tải
MUA NGAY ĐỂ XEM TOÀN BỘ TÀI LIỆU
CÁCH MUA:
- B1: Gửi phí vào TK:
1053587071
- NGUYEN VAN DOAN - Ngân hàng Vietcombank (QR) - B2: Nhắn tin tới Zalo VietJack Official ( nhấn vào đây ) để xác nhận thanh toán và tải tài liệu - giáo án
Liên hệ ngay Hotline hỗ trợ: 084 283 45 85
Chúng tôi đảm bảo đủ số lượng đề đã cam kết hoặc có thể nhiều hơn, tất cả có BẢN WORD, LỜI GIẢI CHI TIẾT và tải về dễ dàng.
Để tải tài liệu gốc về máy bạn click vào nút Tải Xuống ở trên!
Thuộc bộ (mua theo bộ để tiết kiệm hơn):
- Tailieugiaovien.com.vn giới thiệu Tổng hợp đề thi chọn học sinh giỏi Toán 11 của các trường THPT Chuyên khu vực Duyên hải và Đồng bằng Bắc Bộ gồm 25 đề đề xuất và 1 đề chính thức có lời giải giúp giáo viên, học sinh có thêm tài liệu tham khảo.
- File word có lời giải chi tiết 100%.
- Mua trọn bộ sẽ tiết kiệm hơn tải lẻ 50%.
Đánh giá
4.6 / 5(315 )5
4
3
2
1

Trọng Bình
Tài liệu hay
Giúp ích cho tôi rất nhiều

Duy Trần
Tài liệu chuẩn
Rất thích tài liệu bên VJ soạn (bám sát chương trình dạy)