TRƯỜNG THPT CHUYÊN
KỲ THI CHỌN HỌC SINH GIỎI HÀ NỘI AMSTERDAM
KHU VỰC DUYÊN HẢI & ĐỒNG BẰNG BẮC BỘ ĐỀ ĐỀ XUẤT MÔN: TOÁN - LỚP 11
Thời gian làm bài : 180 phút
(Đề thi gồm:01 trang)
Bài 1. Cho dãy số (xn) xác định bởi công thức x 2024 1 n 1 nx x n n 2024 k ; 2 k 1 n k 1 3
Tìm giới hạn của dãy (a a x n n k ; 1;2;3;. n ) với k 1 k 1
Bài 2. Tìm tất cả các hàm f :Q Q thỏa mãn điều kiện
f (x y) f (x y) 2 f (x) 2 f (y) x , yQ
Bài 3. Cho đường tròn (O) và dây BC cố định. A thay đổi trên cung BC lớn. Gọi I là tâm đường
tròn nội tiếp tam giác ABC. Trên tia đối của tia IB lấy điểm P sao cho PAI IBA . Trên tia đối
của tia IC lấy điểm Q sao cho QAI ICA . Gọi N là trung điểm PQ.
a) Chứng minh IN luôn đi qua một điểm cố định.
b) Gọi M là trung điểm IA. Chứng minh M, N, O thẳng hàng.
Bài 4. Tìm tất cả các số thực là nghiệm của phương trình sau 2 6x 6 1 x 38 0
Bài 5. Cho A là tập hợp gồm 290 số nguyên dương phân biệt, trong đó bất kỳ 3 số nguyên dương
phân biệt nào cũng là độ dài ba cạnh của một tam giác không tù. Ký hiệu S A là tổng các phần
tử trong tập hợp A. Tìm minS A.
………………………. HẾT ………………………. 1 TRƯỜNG THPT CHUYÊN
KỲ THI CHỌN ĐỘI TUYỂN THI HÀ NỘI AMSTERDAM
KHU VỰC DUYÊN HẢI & ĐỒNG BẰNG BẮC BỘ MÔN: TOÁN - LỚP 11
Thời gian làm bài : 180 phút
ĐÁP ÁN VÀ HƯỚNG DẪN CHẤM ĐỀ ĐỀ XUẤT KHỐI 11
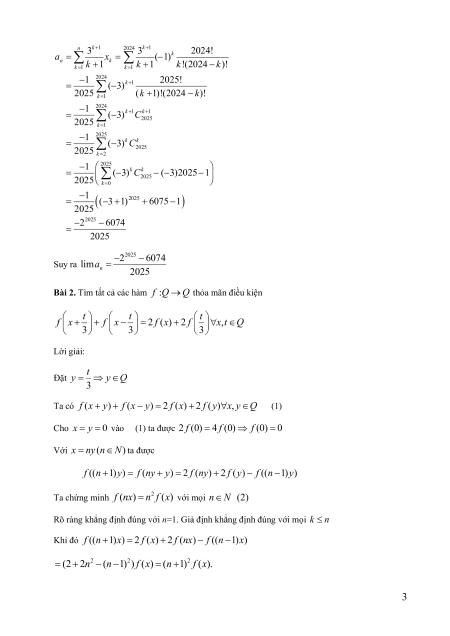
Bài 1. Cho dãy số (xn) xác định bởi công thức x 2024 1 n 1 nx x n n 2024 k ; 2 k 1 n k 1 3
Tìm giới hạn của dãy (a a x n n k ; 1;2;3;. n ) với k 1 k 1 Lời giải: n 1 n nx 2
x (n 1)x x nx n x x n 2024 k n ( 1) n 2024 n 2024 k ; 1 1 n 1 k 1 k 1 n 2025 x x n n 1 n Suy ra x n n 0 2025 và
(n 2025)(n 2026). .( 2 022)( 2 023) n 2024! x n 2024 ( 1) n(n 1). .3.2 n!(2024 n)! n 1 (1) n ; n 1,. .,2024 C2024 Vậy ta có: a ;n 2025 a ;n 2025 2024 n k 1 3 2024 n k 1 a x n k 1 n k (2) (2) k 1 k 1 k 1 ;n 1,. .2024 ;n 1,. .,2024 C 2025 k 1 k 1 k 1 2025 3 ;n 2024 n k 1 (2) k 1 ;n 1,. .,2023 C2025 k 1 2025 Với n 2024 ta có 2 n k 1 2024 k 1 3 3 k 2024! a x n k ( 1) k 1 k 1 k 1 k 1 k!(2024 k)! 2024 1 k 1 2025! (3) 2025 k 1
(k 1)!(2024 k)! 2024 1 k 1 k 1 (3) C 2025 2025 k 1 2025 1 (3)k k C2025 2025 k2 2025
1 ( 3)k kC ( 3)2025 1 2025 2025 k0 1 2025 ( 3 1) 6075 1 2025 2025 2 6074 2025 2025 2 6074 Suy ra lima n 2025
Bài 2. Tìm tất cả các hàm f :Q Q thỏa mãn điều kiện t
t 2 ( ) 2 t f x f x f x f , x t Q 3 3 3 Lời giải: t
Đặt y y Q 3
Ta có f (x y) f (x y) 2 f (x) 2 f (y) x , yQ (1)
Cho x y 0 vào (1) ta được 2 f (0) 4 f (0) f (0) 0
Với x ny(n N) ta được
f ((n 1)y) f (ny y) 2 f (ny) 2 f (y) f ((n 1)y) Ta chứng minh 2
f (nx) n f (x) với mọi n N (2)
Rõ ràng khẳng định đúng với n=1. Giả định khẳng định đúng với mọi k n
Khi đó f ((n 1)x) 2 f (x) 2 f (nx) f ((n 1)x) 2 2 2
(2 2n (n 1) ) f (x) (n 1) f (x). 3
Vậy khẳng định đúng với n. 1 1 1 (1) Trong (2) thay x bởi ta được 2 (1) f f n f f n 2 n n n 2 m 1 1 m
Vì vậy áp dụng (2) ta có 2 f f . m m f f (1). n n
n n Do đó 2 f ( ) x ax x
Q trong đó a f (1)
Ta kiểm tra hàm số vừa tìm thỏa yêu cầu của bài toán. Thực vậy: 2 2 2
f (x y) f (x y) a(x y) a(x y) 2ax 2ay 2 f (x) 2 f (y).
Bài 3. Cho đường tròn (O) và dây BC cố định. A thay đổi trên cung BC lớn. Gọi I là tâm đường
tròn nội tiếp tam giác ABC. Trên tia đối của tia IB lấy điểm P sao cho PAI IBA . Trên tia đối
của tia IC lấy điểm Q sao cho QAI ICA . Gọi N là trung điểm PQ.
a) Chứng minh IN luôn đi qua một điểm cố định.
b) Gọi M là trung điểm IA. Chứng minh M, N, O thẳng hàng. Lời giải:
a) Chứng minh IN luôn đi qua một điểm cố định.
Gọi U, R, S, V lần lượt là điểm chính giữa các cung BC, CA, AB và BAC.
Học sinh dễ dàng chỉ ra RS đi qua M và là trung trực IA.
Từ gt về P và Q dẫn đến QAI DCI . Suy ra AQDC và APDB là các tứ giác nội tiếp. 4
Đề thi HSG Toán 11 của các trường THPT Chuyên (Duyên hải, Đồng bằng Bắc Bộ)
0.9 K
472 lượt tải
200.000 ₫
MUA NGAY ĐỂ XEM TOÀN BỘ TÀI LIỆU
CÁCH MUA:
- B1: Gửi phí vào TK:
1053587071
- NGUYEN VAN DOAN - Ngân hàng Vietcombank (QR) - B2: Nhắn tin tới Zalo VietJack Official ( nhấn vào đây ) để xác nhận thanh toán và tải tài liệu - giáo án
Liên hệ ngay Hotline hỗ trợ: 084 283 45 85
Chúng tôi đảm bảo đủ số lượng đề đã cam kết hoặc có thể nhiều hơn, tất cả có BẢN WORD, LỜI GIẢI CHI TIẾT và tải về dễ dàng.
Để tải tài liệu gốc về máy bạn click vào nút Tải Xuống ở trên!
Bộ tài liệu bao gồm: 25 tài liệu lẻ (mua theo bộ tiết kiệm đến 50%)
- Tailieugiaovien.com.vn giới thiệu Tổng hợp đề thi chọn học sinh giỏi Toán 11 của các trường THPT Chuyên khu vực Duyên hải và Đồng bằng Bắc Bộ gồm 25 đề đề xuất và 1 đề chính thức có lời giải giúp giáo viên, học sinh có thêm tài liệu tham khảo.
- File word có lời giải chi tiết 100%.
- Mua trọn bộ sẽ tiết kiệm hơn tải lẻ 50%.
Đánh giá
4.6 / 5(944 )5
4
3
2
1

Trọng Bình
Tài liệu hay
Giúp ích cho tôi rất nhiều

Duy Trần
Tài liệu chuẩn
Rất thích tài liệu bên VJ soạn (bám sát chương trình dạy)