TUẦN Ngày soạn: Ngày dạy: TIẾT LUYỆN TẬP I. MỤC TIÊU
1.Kiến thức:
- Củng cố, khắc sâu kiến thức về giải các dạng phương trình trùng phương,
phương trình có chứa ẩn ở mẫu thức, phương trình tích 2. Năng lực
- Năng lực chung: Tự học, giải quyết vấn đề, tư duy, tự quản lý, giao tiếp, hợp tác.
- Năng lực chuyên biệt nhẩm nghiệm của phương trình bậc hai trong các trừờng
hợp a + b + c = 0; a- b + c = 0 để giải phương trình trùng phương. 3. Phẩm chất
- Giúp học sinh rèn luyện bản thân phát triển các phẩm chất tốt đẹp: chăm
chỉ, trung thực, trách nhiệm.
II. THIẾT BỊ DẠY HỌC VÀ HỌC LIỆU 1. Giáo viên:
- Thước thẳng, bảng phụ, phấn màu 2. Học sinh:
- Thực hiện hướng dẫn tiết trước
III. TIẾN TRÌNH DẠY HỌC
1. Ổn định lớp
2. Kiểm tra bài cũ: (Kiểm tra trong quá trình luyện tập)
3. Bài mới
A. HOẠT ĐỘNG MỞ ĐẦU
a) Mục đích: Kích thích hứng thú, say mê giải bài tập cho hs.
b) Nội dung: Vận dụng sự hiểu biết trả lời câu hỏi
c) Sản phẩm: HS vận dụng kiến thức để trả lời câu hỏi GV đưa ra.
d) Tổ chức thực hiện:
GV: Để giải thành thạo các dạng bài tập liên quan đến phương trình đưa được về
phương trình bậc hai thì ta phải làm gì?
C. HOẠT ĐỘNG LUYỆN TẬP
a) Mục tiêu: Hs vận dụng thành thạo các kiến thức đã học vào việc giải bài tập
b) Nội dung: HS giải các bài tập
c) Sản phẩm: Bài làm của HS
d) Tổ chức thực hiện: Hoạt động cá nhân, hoạt động nhóm.
HOẠT ĐỘNG CỦA GV VÀ HS
SẢN PHẨM SỰ KIẾN
- Bước 1: Chuyển giao nhiệm vụ:. Bài 35b/56:
Giáo viên yêu cầu HS làm các bài tập: (1) + bài tập 35b/56 SGK Điều kiện : x¹ 5; x¹ 2 + bài tập 36a/56 SGK + bài tập 37 trang 56 + bài tập 38d/56 SGK
=(- 15)2 – 4.(4).(-4) = 225 + 64 = 289 > 0, + bài tập 39/57 SGK = 17 + bài tập 40/57 SGK
- Bước 2: Thực hiện nhiệm vụ: x1= , x2 = (không thỏa
HS: Thảo luận hoàn thanh các bài ĐK) bập GV giao
Vậy: Phương trình có một nghiệm x = 4
GV: Theo dõi, hướng dẫn, giúp đỡ HS thực hiện nhiệm vụ Bài 36/56:
- Bước 3: Báo cáo, thảo luận:
a)(3x2 – 5x + 1)(x2 – 4 ) = 0
+ Gọi một số HS lên bảng trình bày kết quả
+ Cả lớp theo dõi, tham gia nhận xét Bài 37/56 :
- Bước 4: Kết luận, nhận định: b) 5x4 +2x2 - 16 = 10 – x2 5x4 +3x2 - 6 = 0
Đánh giá kết quả thực hiện nhiệm vụ của HS Giải -Đặt x2 = t ( t 0)
Ta có phương trình: 5t2 + 3t -26 = 0
= (3)2 – 4.5.(-26) = 9 +520 = 529 > 0 . = 23 , ta có: x2 = 4 ¹ x1= , x2 = -
(không thỏa mãn điều kiện)
Vậy: Phương trình có hai nghiệm : x1= , x2 = - Bài 38d/56: d)
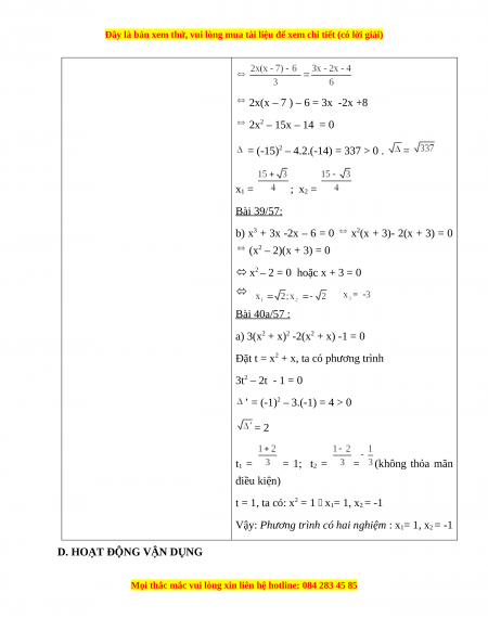
2x(x – 7 ) – 6 = 3x -2x +8 2x2 – 15x – 14 = 0
= (-15)2 – 4.2.(-14) = 337 > 0 . = x1 = ; x2 = Bài 39/57: b) x3 + 3x -2x – 6 = 0 x2(x + 3)- 2(x + 3) = 0 (x2 – 2)(x + 3) = 0
x2 – 2 = 0 hoặc x + 3 = 0 Bài 40a/57 :
a) 3(x2 + x)2 -2(x2 + x) -1 = 0
Đặt t = x2 + x, ta có phương trình 3t2 – 2t - 1 = 0
’ = (-1)2 – 3.(-1) = 4 > 0 = 2 t1 = = 1; t2 = = (không thỏa mãn điều kiện)
t = 1, ta có: x2 = 1 ¹ x1= 1, x2 = -1
Vậy: Phương trình có hai nghiệm : x1= 1, x2 = -1
D. HOẠT ĐỘNG VẬN DỤNG
Giáo án Luyện tập Toán 9 Học kì 2
494
247 lượt tải
MUA NGAY ĐỂ XEM TOÀN BỘ TÀI LIỆU
CÁCH MUA:
- B1: Gửi phí vào TK:
1053587071
- NGUYEN VAN DOAN - Ngân hàng Vietcombank (QR) - B2: Nhắn tin tới Zalo VietJack Official ( nhấn vào đây ) để xác nhận thanh toán và tải tài liệu - giáo án
Liên hệ ngay Hotline hỗ trợ: 084 283 45 85
Bộ giáo án học kì 2 Toán 9 được cập nhật liên tục trong gói này từ nay đến hết tháng 6/2023.
Để tải tài liệu gốc về máy bạn click vào nút Tải Xuống ở trên!
Thuộc bộ (mua theo bộ để tiết kiệm hơn):
- Bộ giáo án học kì 2 Toán 9 năm 2023 mới, chuẩn nhất được thiết kế theo phong cách hiện đại, đẹp mắt, trình bày chi tiết cho từng bài học và bám sát chương trình Sách giáo khoa Toán 9.
- Mua trọn bộ sẽ tiết kiệm hơn tải lẻ 50%.
Đánh giá
4.6 / 5(494 )5
4
3
2
1

Trọng Bình
Tài liệu hay
Giúp ích cho tôi rất nhiều

Duy Trần
Tài liệu chuẩn
Rất thích tài liệu bên VJ soạn (bám sát chương trình dạy)
TÀI LIỆU BỘ BÁN CHẠY MÔN Toán Học
Xem thêmTÀI LIỆU BỘ BÁN CHẠY Lớp 9
Xem thêmTài liệu bộ mới nhất

Đây là bản xem thử, vui lòng mua tài liệu để xem chi tiết (có lời giải)
TUẦN
Ngày soạn:
Ngày dạy:
TIẾT LUYỆN TẬP
I. MỤC TIÊU
1.Kiến thức:
!"#$%&
2. Năng lực
'()*+,*-./01/*.)2!345
'()*/678"$8$!79!3:;
4!<7<=>?!7<=>1@5
3. Phẩm chất
AB-C)/87@"$01D+($
E*8$5
II. THIẾT BỊ DẠY HỌC VÀ HỌC LIỆU
1. Giáo viên:
,FG7H0$I
2. Học sinh:
,*8F%F
III. TIẾN TRÌNH DẠY HỌC
1. Ổn định lớp
2. Kiểm tra bài cũ: JK@$!3.)/89LM
Mọi thắc mắc vui lòng xin liên hệ hotline: 084 283 45 85

Đây là bản xem thử, vui lòng mua tài liệu để xem chi tiết (có lời giải)
3. Bài mới
A. HOẠT ĐỘNG MỞ ĐẦU
a) Mục đích:K&&B!/$67I935
b) Nội dung: N9H*@7);O
c) Sản phẩm: PQ9H1@);OAN1!!5
d) Tổ chức thực hiện:
GV:R@I37I9)6.!11!14
79!!)I$S
C. HOẠT ĐỘNG LUYỆN TẬP
a) Mục tiêu:P9HI31T-I387I9
b) Nội dung:PQ7I9
c) Sản phẩm:UI)I$!PQ
d) Tổ chức thực hiện:P31V31V $5
HOẠT ĐỘNG CỦA GV VÀ HS SẢN PHẨM SỰ KIẾN
- Bước 1: Chuyển giao nhiệm vụ:.
A36/6WPQ)I$7I
9+
<7I9XY7ZY[QAK
<7I9X[!ZY[QAK
<7I9X\!Y[
<7I9X]ZY[QAK
<7I9X^ZY\QAK
<7I9_>ZY\QAK
UIXY7ZY[+
J`L
R8+a¹Y?a¹b
=J`YL
b
c_5J_L5J_L= bbY<[_=b]^d>
=`\
Mọi thắc mắc vui lòng xin liên hệ hotline: 084 283 45 85

Đây là bản xem thử, vui lòng mua tài liệu để xem chi tiết (có lời giải)
- Bước 2: Thực hiện nhiệm vụ:
PQ+,3)93I!7I
79AN!3
AN+,e3fF%B1g
PQ*88$H
- Bước 3: Báo cáo, thảo luận:
<A-$VPQ)677I/
.
<)Fe3f!$!9
ah
- Bước 4: Kết luận, nhận định:
R.*88$
H!PQ
a
`
= a
b
= Ji O!
RKL
N9/+j $V8$a=_
UIX[ZY[+
!LJXa
b
cYa<`LJa
b
c_L=>
UIX\ZY[ +
7LYa
_
<ba
b
`[=`>ca
b
Ya
_
<Xa
b
[=>
ARka
b
=J >L
,! +Y
b
<Xb[=>
=JXL
b
c_5Y5Jb[L=^<Yb>=Yb^d>5 =
bX
! +a
b
=_¹a
`
= a
b
=
JiO!$T18L
N9/+j !8$+a
`
= a
b
=
UIX]ZY[+
L
Mọi thắc mắc vui lòng xin liên hệ hotline: 084 283 45 85

Đây là bản xem thử, vui lòng mua tài liệu để xem chi tiết (có lời giải)
baJac\Lc[=Xaba<]
ba
b
c`Yac`_=>
=J`YL
b
c_5b5J`_L=XX\d>5 =
a
`
= ?a
b
=
UIX^ZY\+
7La
X
<Xabac[=> a
b
Ja<XLbJa<XL=>
Ja
b
cbLJa<XL=>
a
b
cb=>3ka<X=>
UI_>!ZY\+
!LXJa
b
<aL
b
bJa
b
<aL`=>
Rk=a
b
<a!
X
b
cb`=>
l=J`L
b
cX5J`L=_d>
=b
`
= =`?
b
= = JiO!$T
18L
=`! +a
b
=`¹a
`
=`a
b
=`
N9/+Phương trình có hai nghiệm +a
`
=`a
b
=`
D. HOẠT ĐỘNG VẬN DỤNG
Mọi thắc mắc vui lòng xin liên hệ hotline: 084 283 45 85

Đây là bản xem thử, vui lòng mua tài liệu để xem chi tiết (có lời giải)
a. Mục tiêu: PQ814-$!7I-I9H14
37I-I37I3H@5
b. Nội dung: PQ3II7I9
c. Sản phẩm: PQ9HI3./8$H1k!5
d. Tổ chức thực hiện:
Câu hỏi và bài tập củng cố
`+'6#m.Jn`L
b+'6!"#$%5JnbL
X+'6&5JnbL
4. Hướng dẫn về nhà
oe$)7I91T
pI$7I9q)QAK
Q37I+rA7I37s)9r
Mọi thắc mắc vui lòng xin liên hệ hotline: 084 283 45 85