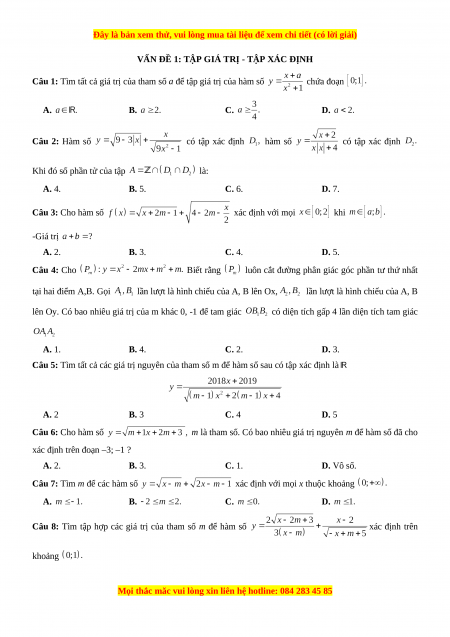
VẤN ĐỀ 1: TẬP GIÁ TRỊ - TẬP XÁC ĐỊNH
Câu 1: Tìm tất cả giá trị của tham số a để tập giá trị của hàm số chứa đoạn A. B. C. D. Câu 2: Hàm số có tập xác định hàm số có tập xác định
Khi đó số phần tử của tập là: A. 4. B. 5. C. 6. D. 7. Câu 3: Cho hàm số xác định với mọi khi -Giá trị A. 2. B. 3. C. 4. D. 5. Câu 4: Cho Biết rằng
luôn cắt đường phân giác góc phần tư thứ nhất tại hai điểm A,B. Gọi
lần lượt là hình chiếu của A, B lên Ox,
lần lượt là hình chiếu của A, B
lên Oy. Có bao nhiêu giá trị của m khác 0, -1 để tam giác
có diện tích gấp 4 lần diện tích tam giác A. 1. B. 4. C. 2. D. 3.
Câu 5: Tìm tất cả các giá trị nguyên của tham số m để hàm số sau có tập xác định là A. 2 B. 3 C. 4 D. 5 Câu 6: Cho hàm số
m là tham số. Có bao nhiêu giá trị nguyên m để hàm số đã cho
xác định trên đoạn –3; –1 ? A. 2. B. 3. C. 1. D. Vô số.
Câu 7: Tìm m để các hàm số
xác định với mọi x thuộc khoảng A. B. C. D.
Câu 8: Tìm tập hợp các giá trị của tham số m để hàm số xác định trên khoảng
Mọi thắc măc vui lòng xin liên hệ hotline: 084 283 45 85
A. B. C. D. Câu 9: Cho hàm số
(m là tham số). Để tập xác định của hàm số chỉ có đúng một phần tử thì
với tối giản. Tính a + b. A. –3025. B. 3025. C. 5043. D. –5043. Câu 10: Cho hàm số
Có bao nhiêu giá trị của tham số m để hàm số xác định trên đoạn A. 1. B. 2. C. 3. D. 4.
Câu 11: Tìm m để hàm số xác định trên khoảng A. B. . C. . D.
Câu 12: Có bao nhiêu giá trị nguyên dương của tham số m để hàm số xác định trên A. 6 . B. 7 . C. 8. D. 9.
Câu 13: Gọi S là tập tất cả các giá trị nguyên của tham số m sao cho hàm số xác định trên khoảng
Khi đó số các phân tử của S là. A. 0 B. 4 C. 8 D. 9
Câu 14: Cho hàm số f(x) có đồ thị như hình vẽ. Giá trị nguyên lớn nhất của m để hàm số có TXĐ là
Mọi thắc măc vui lòng xin liên hệ hotline: 084 283 45 85
A. m = –2. B. m = –1. C. m = –4. D. m = 0.
Câu 15: Tìm số giá trị nguyên của tham số để hàm số xác định . A. 4038. B. 2018. C. 2019. D. 2020. Câu 16: Cho hàm số
Gọi S là tập hợp các giá trị
nguyên của m để hàm số xác định trên . Hỏi tập S có bao nhiêu phần tử? A. 2018. B. 2019. C. 2020. D. 2021. Câu 17: Cho hàm số
Tìm tất cả các giá trị của tham số m để hàm số có
tập xác định là tập số thực . A. B. C. D.
Câu 18: Có bao nhiêu giá trị nguyên của tham số m trên đoạn để hàm số xác định trên A. 2018. B. 2019. C. 4036. D. 4037.
Câu 19: Tìm số giá trị nguyên của tham số k để hàm số xác định trên khoảng A. 1. B. 2 . C. 3. D. 4.
Mọi thắc măc vui lòng xin liên hệ hotline: 084 283 45 85
ĐÁP ÁN VÀ HƯỚNG DẪN GIẢI 01- C 02- A 03- A 04- 05- C 06- B 07- 08- 09- A 10- 11- A 12- 13- 14- A- 15- 16- 17- 18- 19-
Mọi thắc măc vui lòng xin liên hệ hotline: 084 283 45 85
197 bài tập vận dụng, vận dụng cao hàm số và phương trình bậc 1-2 có lời giải
395
198 lượt tải
100.000 ₫
MUA NGAY ĐỂ XEM TOÀN BỘ TÀI LIỆU
CÁCH MUA:
- B1: Gửi phí vào TK:
1053587071
- NGUYEN VAN DOAN - Ngân hàng Vietcombank (QR) - B2: Nhắn tin tới Zalo VietJack Official ( nhấn vào đây ) để xác nhận thanh toán và tải tài liệu - giáo án
Liên hệ ngay Hotline hỗ trợ: 084 283 45 85
Chúng tôi đảm bảo đủ số lượng đề đã cam kết hoặc có thể nhiều hơn, tất cả có BẢN WORD, LỜI GIẢI CHI TIẾT và tải về dễ dàng.
Để tải tài liệu gốc về máy bạn click vào nút Tải Xuống ở trên!
- Tailieugiaovien.com.vn giới thiệu 197 Bài tập vận dụng, vận dụng cao hàm số và phương trình bậc 1-2 môn Toán mới nhất nhằm giúp Giáo viên có thêm tài liệu tham khảo bài tập Toán lớp 11.
- File word có lời giải chi tiết 100%.
- Mua trọn bộ sẽ tiết kiệm hơn tải lẻ 50%.
Đánh giá
4.6 / 5(395 )5
4
3
2
1

Trọng Bình
Tài liệu hay
Giúp ích cho tôi rất nhiều

Duy Trần
Tài liệu chuẩn
Rất thích tài liệu bên VJ soạn (bám sát chương trình dạy)