UBND QUẬN CẦU GIẤY
KHẢO SÁT CHẤT LƯỢNG LẦN 1 – LỚP 9
TRƯỜNG THCS CẦU GIẤY Môn thi: TOÁN
Ngày kiểm tra: 03/01/2025
Thời gian làm bài: 120 phút (không kể thời gian phát đề)
Bài 1. (1,5 điểm)
1) Biểu đồ sau cho biết số lượng các loại ô tô một cửa hàng bán được trong năm 2023:
a) Lập bảng tần số cho dữ liệu được biểu diễn trên biểu đồ.
b) Giả sử tỉ lệ các loại xe bán được không đổi và cửa hàng bán được tổng số 240 ô
tô các loại trong năm 2023. Hãy ước lượng số ô tô 4 chỗ cửa hàng bán được.
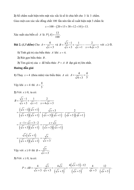
2) Gieo một con xúc xắc đồng chất 100 lần và ghi lại kết quả trong bảng sau:
Số chấm xuất hiện 1 2 3 4 5 6 Tần số 20 15 x 30 12 10
Xét biến cố A: “Số chấm xuất hiện trên mặt xúc xắc là số lẻ chia hết cho 3 ”. Tính xác suất của biến cố . A
Bài 2. (1,5 điểm) Cho 4 A và x 1 1 2 B với x 0. x 3 x 3
x 1 x 4 x 3
1) Tính giá trị của biểu thức A khi x 4 .
2) Rút gọn biểu thức B .
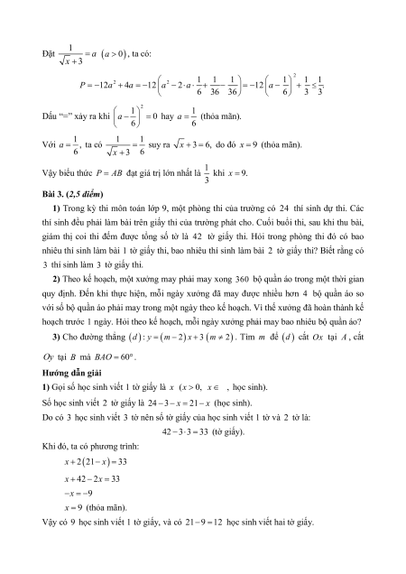
3) Tìm giá trị của x để biểu thức P A B đạt giá trị lớn nhất.
Bài 3. (2,5 điểm)
1) Trong kỳ thi môn toán lớp 9, một phòng thi của trường có 24 thí sinh dự thi. Các
thí sinh đều phải làm bài trên giấy thi của trường phát cho. Cuối buổi thi, sau khi thu bài,
giám thị coi thi đếm được tổng số tờ là 42 tờ giấy thi. Hỏi trong phòng thi đó có bao
nhiêu thí sinh làm bài 1 tờ giấy thi, bao nhiêu thí sinh làm bài 2 tờ giấy thi? Biết rằng có
3 thí sinh làm 3 tờ giấy thi.
2) Theo kế hoạch, một xưởng may phải may xong 360 bộ quần áo trong một thời gian
quy định. Đến khi thực hiện, mỗi ngày xưởng đã may được nhiều hơn 4 bộ quần áo so
với số bộ quần áo phải may trong một ngày theo kế hoạch. Vì thế xưởng đã hoàn thành kế
hoạch trước 1 ngày. Hỏi theo kế hoạch, mỗi ngày xưởng phải may bao nhiêu bộ quần áo?
3) Cho đường thẳng d : y m 2 x 3 m 2 . Tìm m để d cắt Ox tại A , cắt
Oy tại B mà BAO 60.
Bài 4. (4,0 điểm)
1) Cho tam giác ABC đều có cạnh AB 3cm nội tiếp đường tròn tâm O bán kính . R
Hạ AH vuông góc với BC . Tính diện tích phần nằm trong hình tròn O; R và nằm
ngoài tam giác ABC (phần tô đậm trong hình bên).
2) Cho đường tròn O đường kính AB 2R . Lấy điểm C trên đường tròn O và
lấy điểm M bất kì trên cung nhỏ BC (M không trùng với ,
B C). Gọi H là giao điểm
của AM và BC . Đường thẳng AC cắt đường thẳng BM tại D . DH cắt AB tại K .
a) Chứng minh rằng bốn điểm C, D, M , H cùng thuộc một đường tròn.
b) Chứng minh rằng DCM đồng dạng với DBA .
c) Chứng minh rằng CKM COM .
d) Kẻ phân giác góc AMB cắt AB tại P . Tìm vị trí của M thỏa mãn đề bài để MP
đạt giá trị lớn nhất. MA MB
Bài 5. (0,5 điểm) Trong một xưởng cơ khí đang có sẵn những thanh thép dài 7,4 m. Một
công trình xây dựng đang cần có 1 000 đoạn thép dài 0,7 m và 2 000 đoạn thép dài
0,5 m (cùng kích cỡ với thép 7,4 m). Em hãy tìm xem cần dùng bao nhiêu thanh thép
7,4 m để thoả mãn yêu cần trên với chi phí tiết kiệm nhất.
----------HẾT----------
Cán bộ coi thi không giải thích gì thêm.
UBND QUẬN CẦU GIẤY
KHẢO SÁT CHẤT LƯỢNG LẦN 1 – LỚP 9
TRƯỜNG THCS CẦU GIẤY Môn thi: TOÁN
Ngày kiểm tra: 03/01/2025
Hướng dẫn giải chi tiết
Bài 1. (1,5 điểm)
1) Biểu đồ sau cho biết số lượng các loại ô tô một cửa hàng bán được trong năm 2023:
a) Lập bảng tần số cho dữ liệu được biểu diễn trên biểu đồ.
b) Giả sử tỉ lệ các loại xe bán được không đổi và cửa hàng bán được tổng số 240 ô
tô các loại trong năm 2023. Hãy ước lượng số ô tô 4 chỗ cửa hàng bán được.
2) Gieo một con xúc xắc đồng chất 100 lần và ghi lại kết quả trong bảng sau:
Số chấm xuất hiện 1 2 3 4 5 6 Tần số 20 15 x 30 12 10
Xét biến cố A: “Số chấm xuất hiện trên mặt xúc xắc là số lẻ chia hết cho 3 ”. Tính xác suất của biến cố . A Hướng dẫn giải
1) a) Bảng tần số như sau: Loại xe
Xe 4 chỗ ngồi Xe 7 chỗ ngồi Xe 16 chỗ ngồi Xe trên 16 chỗ ngồi Tần số 35 20 15 10
b) Tần số tương đối cho số ô tô 4 chỗ cửa hàng bán được là: 35 35 100% 100% 43,75%. 35 20 15 10 80
Ước lượng số ô tô 4 chỗ cửa hàng bán được trong tổng số 240 ô tô các loại là: 24043,75% 105 (chiếc).
2) Số chấm xuất hiện trên mặt xúc xắc là số lẻ chia hết cho 3 là 3 chấm.
Gieo một con xúc xắc đồng chất 100 lần nên tần số xuất hiện mặt 3 chấm là:
x 100 20 15 30 12 10 13.
Xác suất của biến cố A là P A 13 . 100
Bài 2. (1,5 điểm) Cho 4 A và x 1 1 2 B với x 0. x 3 x 3
x 1 x 4 x 3
1) Tính giá trị của biểu thức A khi x 4.
2) Rút gọn biểu thức B .
3) Tìm giá trị của x để biểu thức P A B đạt giá trị lớn nhất. Hướng dẫn giải
1) Thay x 4 (thỏa mãn) vào biểu thức A có: 4 4 A . 4 3 5 Vậy khi x 4 thì 4 A . 5
2) Với x 0, ta có: x 1 1 2 B x 3
x 1 x 4 x 3
x 1 x 1 x 3 2
x 3 x 1 x 3 x 1 x 3 x 1
x 1 x 3 2 x x
x 3 x 1 x 3 x 1 x x 1 x .
x 3 x 1 x 3
Vậy với x 0 thì x B . x 3
3) Với x 0, ta có: 4 x x x 312 4 4 4 12 P AB
x 3 x 3 x . 2 x 2 x 3 3 3 x 32
Bộ 10 Đề thi thử vào 10 Toán năm 2025 (có lời giải)
46.4 K
23.2 K lượt tải
300.000 ₫
MUA NGAY ĐỂ XEM TOÀN BỘ TÀI LIỆU
CÁCH MUA:
- B1: Gửi phí vào TK:
1053587071
- NGUYEN VAN DOAN - Ngân hàng Vietcombank (QR) - B2: Nhắn tin tới Zalo VietJack Official ( nhấn vào đây ) để xác nhận thanh toán và tải tài liệu - giáo án
Liên hệ ngay Hotline hỗ trợ: 084 283 45 85
Chúng tôi đảm bảo đủ số lượng đề đã cam kết hoặc có thể nhiều hơn, tất cả có BẢN WORD, LỜI GIẢI CHI TIẾT và tải về dễ dàng.
Để tải tài liệu gốc về máy bạn click vào nút Tải Xuống ở trên!
- Tailieugiaovien.com.vn giới thiệu Bộ 10 đề ôn thi vào lớp 10 Toán năm 2025 có lời giải chi tiết gồm các đề thi minh họa, đề thi mẫu, đề dự thảo của các Tỉnh, Thành phố trên cả nước giúp Giáo viên có thêm tài liệu ôn thi Toán vào 10.
- File word có lời giải chi tiết 100%.
- Mua trọn bộ sẽ tiết kiệm hơn tải lẻ 50%.
Đánh giá
4.6 / 5(46351 )5
4
3
2
1

Trọng Bình
Tài liệu hay
Giúp ích cho tôi rất nhiều

Duy Trần
Tài liệu chuẩn
Rất thích tài liệu bên VJ soạn (bám sát chương trình dạy)