ĐỀ SỐ 057 PHẦN I. TRẮC NGHIỆM
Trong mỗi câu, hãy chọn phương án thích hợp nhất và ghi vào phần bài làm:
Câu 1. Trong các phương trình sau, phương trình nào là phương trình bậc nhất một ẩn Câu 2.
là nghiệm của phương trình nào sau đây ? Câu 3. Cho hình vẽ 3 0
Hình vẽ trên biểu diễn tập nghiệm của bất phương trình nào sau đây ? Câu 4. Cho khi đó:
Câu 5. Trong hình vẽ bên có AD là A
phân giác của góc BAC, AB = 2,5 và AC = 3,5. Tỉ số bằng 2,5 3,5 B x D y C
Câu 6. Trong hình vẽ bên (AB//CD), C 24 D giá trị x bằng bao nhiêu 12 8 B x A
Câu 7. Nếu tam giác ABC đồng dạng với tam giác A'B'C' theo tỉ số k thì tam giác
A'B'C' đồng dạng với tam giác ABC theo tỉ số:
Câu 8. Một hình hộp chữ nhật có thể tích 210 cm3, mặt đáy có chiều dài 7 cm và
chiều rộng 5 cm. Chiều cao của hình hộp chữ nhật đó là:
PHẦN II. TỰ LUẬN (8,0 điểm)
Bài 1. (1,75 điểm) Giải các phương trình sau:
Bài 2 (2điểm) Giải bài toán sau bằng cách lập phương trình
Một người đi xe máy từ A đến B với vận tốc 40 km/h. Lúc về, người đó đi với vận
tốc 30 km/h, nên thời gian về nhiều hơn thời gian đi là 45 phút. Tính quãng đường AB.
Bài 3 (1,25 điểm) Giải bất phương trình sau và biểu diễn tập nghiệm trên trục số Bài 4 (3,0 điểm) Cho
vuông góc tại A với AB = 3cm, AC = 4 cm. Vẽ đường cao AE. a) Chứng minh đồng dạng với và b) Tính độ dài BC và AE
c) Phân giác góc ABC cắt AC tại F. Tính độ dài BF
ĐÁP ÁN ĐỀ SỐ 057 I.TRẮC NGHIỆM 1C 2B 3B 4D 5B 6A 7C 8A II.TỰ LUẬN Bài 1.
Bài 2.
Gọi x (km) là quãng đường AB (x>0) Suy ra thời gian lúc đi: ; thời gian lúc về
Thời gian về nhiều hơn đi là: Ta có phương trình
Vậy quãng đường AB dài 90 km Bài 3. Biểu diễn 0 2 Bài 4. A F C B E
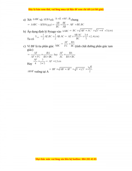
a) Xét và có: chung
b) Áp dụng định lý Pytago vào Ta có c) Vì BF là tia phân giác
(tính chất đường phân giác tam giác) Hay vuông tại A
Đề thi cuối học kì 2 Toán 8 năm 2022 - 2023 - Đề 57
733
367 lượt tải
MUA NGAY ĐỂ XEM TOÀN BỘ TÀI LIỆU
CÁCH MUA:
- B1: Gửi phí vào TK:
1053587071
- NGUYEN VAN DOAN - Ngân hàng Vietcombank (QR) - B2: Nhắn tin tới Zalo VietJack Official ( nhấn vào đây ) để xác nhận thanh toán và tải tài liệu - giáo án
Liên hệ ngay Hotline hỗ trợ: 084 283 45 85
Đề thi được cập nhật liên tục trong gói này từ nay đến hết tháng 6/2023. Chúng tôi đảm bảo đủ số lượng đề đã cam kết hoặc có thể nhiều hơn, tất cả có BẢN WORD, LỜI GIẢI CHI TIẾT và tải về dễ dàng.
Để tải tài liệu gốc về máy bạn click vào nút Tải Xuống ở trên!
Thuộc bộ (mua theo bộ để tiết kiệm hơn):
- Tailieugiaovien.com.vn giới thiệu bộ 60 đề thi cuối học kì 2 môn Toán lớp 8 mới nhất năm 2022 - 2023 nhằm giúp Giáo viên có thêm tài liệu tham khảo ra đề thi Toán lớp 10.
- File word có lời giải chi tiết 100%.
- Mua trọn bộ sẽ tiết kiệm hơn tải lẻ 50%.
Đánh giá
4.6 / 5(733 )5
4
3
2
1

Trọng Bình
Tài liệu hay
Giúp ích cho tôi rất nhiều

Duy Trần
Tài liệu chuẩn
Rất thích tài liệu bên VJ soạn (bám sát chương trình dạy)
TÀI LIỆU BỘ BÁN CHẠY MÔN Toán Học
Xem thêmTÀI LIỆU BỘ BÁN CHẠY Lớp 8
Xem thêmTài liệu bộ mới nhất

Đây là bản xem thử, vui lòng mua tài liệu để xem chi tiết (có lời giải)
ĐỀ SỐ 057
PHẦN I. TRẮC NGHIỆM
Trong mỗi câu, hãy chọn phương án thích hợp nhất và ghi vào phần bài làm:
Câu 1. Trong các phương trình sau, phương trình nào là phương trình bậc nhất một
ẩn
Câu 2. là nghiệm của phương trình nào sau đây ?
Câu 3.
Cho hình vẽ
Hình vẽ trên biểu diễn tập nghiệm của bất phương trình nào sau đây ?
Câu 4. Cho khi đó:
Câu 5. Trong hình vẽ bên có AD là
phân giác của góc BAC, AB = 2,5 và
AC = 3,5. Tỉ số bằng
2,5
3,5
x
y
D
A
B
C
Câu 6. Trong hình vẽ bên (AB//CD),
giá trị x bằng bao nhiêu
24
x
12
8
C
D
B
A
Mọi thắc mắc vui lòng xin liên hệ hotline: 084 283 45 85
0
3

Đây là bản xem thử, vui lòng mua tài liệu để xem chi tiết (có lời giải)
Câu 7. Nếu tam giác ABC đồng dạng với tam giác A'B'C' theo tỉ số k thì tam giác
A'B'C' đồng dạng với tam giác ABC theo tỉ số:
Câu 8. Một hình hộp chữ nhật có thể tích 210 cm
3
, mặt đáy có chiều dài 7 cm và
chiều rộng 5 cm. Chiều cao của hình hộp chữ nhật đó là:
PHẦN II. TỰ LUẬN (8,0 điểm)
Bài 1. (1,75 điểm) Giải các phương trình sau:
Bài 2 (2điểm) Giải bài toán sau bằng cách lập phương trình
Một người đi xe máy từ A đến B với vận tốc 40 km/h. Lúc về, người đó đi với vận
tốc 30 km/h, nên thời gian về nhiều hơn thời gian đi là 45 phút. Tính quãng đường
AB.
Bài 3 (1,25 điểm) Giải bất phương trình sau và biểu diễn tập nghiệm trên trục số
Bài 4 (3,0 điểm)
Cho vuông góc tại A với AB = 3cm, AC = 4 cm. Vẽ đường cao AE.
a) Chứng minh đồng dạng với và
b) Tính độ dài BC và AE
c) Phân giác góc ABC cắt AC tại F. Tính độ dài BF
ĐÁP ÁN ĐỀ SỐ 057
I.TRẮC NGHIỆM
1C 2B 3B 4D 5B 6A 7C 8A
II.TỰ LUẬN
Bài 1.
Mọi thắc mắc vui lòng xin liên hệ hotline: 084 283 45 85

Đây là bản xem thử, vui lòng mua tài liệu để xem chi tiết (có lời giải)
Bài 2.
Gọi x (km) là quãng đường AB (x>0)
Suy ra thời gian lúc đi: ; thời gian lúc về
Thời gian về nhiều hơn đi là:
Ta có phương trình
Vậy quãng đường AB dài 90 km
Bài 3.
Biểu diễn
0
2
Bài 4.
F
E
B
A
C
Mọi thắc mắc vui lòng xin liên hệ hotline: 084 283 45 85

Đây là bản xem thử, vui lòng mua tài liệu để xem chi tiết (có lời giải)
a) Xét và có: chung
b) Áp dụng định lý Pytago vào
Ta có
c) Vì BF là tia phân giác (tính chất đường phân giác tam
giác)
Hay
vuông tại A
Mọi thắc mắc vui lòng xin liên hệ hotline: 084 283 45 85

Đây là bản xem thử, vui lòng mua tài liệu để xem chi tiết (có lời giải)
Mọi thắc mắc vui lòng xin liên hệ hotline: 084 283 45 85