Đề số 4
PHẦN I. Câu trắc nghiệm nhiều phương án lựa chọn. Thí sinh trả lời từ câu 1 đến câu 12.
Mỗi câu hỏi thí sinh chỉ chọn một phương án.
Câu 1. Đồ thị của hàm số nào dưới đây có dạng như đường cong trong hình bên? A. . B. . C. . D. .
Câu 2. Đồ thị hàm số
có bao nhiêu đường tiệm cận đứng? A. . B. . C. . D. .
Câu 3. Giá trị lớn nhất của hàm số trên là A. . B. . C. . D. . Câu 4. Cho hàm số
có đồ thị là đường cong trong hình vẽ bên. Giá trị của bằng A. . B. . C. . D. .
Câu 5. Cho hình lập phương
. Hai vectơ nào có giá cùng nằm trong mặt phẳng . A. . B. C. . D. .
Câu 6. Trong không gian
, cho biểu diễn của vectơ qua các vectơ đơn vị là . Tọa độ của vectơ là A. . B. . C. . D. .
Câu 7. Trong không gian với hệ toạ độ , cho điểm và vectơ Tìm toạ độ điểm biết rằng . A. . B. . C. . D. .
Câu 8. Cho tứ diện . Gọi là trọng tâm tam giác và điểm thuộc cạnh sao cho
. Đẳng thức nào sau đây là đúng? A. . B. . C. . D. .
Câu 9. Trong không gian , cho ,
. Tâm đường tròn ngoại tiếp tam giác A. . B. . C. . D. .
Câu 10. Trong không gian cho ba điểm và Để thẳng hàng thì giá trị bằng A. B. C. D.
Câu 11. Cho mẫu số liệu ghép nhóm có tứ phân vị thứ nhất, thứ hai, thứ ba lần lượt là ,
. Khoảng tứ phân vị của mẫu số liệu ghép nhóm đó bằng: A. . B. . C. . D. .
Câu 12. Thời gian (phút) truy bài trước mỗi buổi học của một số học sinh trong một tuần
được ghi lại ở bảng sau: Thời gian Số học sinh 2
Nhóm chứa tứ phân vị thứ nhất là A. . B. . C. . D. .
PHẦN II. Câu trắc nghiệm đúng sai. Thí sinh trả lời từ câu 1 đến câu 4. Trong mỗi ý a), b),
c), d) ở mỗi câu, thí sinh chọn đúng hoặc sai. Câu 1. Cho hàm số liên tục trên
và có đồ thị như hình vẽ :
a) Hàm số đồng biến trên khoảng .
b) Hàm số đạt cực đại tại .
c) Giá trị nhỏ nhất của hàm số trên bằng . d) Hàm số nghịch biến trên .
Câu 2. Xét tính đúng sai của các mệnh đề sau: a) Hàm số đồng biến trên . b) Cho hàm số có
. Khi đó hàm số đã cho có 3 điểm cực trị.
c) Đồ thị hàm số có điểm cực trị . Khi đó .
d) Một doanh nghiệp mua một chiếc máy giá 5000 (USD) để sản xuất sản phẩm loại
A. Trong thực tế, mỗi kg sản phẩm được sản xuất ra cần phải có nguyên liệu với giá 4 (USD).
Khi doanh nghiệp này sản xuất một số lượng rất lớn sản phẩm thì chi phí để sản xuất được
mỗi kg sản phẩm giảm dần và đạt giá trị nhỏ nhất là 4,1 (USD).
Câu 3. Hình minh họa sơ đồ một ngôi nhà trong không gian
, trong đó nền nhà, bốn bức tường
và hai mái nhà đều là hình chữ nhật.
Xét tính đúng sai các mệnh đề sau: a) Toạ độ điểm . b) Toạ độ vectơ . c) .
d) Góc đốc của mái nhà, tức là số đo của góc nhị diện có cạnh là đường thẳng , hai mặt lần lượt là và bằng
(làm tròn kết quả đến hàng phần mười).
Câu 4. Kết quả môn Toán (cùng đề) của học sinh hai lớp và
được cho lần lượt bởi
mẫu số liệu ghép nhóm ở bảng sau: Nhóm Tần số ở lớp 5 Tần số ở lớp
a) Số trung bình cộng của hai mẫu số liệu trên bằng nhau.
b) Độ lệch chuẩn của mẫu số liệu lớp nhỏ hơn .
c) Phương sai của mẫu số liệu lớp lớn hơn .
d) Điểm thi của học sinh lớp đồng đều hơn lớp .
PHẦN III. Câu trắc nghiệm trả lời ngắn. Thí sinh trả lời câu 1 đến câu 6.
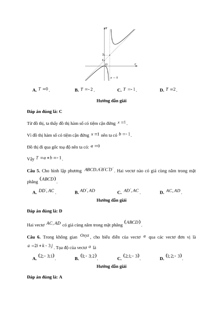
Câu 1. Tiệm cận xiên của đồ thị hàm số là đường thẳng . Tính
giá trị của biểu thức .
Đề thi Cuối kì 1 Toán 12 Cánh diều (Đề 4)
411
206 lượt tải
MUA NGAY ĐỂ XEM TOÀN BỘ TÀI LIỆU
CÁCH MUA:
- B1: Gửi phí vào TK:
1053587071
- NGUYEN VAN DOAN - Ngân hàng Vietcombank (QR) - B2: Nhắn tin tới Zalo VietJack Official ( nhấn vào đây ) để xác nhận thanh toán và tải tài liệu - giáo án
Liên hệ ngay Hotline hỗ trợ: 084 283 45 85
Chúng tôi đảm bảo đủ số lượng đề đã cam kết hoặc có thể nhiều hơn, tất cả có BẢN WORD, LỜI GIẢI CHI TIẾT và tải về dễ dàng.
Để tải tài liệu gốc về máy bạn click vào nút Tải Xuống ở trên!
Thuộc bộ (mua theo bộ để tiết kiệm hơn):
- Tailieugiaovien.com.vn giới thiệu bộ đề cuối kì 1 gồm đầy đủ ma trận và lời giải chi tiết môn Toán 12 Cánh diều mới nhất năm 2024 nhằm giúp Giáo viên có thêm tài liệu tham khảo ra đề thi Toán 12.
- File word có lời giải chi tiết 100%.
- Mua trọn bộ sẽ tiết kiệm hơn tải lẻ 50%.
Đánh giá
4.6 / 5(411 )5
4
3
2
1

Trọng Bình
Tài liệu hay
Giúp ích cho tôi rất nhiều

Duy Trần
Tài liệu chuẩn
Rất thích tài liệu bên VJ soạn (bám sát chương trình dạy)