BỘ SÁCH: CÁNH DIỀU – MÔN: TOÁN
ĐỀ KIỂM TRA CUỐI HỌC KÌ 2 ĐỀ SỐ 3
I. Trắc nghiệm (7 điểm)
Câu 1. Nhân ngày 8/3, GVCN lớp 11A1 trường THPT Nguyễn Hiền chọn ngẫu
nhiên một học sinh trong lớp để tặng quà. Xét hai biến cố A: “Học sinh đó là một
học sinh nữ”, biến cố B: “Học sinh đó có tên bắt đầu bằng chữ Q”. Khi đó nội dung của biến cố là
A. Học sinh đó là học sinh nữ và có tên bắt đầu bằng chữ Q.
B. Học sinh đó là học sinh nữ hoặc có tên bắt đầu bằng chữ Q.
C. Học sinh đó là học sinh nam và có tên bắt đầu bằng chữ Q.
D. Học sinh đó là học sinh nam hoặc có tên bắt đầu bằng chữ Q.
Câu 2. Cho hai biến cố và độc lập với nhau. Biết và .
Tính xác suất của biến cố . A. . B. . C. . D. .
Câu 3. Có 7 viên bi xanh khác nhau và 3 viên bi đỏ khác nhau. Chọn ngẫu nhiên 5
viên bi. Xác suất của biến cố A sao cho chọn đúng 3 viên bi xanh là A. . B. . C. . D. .
Câu 4. Với là số thực dương tùy ý, biểu thức là: A. . B. . C. . D. .
Câu 5. Cho là số thực dương. Giá trị rút gọn của biểu thức là: A. B. C. D.
Câu 6. Cho a > 0 và a 1, x và y là hai số dương. Tìm mệnh đề đúng trong các mệnh đề sau: A. . B. . C. . D. . Câu 7. Cho . Tính bằng: A. . B. . C. . D. .
Câu 8. Hàm số nào dưới đây đồng biến trên tập xác định của nó? A. . B. . C. . D. .
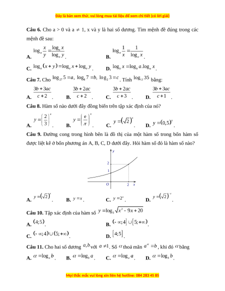
Câu 9. Đường cong trong hình bên là đồ thị của một hàm số trong bốn hàm số
được liệt kê ở bốn phương án A, B, C, D dưới đây. Hỏi hàm số đó là hàm số nào? y 2 1 O 2 x x x y 2 y 2 A. .
B. y x . C. 2x y . D. .
Câu 10. Tập xác định của hàm số A. . B. . C. . D. .
Câu 11. Cho hai số dương với . Số thoả mãn , khi đó bằng A. . B. . C. . D. .
Câu 12. Phương trình có nghiệm là A. . B. . C. . D. .
Câu 13. Phương trình có tập nghiệm là: A. . B. . C. . D. . Câu 14. Cho hàm số
xác định trên thỏa mãn . Kết quả đúng là: A. . B. . C. . D. .
Câu 15. Khẳng định nào sau đây sai? A. . B. . C. . D. .
Câu 16. Hàm số nào sau đây có đạo hàm bằng ? A. . B. . C. . D. .
Câu 17. Đạo hàm của hàm số là A. . B. . C. . D. . Câu 18. Cho . Biểu thức
có giá trị là bao nhiêu? A. . B. . C. . D.
Câu 19. Cho hàm số . Tính bằng: A. . B. . C. . D. . Câu 20. Cho hàm số . Giá trị bằng: A. 6 . B. 3 . C. . D. .
Câu 21. Trong hình hộp
có tất cả các cạnh đều bằng nhau.
Trong các mệnh đề sau, mệnh đề nào sai? A. . B. . C. . D. .
Câu 22. Cho hình lập phương như hình vẽ bên
Đường thẳng nào dưới đây vuông góc với mặt phẳng ? A. B. C. D.
Câu 23. Cho hình chóp S.ABC có đáy là tam giác đều cạnh bằng a. và
SA vuông góc với đáy. Gọi I và J lần lượt là trung điểm BC và SI. Tìm mệnh đề sai. A. BI (SAI).
B. BC (SIA). C. AJ (SBC). D. AI (SBC).
Câu 24. Cho hình chóp có đáy là hình vuông, vuông góc với mặt
phẳng đáy. Mệnh đề nào sau đây đúng? A. B. C. D.
Đề thi cuối kì 2 Toán 11 Cánh diều (Đề 3)
422
211 lượt tải
MUA NGAY ĐỂ XEM TOÀN BỘ TÀI LIỆU
CÁCH MUA:
- B1: Gửi phí vào TK:
1053587071
- NGUYEN VAN DOAN - Ngân hàng Vietcombank (QR) - B2: Nhắn tin tới Zalo VietJack Official ( nhấn vào đây ) để xác nhận thanh toán và tải tài liệu - giáo án
Liên hệ ngay Hotline hỗ trợ: 084 283 45 85
Chúng tôi đảm bảo đủ số lượng đề đã cam kết hoặc có thể nhiều hơn, tất cả có BẢN WORD, LỜI GIẢI CHI TIẾT và tải về dễ dàng.
Để tải tài liệu gốc về máy bạn click vào nút Tải Xuống ở trên!
Thuộc bộ (mua theo bộ để tiết kiệm hơn):
- Tailieugiaovien.com.vn giới thiệu bộ 10 đề cuối kì 2 môn Toán 11 Cánh diều mới nhất năm 2023 - 2024 nhằm giúp Giáo viên có thêm tài liệu tham khảo ra đề thi Toán lớp 11.
- File word có lời giải chi tiết 100%.
- Mua trọn bộ sẽ tiết kiệm hơn tải lẻ 50%.
Đánh giá
4.6 / 5(422 )5
4
3
2
1

Trọng Bình
Tài liệu hay
Giúp ích cho tôi rất nhiều

Duy Trần
Tài liệu chuẩn
Rất thích tài liệu bên VJ soạn (bám sát chương trình dạy)