Đề 11
Bài 1: Cho các biểu thức sau. a) Rút gọn biểu thức và
b) Tính giá trị biểu thức tại
Bài 2: Phân tích các đa thức sau thành nhân tử. Bài 3: Tìm biết. Bài 4: Cho hai đa thức và
a)Tìm thương và số dư của phép chia đa thức cho đa thức b) Tìm số nguyên để chia hết cho Bài 5: Tìm đa thức sao cho khi chia cho thì dư nếu chia cho thì dư 9 và nếu chia cho thì được thương là và còn dư. Lời giải Bài 1.Rút gọn
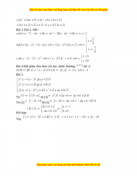
Bài 2.Phân tích đa thức thành nhân tử :
Bài 3.Tìm x, biết :
Bài 4.Đặt phép chia theo cột dọc ,được thương: dư :3 Bài 5. Từ từ (3) Từ (2) từ (3) Kết hợp Vậy
Đề thi giữa kì 1 Toán 8 năm 2023 - Đề 11
430
215 lượt tải
MUA NGAY ĐỂ XEM TOÀN BỘ TÀI LIỆU
CÁCH MUA:
- B1: Gửi phí vào TK:
1053587071
- NGUYEN VAN DOAN - Ngân hàng Vietcombank (QR) - B2: Nhắn tin tới Zalo VietJack Official ( nhấn vào đây ) để xác nhận thanh toán và tải tài liệu - giáo án
Liên hệ ngay Hotline hỗ trợ: 084 283 45 85
Đề thi được cập nhật liên tục trong gói này từ nay đến hết tháng 6/2023. Chúng tôi đảm bảo đủ số lượng đề đã cam kết hoặc có thể nhiều hơn, tất cả có BẢN WORD, LỜI GIẢI CHI TIẾT và tải về dễ dàng.
Để tải tài liệu gốc về máy bạn click vào nút Tải Xuống ở trên!
Thuộc bộ (mua theo bộ để tiết kiệm hơn):
- Tailieugiaovien.com.vn giới thiệu bộ 100 đề thi giữa học kì 1 môn Toán lớp 8 mới nhất năm 2022 - 2023 nhằm giúp Giáo viên có thêm tài liệu tham khảo ra đề thi Toán lớp 10.
- File word có lời giải chi tiết 100%.
- Mua trọn bộ sẽ tiết kiệm hơn tải lẻ 50%.
Đánh giá
4.6 / 5(430 )5
4
3
2
1

Trọng Bình
Tài liệu hay
Giúp ích cho tôi rất nhiều

Duy Trần
Tài liệu chuẩn
Rất thích tài liệu bên VJ soạn (bám sát chương trình dạy)
TÀI LIỆU BỘ BÁN CHẠY MÔN Toán Học
Xem thêmTÀI LIỆU BỘ BÁN CHẠY Lớp 8
Xem thêmTài liệu bộ mới nhất

Đây là bản xem thử, vui lòng mua tài liệu để xem chi tiết (có lời giải)
Đề 11
Bài 1: Cho các biểu thức sau.
a) Rút gọn biểu thức và
b) Tính giá trị biểu thức tại
Bài 2: Phân tích các đa thức sau thành nhân tử.
Bài 3: Tìm biết.
Bài 4: Cho hai đa thức và
a)Tìm thương và số dư của phép chia đa thức cho đa thức
b) Tìm số nguyên để chia hết cho
Bài 5: Tìm đa thức sao cho khi chia cho thì dư nếu chia
cho thì dư 9 và nếu chia cho thì được thương là và còn
dư.
Lời giải
Bài 1.Rút gọn
Bài 2.Phân tích đa thức thành nhân tử :
Mọi thắc mắc vui lòng xin liên hệ hotline: 084 283 45 85

Đây là bản xem thử, vui lòng mua tài liệu để xem chi tiết (có lời giải)
Bài 3.Tìm x, biết :
Bài 4.Đặt phép chia theo cột dọc ,được thương: dư :3
Bài 5.
Từ từ (3)
Từ (2) từ (3)
Kết hợp
Vậy
Mọi thắc mắc vui lòng xin liên hệ hotline: 084 283 45 85