Đề 14
Bài 1: Chọn một chữ cái trước câu trả lời dúng và đầy đủ nhất
1. Tính tổng các số nguyên thỏa mãn 2. Tìm n sao cho 3. Biểu thức
sau khi rút gọn thì hệ số của bằng 4. Cho tam giác vuông tại trung tuyến Tính độ dài đường trung bình (biết rằng 5. Cho hình bình hành
và lần lược là trung điểm của và là hình gì? Hình thoi B. Hình chữ nhật C.Hình bình hành D.Hình vuông
Bài 2: 1. Phân tích đa thức thành nhân tử
2. Tìm giá tri nhỏ nhất của biểu thức
3. Tính giá trị biểu thức biết rằng thỏa mãn điều kiện Bài 3. 1) Tìm biết rằng 2) Tìm sao cho đa thức là ước của đa thức 3) Cho
Tính giá trị của biểu thức : Bài 4. Hình bình hành có và Gọi theo thứ tự là trung điểm của 1) Tứ giác là hình gì ? 2) Tứ giác là hình gì ?
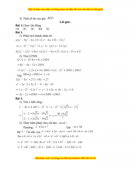
3) Tính số đo của góc Lời giải :
Bài 1.Chọn câu đúng 1A 2C 3C 4A 5C Bài 2.
1) Phân tích thành nhân tử : 2) Tìm GTNN Vậy Bài 3. 1) Tìm x biết rằng :
2) Thực hiện phép chia cột dọc , ta có : Thương : Dư: Để là ước của
Bài 4. B E C A F D a) Ta có là hình bình hành là hình thoi b) mà là hình thang cân c) Xét có đều là hình thoi là phân giác mà có : Hay
Đề thi giữa kì 1 Toán 8 năm 2023 - Đề 14
441
221 lượt tải
MUA NGAY ĐỂ XEM TOÀN BỘ TÀI LIỆU
CÁCH MUA:
- B1: Gửi phí vào TK:
1053587071
- NGUYEN VAN DOAN - Ngân hàng Vietcombank (QR) - B2: Nhắn tin tới Zalo VietJack Official ( nhấn vào đây ) để xác nhận thanh toán và tải tài liệu - giáo án
Liên hệ ngay Hotline hỗ trợ: 084 283 45 85
Đề thi được cập nhật liên tục trong gói này từ nay đến hết tháng 6/2023. Chúng tôi đảm bảo đủ số lượng đề đã cam kết hoặc có thể nhiều hơn, tất cả có BẢN WORD, LỜI GIẢI CHI TIẾT và tải về dễ dàng.
Để tải tài liệu gốc về máy bạn click vào nút Tải Xuống ở trên!
Thuộc bộ (mua theo bộ để tiết kiệm hơn):
- Tailieugiaovien.com.vn giới thiệu bộ 100 đề thi giữa học kì 1 môn Toán lớp 8 mới nhất năm 2022 - 2023 nhằm giúp Giáo viên có thêm tài liệu tham khảo ra đề thi Toán lớp 10.
- File word có lời giải chi tiết 100%.
- Mua trọn bộ sẽ tiết kiệm hơn tải lẻ 50%.
Đánh giá
4.6 / 5(441 )5
4
3
2
1

Trọng Bình
Tài liệu hay
Giúp ích cho tôi rất nhiều

Duy Trần
Tài liệu chuẩn
Rất thích tài liệu bên VJ soạn (bám sát chương trình dạy)
TÀI LIỆU BỘ BÁN CHẠY MÔN Toán Học
Xem thêmTÀI LIỆU BỘ BÁN CHẠY Lớp 8
Xem thêmTài liệu bộ mới nhất

Đây là bản xem thử, vui lòng mua tài liệu để xem chi tiết (có lời giải)
Đề 14
Bài 1: Chọn một chữ cái trước câu trả lời dúng và đầy đủ nhất
1. Tính tổng các số nguyên thỏa mãn
2. Tìm n sao cho
3. Biểu thức sau khi rút gọn thì hệ số của bằng
4. Cho tam giác vuông tại trung tuyến Tính độ dài đường
trung bình (biết rằng
5. Cho hình bình hành và lần lược là trung điểm của và
là hình gì?
Hình thoi
B. Hình chữ nhật
C.Hình bình hành
D.Hình vuông
Bài 2: 1. Phân tích đa thức thành nhân tử
2. Tìm giá tri nhỏ nhất của biểu thức
3. Tính giá trị biểu thức biết rằng thỏa mãn điều kiện
Bài 3.
1) Tìm biết rằng
2) Tìm sao cho đa thức là ước của đa thức
3) Cho Tính giá trị của biểu thức :
Bài 4. Hình bình hành có và Gọi theo thứ tự
là trung điểm của
1) Tứ giác là hình gì ?
2) Tứ giác là hình gì ?
Mọi thắc mắc vui lòng xin liên hệ hotline: 084 283 45 85

Đây là bản xem thử, vui lòng mua tài liệu để xem chi tiết (có lời giải)
3) Tính số đo của góc
Lời giải :
Bài 1.Chọn câu đúng
1A 2C 3C 4A 5C
Bài 2.
1) Phân tích thành nhân tử :
2) Tìm GTNN
Vậy
Bài 3.
1) Tìm x biết rằng :
2) Thực hiện phép chia cột dọc , ta có :
Thương : Dư:
Để là ước của
Mọi thắc mắc vui lòng xin liên hệ hotline: 084 283 45 85

Đây là bản xem thử, vui lòng mua tài liệu để xem chi tiết (có lời giải)
Bài 4.
F
A
D
E
B
C
a) Ta có là hình bình hành
là hình thoi
b) mà
là hình thang cân
c) Xét có đều là hình thoi
là phân giác mà
có :
Hay
Mọi thắc mắc vui lòng xin liên hệ hotline: 084 283 45 85