Đề 18
Bài 1. Chọn câu đúng nhất
1) Tồn tại bao nhiêu số tự nhiên để
2) Kết quả rút gọn biểu thức có một nhân tử là : 3) Cho . Tính 4) Hình thang cân có các cạnh đáy . Diện tích hình thang là : 5) Cho tam giác có
lần lượt là trung điểm của Tính chu vi của tam giác biết Bài 2.
1) Phân tích đa thức thành nhân tử : 2) Biểu thức
có giá trị nhỏ nhất bằng 2. Tính 3) Thực hiện phép chia : Bài 3. 1) Tìm x biết : 2) Tìm để đa thức có một nhân tử là Bài 4. Cho hình bình hành
lần lượt là hình chiếu của trên đường chéo 1) Chứng minh 2) Chứng minh là hình bình hành và đi qua trung điểm của Lời giải Bài 1. 1D 2A 3A 4B 5A Bài 2.
1) Phân tích thành nhân tử : Bài 3. 1) Tìm x: 2) Đặt Vì có nhân tử Bài 4.
A B K H D C a) Xét b) là hình bình hành cắt nhau tại trung điểm mỗi đường, nên đi qua trung điểm
Đề thi giữa kì 1 Toán 8 năm 2023 - Đề 18
346
173 lượt tải
MUA NGAY ĐỂ XEM TOÀN BỘ TÀI LIỆU
CÁCH MUA:
- B1: Gửi phí vào TK:
1053587071
- NGUYEN VAN DOAN - Ngân hàng Vietcombank (QR) - B2: Nhắn tin tới Zalo VietJack Official ( nhấn vào đây ) để xác nhận thanh toán và tải tài liệu - giáo án
Liên hệ ngay Hotline hỗ trợ: 084 283 45 85
Đề thi được cập nhật liên tục trong gói này từ nay đến hết tháng 6/2023. Chúng tôi đảm bảo đủ số lượng đề đã cam kết hoặc có thể nhiều hơn, tất cả có BẢN WORD, LỜI GIẢI CHI TIẾT và tải về dễ dàng.
Để tải tài liệu gốc về máy bạn click vào nút Tải Xuống ở trên!
Thuộc bộ (mua theo bộ để tiết kiệm hơn):
- Tailieugiaovien.com.vn giới thiệu bộ 100 đề thi giữa học kì 1 môn Toán lớp 8 mới nhất năm 2022 - 2023 nhằm giúp Giáo viên có thêm tài liệu tham khảo ra đề thi Toán lớp 10.
- File word có lời giải chi tiết 100%.
- Mua trọn bộ sẽ tiết kiệm hơn tải lẻ 50%.
Đánh giá
4.6 / 5(346 )5
4
3
2
1

Trọng Bình
Tài liệu hay
Giúp ích cho tôi rất nhiều

Duy Trần
Tài liệu chuẩn
Rất thích tài liệu bên VJ soạn (bám sát chương trình dạy)
TÀI LIỆU BỘ BÁN CHẠY MÔN Toán Học
Xem thêmTÀI LIỆU BỘ BÁN CHẠY Lớp 8
Xem thêmTài liệu bộ mới nhất

Đây là bản xem thử, vui lòng mua tài liệu để xem chi tiết (có lời giải)
Đề 18
Bài 1. Chọn câu đúng nhất
1) Tồn tại bao nhiêu số tự nhiên để
2) Kết quả rút gọn biểu thức có một nhân tử là :
3) Cho . Tính
4) Hình thang cân có các cạnh đáy .
Diện tích hình thang là :
5) Cho tam giác có lần lượt là trung điểm của Tính
chu vi của tam giác biết
Bài 2.
1) Phân tích đa thức thành nhân tử :
2) Biểu thức có giá trị nhỏ nhất bằng 2. Tính
3) Thực hiện phép chia :
Bài 3.
1) Tìm x biết :
2) Tìm để đa thức có một nhân tử là
Bài 4. Cho hình bình hành lần lượt là hình chiếu của trên đường
chéo
1) Chứng minh
2) Chứng minh là hình bình hành và đi qua trung điểm của
Lời giải
Bài 1.
1D 2A 3A 4B 5A
Bài 2.
Mọi thắc mắc vui lòng xin liên hệ hotline: 084 283 45 85

Đây là bản xem thử, vui lòng mua tài liệu để xem chi tiết (có lời giải)
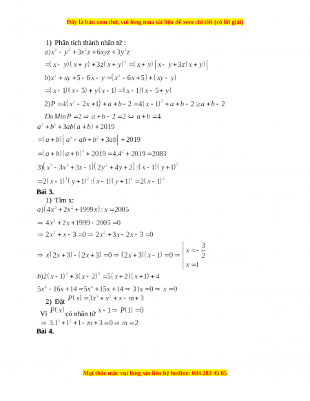
1) Phân tích thành nhân tử :
Bài 3.
1) Tìm x:
2) Đặt
Vì có nhân tử
Bài 4.
Mọi thắc mắc vui lòng xin liên hệ hotline: 084 283 45 85

Đây là bản xem thử, vui lòng mua tài liệu để xem chi tiết (có lời giải)
H
K
C
A
D
B
a) Xét
b) là hình bình hành cắt nhau tại trung
điểm mỗi đường, nên đi qua trung điểm
Mọi thắc mắc vui lòng xin liên hệ hotline: 084 283 45 85