Đề 02
I. TRẮC NGHIỆM:Chọn chữ cái đứng trước câu trả lời đúng
Câu 1:Kết quả khai triển bằng: Câu 2:Đơn thức chia hết cho đơn thức:
Câu 3:Trong các hình sau,hình có tâm đối xứng là: A.Tam giác đều B. Hình bình hành C. hình thang cân D. Cả A,B,C đều đúng
Câu 4: Dấu hiệu nào sau đây không là dấu hiệu nhận biết hình chữ nhật
A. Tứ giác có ba góc vuông.
B. Hình bình có hai đường chéo bằng nhau.
C. Hình bình hành có hai đường chéo vuông góc với nhau
D. Hình bình hành có một góc vuông II TỰ LUẬN
Bài 1:Phân tích đa thức sau thành nhân tử:
Bài 2:Thực hiện phép tính: Bài 3:Tìm biết: Bài 4:Cho hình bình hành có
lần lược là trung điểm của và a)Chứng minh: là hình bình hành b)Chứng minh: đồng quy c)Gọi là giao của và Chứng minh:
là đường trung bình của Bài 5:Tìm các giá trị nguyên dương sao cho: Lời giải
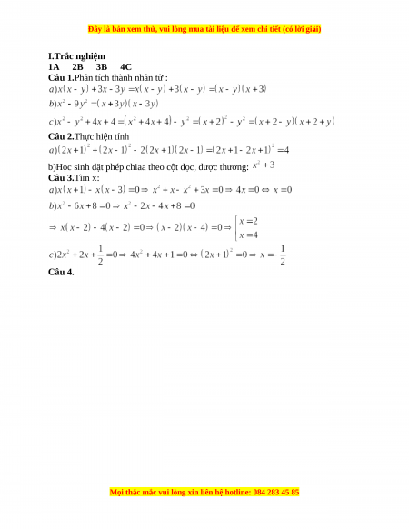
I.Trắc nghiệm 1A 2B 3B 4C
Câu 1.Phân tích thành nhân tử :
Câu 2.Thực hiện tính
b)Học sinh đặt phép chiaa theo cột dọc, được thương: Câu 3.Tìm x: Câu 4.
E A M B O D N C Xét tứ giác có : là hình bình hành b) là hình bình hành mà
nên O là trung điểm mỗi đường là hình bình hành, Từ (1), (2) đồng quy tại O c) Xét có : là đường trung bình . Lại có là đường trung bình Câu 5.
Vậy
Đề thi giữa kì 1 Toán 8 năm 2023 - Đề 2
501
251 lượt tải
MUA NGAY ĐỂ XEM TOÀN BỘ TÀI LIỆU
CÁCH MUA:
- B1: Gửi phí vào TK:
1053587071
- NGUYEN VAN DOAN - Ngân hàng Vietcombank (QR) - B2: Nhắn tin tới Zalo VietJack Official ( nhấn vào đây ) để xác nhận thanh toán và tải tài liệu - giáo án
Liên hệ ngay Hotline hỗ trợ: 084 283 45 85
Đề thi được cập nhật liên tục trong gói này từ nay đến hết tháng 6/2023. Chúng tôi đảm bảo đủ số lượng đề đã cam kết hoặc có thể nhiều hơn, tất cả có BẢN WORD, LỜI GIẢI CHI TIẾT và tải về dễ dàng.
Để tải tài liệu gốc về máy bạn click vào nút Tải Xuống ở trên!
Thuộc bộ (mua theo bộ để tiết kiệm hơn):
- Tailieugiaovien.com.vn giới thiệu bộ 100 đề thi giữa học kì 1 môn Toán lớp 8 mới nhất năm 2022 - 2023 nhằm giúp Giáo viên có thêm tài liệu tham khảo ra đề thi Toán lớp 10.
- File word có lời giải chi tiết 100%.
- Mua trọn bộ sẽ tiết kiệm hơn tải lẻ 50%.
Đánh giá
4.6 / 5(501 )5
4
3
2
1

Trọng Bình
Tài liệu hay
Giúp ích cho tôi rất nhiều

Duy Trần
Tài liệu chuẩn
Rất thích tài liệu bên VJ soạn (bám sát chương trình dạy)
TÀI LIỆU BỘ BÁN CHẠY MÔN Toán Học
Xem thêmTÀI LIỆU BỘ BÁN CHẠY Lớp 8
Xem thêmTài liệu bộ mới nhất

Đây là bản xem thử, vui lòng mua tài liệu để xem chi tiết (có lời giải)
Đề 02
I. TRẮC NGHIỆM:Chọn chữ cái đứng trước câu trả lời đúng
Câu 1:Kết quả khai triển bằng:
Câu 2:Đơn thức chia hết cho đơn thức:
Câu 3:Trong các hình sau,hình có tâm đối xứng là:
A.Tam giác đều
B. Hình bình hành
C. hình thang cân
D. Cả A,B,C đều đúng
Câu 4: Dấu hiệu nào sau đây không là dấu hiệu nhận biết hình chữ nhật
A. Tứ giác có ba góc vuông.
B. Hình bình có hai đường chéo bằng nhau.
C. Hình bình hành có hai đường chéo vuông góc với nhau
D. Hình bình hành có một góc vuông
II TỰ LUẬN
Bài 1:Phân tích đa thức sau thành nhân tử:
Bài 2:Thực hiện phép tính:
Bài 3:Tìm biết:
Bài 4:Cho hình bình hành có lần lược là trung điểm của
và
a)Chứng minh: là hình bình hành
b)Chứng minh: đồng quy
c)Gọi là giao của và Chứng minh: là đường trung bình của
Bài 5:Tìm các giá trị nguyên dương sao cho:
Lời giải
Mọi thắc mắc vui lòng xin liên hệ hotline: 084 283 45 85

Đây là bản xem thử, vui lòng mua tài liệu để xem chi tiết (có lời giải)
I.Trắc nghiệm
1A 2B 3B 4C
Câu 1.Phân tích thành nhân tử :
Câu 2.Thực hiện tính
b)Học sinh đặt phép chiaa theo cột dọc, được thương:
Câu 3.Tìm x:
Câu 4.
Mọi thắc mắc vui lòng xin liên hệ hotline: 084 283 45 85

Đây là bản xem thử, vui lòng mua tài liệu để xem chi tiết (có lời giải)
E
O
N
M
C
A
D
B
Xét tứ giác có : là hình bình hành
b) là hình bình hành mà nên O là trung điểm mỗi đường
là hình bình hành,
Từ (1), (2) đồng quy tại O
c) Xét có : là đường trung bình
. Lại có là đường trung bình
Câu 5.
Mọi thắc mắc vui lòng xin liên hệ hotline: 084 283 45 85

Đây là bản xem thử, vui lòng mua tài liệu để xem chi tiết (có lời giải)
Vậy
Mọi thắc mắc vui lòng xin liên hệ hotline: 084 283 45 85

Đây là bản xem thử, vui lòng mua tài liệu để xem chi tiết (có lời giải)
Mọi thắc mắc vui lòng xin liên hệ hotline: 084 283 45 85