Đề 21
Bài 1. Chọn câu đúng nhất
Câu 1. Có bao nhiêu số nguyên tố x thỏa mãn Câu 2.Biết là các số nguyên sao cho
. Tìm giá trị lớn nhất của Câu 3.Tam giác vuông tại A với Đường cao Các điểm
lần lượt đối xứng với H qua hai cạnh Tính độ dài đoạn
Câu 4. Khẳng định nào sau đây đúng ?
Tứ giác có 3 góc tù, 1 góc nhọn
B.Tứ giác có 3 góc vuông, 1 góc nhọn
C.Tứ giác có nhiều nhất 2 góc tù, nhiều nhất 2 góc nhọn
D.Tứ giác có 3 góc nhọn , 1 góc tù Bài 2.
1) Phân tích đa thức thành nhân tử : 2) Biểu thức
đạt giá trị lớn nhất bằng 1. Hãy tìm giá trị
nhỏ nhất của biểu thức 3) Tìm đa thức sao cho Bài 3. 1) Tìm x, biết : 2) Cho Chứng minh Bài 4. Cho tam giác có ba góc nhọn và Các đường cao cắt
nhau tại H. Gọi M là trung điểm của
là điểm đối xứng với H qua M 1) Chứng minh tứ giác là hình bình hành 2) Chứng minh vuông góc với và vuông góc với AC
3) Gọi là điểm đối xứng với H qua chứng minh tứ giác là hình thang cân
4) BK cắt tại G, tam giác
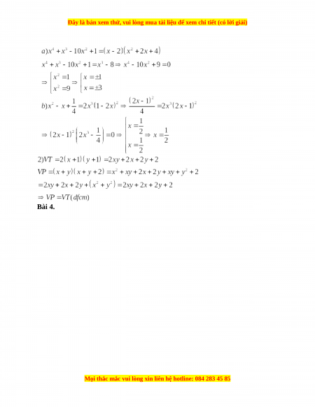
phải có thêm điều kiện gì để tứ giác là hình thang cân Lời giải Bài 1. 1B 2C 3A 4D Bài 2.
1) Phân tích thành nhân tử : Thay ta được : Vậy
Ta đặt phép chia đa thức Vậy Bài 3. 1) Tìm x, biết :
Bài 4.
A E F H M B C G I K a) Ta có: là hình bình hành b) là hình bình hành Mà c) mà và cân tại B và là trung điểm là đường trung bình Từ (1), (2) là hình thang cân d) Tứ giác là hình thang cân (vì đối đỉnh)
Đề thi giữa kì 1 Toán 8 năm 2023 - Đề 21
540
270 lượt tải
MUA NGAY ĐỂ XEM TOÀN BỘ TÀI LIỆU
CÁCH MUA:
- B1: Gửi phí vào TK:
1053587071
- NGUYEN VAN DOAN - Ngân hàng Vietcombank (QR) - B2: Nhắn tin tới Zalo VietJack Official ( nhấn vào đây ) để xác nhận thanh toán và tải tài liệu - giáo án
Liên hệ ngay Hotline hỗ trợ: 084 283 45 85
Đề thi được cập nhật liên tục trong gói này từ nay đến hết tháng 6/2023. Chúng tôi đảm bảo đủ số lượng đề đã cam kết hoặc có thể nhiều hơn, tất cả có BẢN WORD, LỜI GIẢI CHI TIẾT và tải về dễ dàng.
Để tải tài liệu gốc về máy bạn click vào nút Tải Xuống ở trên!
Thuộc bộ (mua theo bộ để tiết kiệm hơn):
- Tailieugiaovien.com.vn giới thiệu bộ 100 đề thi giữa học kì 1 môn Toán lớp 8 mới nhất năm 2022 - 2023 nhằm giúp Giáo viên có thêm tài liệu tham khảo ra đề thi Toán lớp 10.
- File word có lời giải chi tiết 100%.
- Mua trọn bộ sẽ tiết kiệm hơn tải lẻ 50%.
Đánh giá
4.6 / 5(540 )5
4
3
2
1

Trọng Bình
Tài liệu hay
Giúp ích cho tôi rất nhiều

Duy Trần
Tài liệu chuẩn
Rất thích tài liệu bên VJ soạn (bám sát chương trình dạy)
TÀI LIỆU BỘ BÁN CHẠY MÔN Toán Học
Xem thêmTÀI LIỆU BỘ BÁN CHẠY Lớp 8
Xem thêmTài liệu bộ mới nhất

Đây là bản xem thử, vui lòng mua tài liệu để xem chi tiết (có lời giải)
Đề 21
Bài 1. Chọn câu đúng nhất
Câu 1. Có bao nhiêu số nguyên tố x thỏa mãn
Câu 2.Biết là các số nguyên sao cho . Tìm giá trị lớn nhất của
Câu 3.Tam giác vuông tại A với Đường cao Các
điểm lần lượt đối xứng với H qua hai cạnh Tính độ dài đoạn
Câu 4. Khẳng định nào sau đây đúng ?
Tứ giác có 3 góc tù, 1 góc nhọn
B.Tứ giác có 3 góc vuông, 1 góc nhọn
C.Tứ giác có nhiều nhất 2 góc tù, nhiều nhất 2 góc nhọn
D.Tứ giác có 3 góc nhọn , 1 góc tù
Bài 2.
1) Phân tích đa thức thành nhân tử :
2) Biểu thức đạt giá trị lớn nhất bằng 1. Hãy tìm giá trị
nhỏ nhất của biểu thức
3) Tìm đa thức sao cho
Bài 3.
1) Tìm x, biết :
2) Cho Chứng minh
Bài 4. Cho tam giác có ba góc nhọn và Các đường cao cắt
nhau tại H. Gọi M là trung điểm của là điểm đối xứng với H qua M
1) Chứng minh tứ giác là hình bình hành
2) Chứng minh vuông góc với và vuông góc với AC
3) Gọi là điểm đối xứng với H qua chứng minh tứ giác là hình
thang cân
Mọi thắc mắc vui lòng xin liên hệ hotline: 084 283 45 85

Đây là bản xem thử, vui lòng mua tài liệu để xem chi tiết (có lời giải)
4) BK cắt tại G, tam giác phải có thêm điều kiện gì để tứ giác
là hình thang cân
Lời giải
Bài 1.
1B 2C 3A 4D
Bài 2.
1) Phân tích thành nhân tử :
Thay ta được :
Vậy
Ta đặt phép chia đa thức
Vậy
Bài 3.
1) Tìm x, biết :
Mọi thắc mắc vui lòng xin liên hệ hotline: 084 283 45 85

Đây là bản xem thử, vui lòng mua tài liệu để xem chi tiết (có lời giải)
Bài 4.
Mọi thắc mắc vui lòng xin liên hệ hotline: 084 283 45 85

Đây là bản xem thử, vui lòng mua tài liệu để xem chi tiết (có lời giải)
G
I
K
M
H
F
E
A
B
C
a) Ta có:
là hình bình hành
b) là hình bình hành
Mà
c) mà và cân tại B
và
là trung điểm là đường trung bình
Từ (1), (2) là hình thang cân
d) Tứ giác là hình thang cân
(vì đối đỉnh)
Mọi thắc mắc vui lòng xin liên hệ hotline: 084 283 45 85

Đây là bản xem thử, vui lòng mua tài liệu để xem chi tiết (có lời giải)
Ta có: ( phải cân
tại A
Mọi thắc mắc vui lòng xin liên hệ hotline: 084 283 45 85