Đề 03
Bài 1: Phát biểu quy tắc nhân đa thức với đa thức. Áp dụng:Tính nhân:
Bài 2:Phân tích các đa thức sau thành nhân tử:
Bài 3:Rút gọn rồi tính giá trị biểu thức sau: tại với Bài 4:Tìm biết Bài 5:Làm phép chia Bài 6. Hình thang biết Tính độ dài đường trung bình của hình thang đó. Lời giải Bài 1.
Quy tắc nhân đa thức với đa thức :Ta nhân từng hạng tử của đa thức này với từng
hạng tử của đa thức kia rồi cộng các kết quả lại với nhau
Bài 2.Phân tích thành nhân tử :
Bài 3.Rút gọn rồi tính : Tại Với
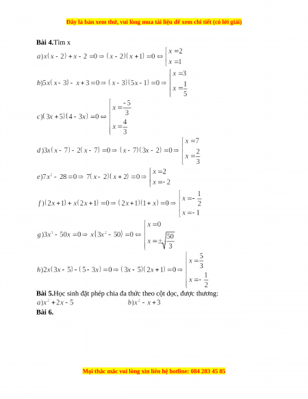
Bài 4.Tìm x
Bài 5.Học sinh đặt phép chia đa thức theo cột dọc, được thương: Bài 6.
A B
Vì MN là đường trung bình hình thang ABCD AB+CD 5+7 MN= = =6(cm) M N 2 2 D C
Đề thi giữa kì 1 Toán 8 năm 2023 - Đề 3
415
208 lượt tải
MUA NGAY ĐỂ XEM TOÀN BỘ TÀI LIỆU
CÁCH MUA:
- B1: Gửi phí vào TK:
1053587071
- NGUYEN VAN DOAN - Ngân hàng Vietcombank (QR) - B2: Nhắn tin tới Zalo VietJack Official ( nhấn vào đây ) để xác nhận thanh toán và tải tài liệu - giáo án
Liên hệ ngay Hotline hỗ trợ: 084 283 45 85
Đề thi được cập nhật liên tục trong gói này từ nay đến hết tháng 6/2023. Chúng tôi đảm bảo đủ số lượng đề đã cam kết hoặc có thể nhiều hơn, tất cả có BẢN WORD, LỜI GIẢI CHI TIẾT và tải về dễ dàng.
Để tải tài liệu gốc về máy bạn click vào nút Tải Xuống ở trên!
Thuộc bộ (mua theo bộ để tiết kiệm hơn):
- Tailieugiaovien.com.vn giới thiệu bộ 100 đề thi giữa học kì 1 môn Toán lớp 8 mới nhất năm 2022 - 2023 nhằm giúp Giáo viên có thêm tài liệu tham khảo ra đề thi Toán lớp 10.
- File word có lời giải chi tiết 100%.
- Mua trọn bộ sẽ tiết kiệm hơn tải lẻ 50%.
Đánh giá
4.6 / 5(415 )5
4
3
2
1

Trọng Bình
Tài liệu hay
Giúp ích cho tôi rất nhiều

Duy Trần
Tài liệu chuẩn
Rất thích tài liệu bên VJ soạn (bám sát chương trình dạy)
TÀI LIỆU BỘ BÁN CHẠY MÔN Toán Học
Xem thêmTÀI LIỆU BỘ BÁN CHẠY Lớp 8
Xem thêmTài liệu bộ mới nhất

Đây là bản xem thử, vui lòng mua tài liệu để xem chi tiết (có lời giải)
Đề 03
Bài 1: Phát biểu quy tắc nhân đa thức với đa thức.
Áp dụng:Tính nhân:
Bài 2:Phân tích các đa thức sau thành nhân tử:
Bài 3:Rút gọn rồi tính giá trị biểu thức sau:
tại
với
Bài 4:Tìm biết
Bài 5:Làm phép chia
Bài 6. Hình thang biết Tính độ dài đường
trung bình của hình thang đó.
Lời giải
Bài 1.
Quy tắc nhân đa thức với đa thức :Ta nhân từng hạng tử của đa thức này với từng
hạng tử của đa thức kia rồi cộng các kết quả lại với nhau
Mọi thắc mắc vui lòng xin liên hệ hotline: 084 283 45 85

Đây là bản xem thử, vui lòng mua tài liệu để xem chi tiết (có lời giải)
Bài 2.Phân tích thành nhân tử :
Bài 3.Rút gọn rồi tính :
Tại
Với
Mọi thắc mắc vui lòng xin liên hệ hotline: 084 283 45 85

Đây là bản xem thử, vui lòng mua tài liệu để xem chi tiết (có lời giải)
Bài 4.Tìm x
Bài 5.Học sinh đặt phép chia đa thức theo cột dọc, được thương:
Bài 6.
Mọi thắc mắc vui lòng xin liên hệ hotline: 084 283 45 85

Đây là bản xem thử, vui lòng mua tài liệu để xem chi tiết (có lời giải)
Vì MN là đường trung bình hình thang ABCD
MN=
AB+CD
2
=
5+7
2
=6(cm)
M
N
A
D
C
B
Mọi thắc mắc vui lòng xin liên hệ hotline: 084 283 45 85

Đây là bản xem thử, vui lòng mua tài liệu để xem chi tiết (có lời giải)
Mọi thắc mắc vui lòng xin liên hệ hotline: 084 283 45 85