Đề 32
Bài 1.Rút gọn các biểu thức :
Bài 2.Phân tích đa thức thành nhân tử : Bài 3.Tìm x, biết : Bài 4.Cho hình bình hành Trên đường chéo lấy hai điểm sao cho a) Chứng minh rằng b) cắt
tại O. Chứng minh tứ giác là hình bình hành c) cắt tại I. Chứng minh d)
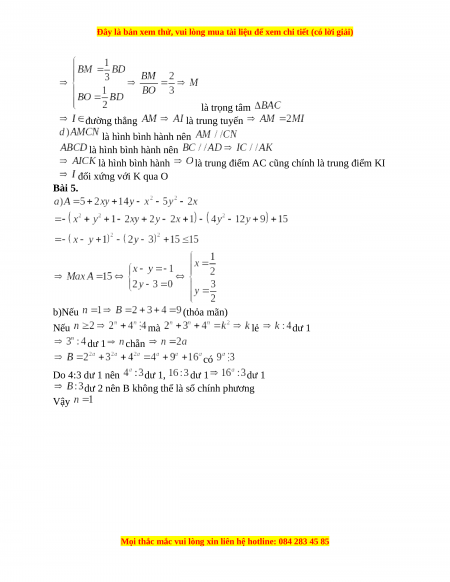
cắt AD tại K. Chứng minh đối xứng nhau qua O Bài 5.
a) Tìm GTLN của biểu thức
b) Tìm tất cả các số nguyên dương sao cho là số chính phương. Lời giải
Bài 1.Rút gọn biểu thức
Bài 2.Phân tích đa thức thành nhân tử : Đặt Bài 3.Tìm x
Bài 4. A B M K O I N D C a) là hình bình hành Xét và có: b) là hình bình hành c) Ta có là trung điểm là đường trung tuyến
là trọng tâm đường thẳng là trung tuyến là hình bình hành nên là hình bình hành nên là hình bình hành
là trung điểm AC cũng chính là trung điểm KI đối xứng với K qua O Bài 5. b)Nếu (thỏa mãn) Nếu mà lẻ dư 1 dư 1 chẵn có Do 4:3 dư 1 nên dư 1, dư 1 dư 1
dư 2 nên B không thể là số chính phương Vậy
Đề thi giữa kì 1 Toán 8 năm 2023 - Đề 32
388
194 lượt tải
MUA NGAY ĐỂ XEM TOÀN BỘ TÀI LIỆU
CÁCH MUA:
- B1: Gửi phí vào TK:
1053587071
- NGUYEN VAN DOAN - Ngân hàng Vietcombank (QR) - B2: Nhắn tin tới Zalo VietJack Official ( nhấn vào đây ) để xác nhận thanh toán và tải tài liệu - giáo án
Liên hệ ngay Hotline hỗ trợ: 084 283 45 85
Đề thi được cập nhật liên tục trong gói này từ nay đến hết tháng 6/2023. Chúng tôi đảm bảo đủ số lượng đề đã cam kết hoặc có thể nhiều hơn, tất cả có BẢN WORD, LỜI GIẢI CHI TIẾT và tải về dễ dàng.
Để tải tài liệu gốc về máy bạn click vào nút Tải Xuống ở trên!
Thuộc bộ (mua theo bộ để tiết kiệm hơn):
- Tailieugiaovien.com.vn giới thiệu bộ 100 đề thi giữa học kì 1 môn Toán lớp 8 mới nhất năm 2022 - 2023 nhằm giúp Giáo viên có thêm tài liệu tham khảo ra đề thi Toán lớp 10.
- File word có lời giải chi tiết 100%.
- Mua trọn bộ sẽ tiết kiệm hơn tải lẻ 50%.
Đánh giá
4.6 / 5(388 )5
4
3
2
1

Trọng Bình
Tài liệu hay
Giúp ích cho tôi rất nhiều

Duy Trần
Tài liệu chuẩn
Rất thích tài liệu bên VJ soạn (bám sát chương trình dạy)
TÀI LIỆU BỘ BÁN CHẠY MÔN Toán Học
Xem thêmTÀI LIỆU BỘ BÁN CHẠY Lớp 8
Xem thêmTài liệu bộ mới nhất

Đây là bản xem thử, vui lòng mua tài liệu để xem chi tiết (có lời giải)
Đề 32
Bài 1.Rút gọn các biểu thức :
Bài 2.Phân tích đa thức thành nhân tử :
Bài 3.Tìm x, biết :
Bài 4.Cho hình bình hành Trên đường chéo lấy hai điểm sao cho
a) Chứng minh rằng
b) cắt tại O. Chứng minh tứ giác là hình bình hành
c) cắt tại I. Chứng minh
d) cắt AD tại K. Chứng minh đối xứng nhau qua O
Bài 5.
a) Tìm GTLN của biểu thức
b) Tìm tất cả các số nguyên dương sao cho là số chính
phương.
Lời giải
Bài 1.Rút gọn biểu thức
Mọi thắc mắc vui lòng xin liên hệ hotline: 084 283 45 85

Đây là bản xem thử, vui lòng mua tài liệu để xem chi tiết (có lời giải)
Bài 2.Phân tích đa thức thành nhân tử :
Đặt
Bài 3.Tìm x
Mọi thắc mắc vui lòng xin liên hệ hotline: 084 283 45 85

Đây là bản xem thử, vui lòng mua tài liệu để xem chi tiết (có lời giải)
Bài 4.
K
I
O
M
N
C
A
D
B
a) là hình bình hành
Xét và có:
b)
là hình bình hành
c) Ta có là trung điểm là đường trung tuyến
Mọi thắc mắc vui lòng xin liên hệ hotline: 084 283 45 85

Đây là bản xem thử, vui lòng mua tài liệu để xem chi tiết (có lời giải)
là trọng tâm
đường thẳng là trung tuyến
là hình bình hành nên
là hình bình hành nên
là hình bình hành là trung điểm AC cũng chính là trung điểm KI
đối xứng với K qua O
Bài 5.
b)Nếu (thỏa mãn)
Nếu mà lẻ dư 1
dư 1 chẵn
có
Do 4:3 dư 1 nên dư 1, dư 1 dư 1
dư 2 nên B không thể là số chính phương
Vậy
Mọi thắc mắc vui lòng xin liên hệ hotline: 084 283 45 85

Đây là bản xem thử, vui lòng mua tài liệu để xem chi tiết (có lời giải)
Mọi thắc mắc vui lòng xin liên hệ hotline: 084 283 45 85