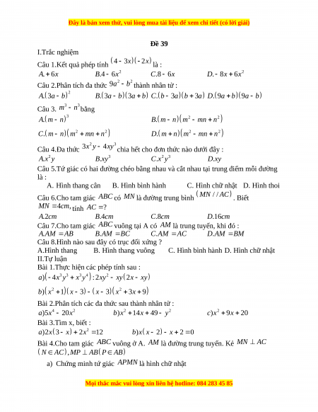
Đề 39 I.Trắc nghiệm
Câu 1.Kết quả phép tính 4 3x 2x là : 2 2 . A 6x . B 4 6x C.8 6x .
D 8x 6x Câu 2.Phân tích đa thức 2 2
9a b thành nhân tử :
A a b 2 . 3 .
B 3a b 3a b C. b 3a b 3a .
D 9a b 9a b Câu 3. 3 3 m n bằng .
A m n3 .
B m n 2 2
m mn n
C. m n 2 2
m mn n .
D m n 2 2
m mn n 2 3
Câu 4.Đa thức 3x y 4xy chia hết cho đơn thức nào dưới đây : 2 3 2 3 . A x y B.xy C.x y . D xy
Câu 5.Tứ giác có hai đường chéo bằng nhau và cắt nhau tại trung điểm mỗi đường là : A. Hình thang cân B. Hình bình hành
C. Hình chữ nhật D. Hình thoi
Câu 6.Cho tam giác ABC có MN là đường trung bình MN / / AC . Biết MN 4
cm, tính AC ? . A 2cm . B 4cm C.8cm . D 16cm
Câu 7.Cho tam giác ABC vuông tại A có AM là trung tuyến, khi đó : . A AM AB . B AM B C
C.AM AC . D AM B M
Câu 8.Hình nào sau đây có trục đối xứng ? A.Hình thang B. Hình thang vuông
C. Hình bình hành D. Hình chữ nhật II.Tự luận
Bài 1.Thực hiện các phép tính sau : a) 3 3 3 4
4x y x y 2
: 2xy xy 2x xy b) 2 x
1 x 3 x 3 2
x 3x 9
Bài 2.Phân tích các đa thức sau thành nhân tử : 4 2 2 2 2
a)5x 20x
b)x 14x 49 y
c)x 9x 20 Bài 3.Tìm x, biết : a x x 2 )2 3 2x 1 2
b)x x 2 x 2 0
Bài 4.Cho tam giác ABC vuông ở A. AM là đường trung tuyến. Kẻ MN AC
N AC ,MP AB P AB
a) Chứng minh tứ giác APMN là hình chữ nhật
b) Gọi E là điểm đối xứng của M qua N.Chứng minh tứ giác AECM là hình thoi
c) Gọi F là điểm đối xứng của M qua P. Chứng minh A là trung điểm của EF
Bài 5. Xác định các hằng số a,b sao cho 4
x ax b chia hết cho 2 x 1 Lời giải I.Trắc nghiệm 1D 2B 3C 4D 5C 6C 7D 8D II.Tự luận
Bài 1.Thực hiện phép tính :
Bài 2.Phân tích thành nhân tử : Bài 3.Tìm x, biết : Bài 4.
E A F N P C M B a) vuông tại A Có Từ (1), (2) là hình chữ nhật b) MN Mà M là trung điểm
là trung điểm AC. Lại có cũng là trung điểm là hình bình hành tại N là hình thoi c) Cmtt câu b là hình thoi Có là hình thoi và Từ là trung điểm
Bài 5. Ta thực hiện đặt chia theo cột dọc, Được thương: dư: Để là phép chia hết
Đề thi giữa kì 1 Toán 8 năm 2023 - Đề 39
408
204 lượt tải
MUA NGAY ĐỂ XEM TOÀN BỘ TÀI LIỆU
CÁCH MUA:
- B1: Gửi phí vào TK:
1053587071
- NGUYEN VAN DOAN - Ngân hàng Vietcombank (QR) - B2: Nhắn tin tới Zalo VietJack Official ( nhấn vào đây ) để xác nhận thanh toán và tải tài liệu - giáo án
Liên hệ ngay Hotline hỗ trợ: 084 283 45 85
Đề thi được cập nhật liên tục trong gói này từ nay đến hết tháng 6/2023. Chúng tôi đảm bảo đủ số lượng đề đã cam kết hoặc có thể nhiều hơn, tất cả có BẢN WORD, LỜI GIẢI CHI TIẾT và tải về dễ dàng.
Để tải tài liệu gốc về máy bạn click vào nút Tải Xuống ở trên!
Thuộc bộ (mua theo bộ để tiết kiệm hơn):
- Tailieugiaovien.com.vn giới thiệu bộ 100 đề thi giữa học kì 1 môn Toán lớp 8 mới nhất năm 2022 - 2023 nhằm giúp Giáo viên có thêm tài liệu tham khảo ra đề thi Toán lớp 10.
- File word có lời giải chi tiết 100%.
- Mua trọn bộ sẽ tiết kiệm hơn tải lẻ 50%.
Đánh giá
4.6 / 5(408 )5
4
3
2
1

Trọng Bình
Tài liệu hay
Giúp ích cho tôi rất nhiều

Duy Trần
Tài liệu chuẩn
Rất thích tài liệu bên VJ soạn (bám sát chương trình dạy)
TÀI LIỆU BỘ BÁN CHẠY MÔN Toán Học
Xem thêmTÀI LIỆU BỘ BÁN CHẠY Lớp 8
Xem thêmTài liệu bộ mới nhất

Đây là bản xem thử, vui lòng mua tài liệu để xem chi tiết (có lời giải)
Đề 39
I.Trắc nghiệm
Câu 1.Kết quả phép tính
4 3 2x x
là :
2 2
. 6 .4 6 .8 6 . 8 6A x B x C x D x x
Câu 2.Phân tích đa thức
2 2
9a b
thành nhân tử :
2
. 3 . 3 3 . 3 3 . 9 9A a b B a b a b C b a b a D a b a b
Câu 3.
3 3
m n
bằng
3
2 2
2 2 2 2
. .
. .
A m n B m n m mn n
C m n m mn n D m n m mn n
Câu 4.Đa thức
2 3
3 4x y xy
chia hết cho đơn thức nào dưới đây :
2 3 2 3
. . . .A x y B xy C x y D xy
Câu 5.Tứ giác có hai đường chéo bằng nhau và cắt nhau tại trung điểm mỗi đường
là :
A. Hình thang cân B. Hình bình hành C. Hình chữ nhật D. Hình thoi
Câu 6.Cho tam giác
ABC
có
MN
là đường trung bình
/ /MN AC
. Biết
4 ,MN cm
tính
?AC
.2 .4 .8 .16A cm B cm C cm D cm
Câu 7.Cho tam giác
ABC
vuông tại A có
AM
là trung tuyến, khi đó :
. . . .A AM AB B AM BC C AM AC D AM BM
Câu 8.Hình nào sau đây có trục đối xứng ?
A.Hình thang B. Hình thang vuông C. Hình bình hành D. Hình chữ nhật
II.Tự luận
Bài 1.Thực hiện các phép tính sau :
3 3 3 4 2
2 2
) 4 : 2 2
) 1 3 3 3 9
a x y x y xy xy x xy
b x x x x x
Bài 2.Phân tích các đa thức sau thành nhân tử :
4 2 2 2 2
)5 20 ) 14 49 ) 9 20a x x b x x y c x x
Bài 3.Tìm x, biết :
2
)2 3 2 12 ) 2 2 0a x x x b x x x
Bài 4.Cho tam giác
ABC
vuông ở A.
AM
là đường trung tuyến. Kẻ
MN AC
,N AC MP AB P AB
a) Chứng minh tứ giác
APMN
là hình chữ nhật
Mọi thắc mắc vui lòng xin liên hệ hotline: 084 283 45 85

Đây là bản xem thử, vui lòng mua tài liệu để xem chi tiết (có lời giải)
b) Gọi E là điểm đối xứng của
.M qua N
Chứng minh tứ giác
AECM
là hình
thoi
c) Gọi F là điểm đối xứng của M qua P. Chứng minh
A
là trung điểm của
EF
Bài 5. Xác định các hằng số
,a b
sao cho
4
x ax b
chia hết cho
2
1x
Lời giải
I.Trắc nghiệm
1D 2B 3C 4D 5C 6C 7D 8D
II.Tự luận
Bài 1.Thực hiện phép tính :
Bài 2.Phân tích thành nhân tử :
Bài 3.Tìm x, biết :
Bài 4.
Mọi thắc mắc vui lòng xin liên hệ hotline: 084 283 45 85

Đây là bản xem thử, vui lòng mua tài liệu để xem chi tiết (có lời giải)
F
E
N
P
M
A
B
C
a) vuông tại A
Có
Từ (1), (2) là hình chữ nhật
b) MN
Mà M là trung điểm là trung điểm AC. Lại có cũng là trung điểm
là hình bình hành tại N là hình thoi
c) Cmtt câu b là hình thoi
Có là hình thoi và
Từ là trung điểm
Bài 5. Ta thực hiện đặt chia theo cột dọc,
Được thương: dư:
Để là phép chia hết
Mọi thắc mắc vui lòng xin liên hệ hotline: 084 283 45 85