Đề 58
Câu 1: câu nào đúng câu nào sai.
a) x 5 2 x 5 2 b) 3 x 8 : 2
x 2x 4 x 2
c)Hình thang có hai cạnh bên bắng nhau là thang cân
d)Hình thang cân có một góc vuông là hình chữ nhật. Câu 2: Làm tính nhân 2 a x 3 x x b 2 2 ) 5 6
) x 2xy y . x y
Câu 3. Viết các đa thức sau dưới dạng bình phương của một tổng hay một hiệu 2 2 2
a) y 2 y 1 )
b 9x y 6xy 2 2 2 1
c)25a 4b 20ab
d)x x 4
Câu 4. Phân tích các đa thức sau thành nhân tử : 2 2 2 2 3 1
a)14x y 21xy 28x y b)27x 27 2 2
c)3x 3xy 5x 5y
d)x 7x 12 Câu 5. Tìm x biết :
a)x x 2 x 2 0
b)5x x 3 x 3 0
Câu 6. Cho hình vẽ, trong đó ABCD là hình bình hành A B O K H H1 D C
a) Chứng minh rằng AHCK là hình bình hành
b) Gọi O là trung điểm của HK.Chứng minh rằng ba điểm ,
A O,C thẳng hàng Lời giải Câu 1.a) S b)Đ c)S d)Đ
Câu 2. Làm tính nhân :
Câu 3.Viết đa thức dưới dạng :
Câu 4.Phân tích thành nhân tử : Câu 5.Tìm x, biết : Câu 6. A B O K H H1 D C
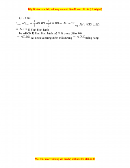
a) Ta có : và là hình bình hành
b) AHCK là hình bình hành mà O là trung điểm
cắt nhau tại trung điểm mỗi đường thẳng hàng.
Đề thi giữa kì 1 Toán 8 năm 2023 - Đề 58
385
193 lượt tải
MUA NGAY ĐỂ XEM TOÀN BỘ TÀI LIỆU
CÁCH MUA:
- B1: Gửi phí vào TK:
1053587071
- NGUYEN VAN DOAN - Ngân hàng Vietcombank (QR) - B2: Nhắn tin tới Zalo VietJack Official ( nhấn vào đây ) để xác nhận thanh toán và tải tài liệu - giáo án
Liên hệ ngay Hotline hỗ trợ: 084 283 45 85
Đề thi được cập nhật liên tục trong gói này từ nay đến hết tháng 6/2023. Chúng tôi đảm bảo đủ số lượng đề đã cam kết hoặc có thể nhiều hơn, tất cả có BẢN WORD, LỜI GIẢI CHI TIẾT và tải về dễ dàng.
Để tải tài liệu gốc về máy bạn click vào nút Tải Xuống ở trên!
Thuộc bộ (mua theo bộ để tiết kiệm hơn):
- Tailieugiaovien.com.vn giới thiệu bộ 100 đề thi giữa học kì 1 môn Toán lớp 8 mới nhất năm 2022 - 2023 nhằm giúp Giáo viên có thêm tài liệu tham khảo ra đề thi Toán lớp 10.
- File word có lời giải chi tiết 100%.
- Mua trọn bộ sẽ tiết kiệm hơn tải lẻ 50%.
Đánh giá
4.6 / 5(385 )5
4
3
2
1

Trọng Bình
Tài liệu hay
Giúp ích cho tôi rất nhiều

Duy Trần
Tài liệu chuẩn
Rất thích tài liệu bên VJ soạn (bám sát chương trình dạy)
TÀI LIỆU BỘ BÁN CHẠY MÔN Toán Học
Xem thêmTÀI LIỆU BỘ BÁN CHẠY Lớp 8
Xem thêmTài liệu bộ mới nhất

Đây là bản xem thử, vui lòng mua tài liệu để xem chi tiết (có lời giải)
Đề 58
Câu 1: câu nào đúng câu nào sai.
2 2
3 2
) 5 5
) 8 : 2 4 2
a x x
b x x x x
c)Hình thang có hai cạnh bên bắng nhau là thang cân
d)Hình thang cân có một góc vuông là hình chữ nhật.
Câu 2: Làm tính nhân
2 3 2 2
) 5 6 ) 2 .a x x x b x xy y x y
Câu 3. Viết các đa thức sau dưới dạng bình phương của một tổng hay một hiệu
2 2 2
2 2 2
) 2 1 )9 6
1
)25 4 20 )
4
a y y b x y xy
c a b ab d x x
Câu 4. Phân tích các đa thức sau thành nhân tử :
2 2 2 2 3
2 2
1
)14 21 28 )27
27
)3 3 5 5 ) 7 12
a x y xy x y b x
c x xy x y d x x
Câu 5. Tìm x biết :
) 2 2 0 )5 3 3 0a x x x b x x x
Câu 6. Cho hình vẽ, trong đó
ABCD
là hình bình hành
H1
O
H
K
B
A
D
C
a) Chứng minh rằng
AHCK
là hình bình hành
b) Gọi
O
là trung điểm của
.HK
Chứng minh rằng ba điểm
, ,A O C
thẳng hàng
Lời giải
Câu 1.a) S b)Đ c)S d)Đ
Mọi thắc mắc vui lòng xin liên hệ hotline: 084 283 45 85

Đây là bản xem thử, vui lòng mua tài liệu để xem chi tiết (có lời giải)
Câu 2. Làm tính nhân :
Câu 3.Viết đa thức dưới dạng :
Câu 4.Phân tích thành nhân tử :
Câu 5.Tìm x, biết :
Câu 6.
H1
O
H
K
B
A
D
C
Mọi thắc mắc vui lòng xin liên hệ hotline: 084 283 45 85

Đây là bản xem thử, vui lòng mua tài liệu để xem chi tiết (có lời giải)
a) Ta có :
và
là hình bình hành
b) AHCK là hình bình hành mà O là trung điểm
cắt nhau tại trung điểm mỗi đường thẳng hàng.
Mọi thắc mắc vui lòng xin liên hệ hotline: 084 283 45 85