Đề 59 Bài 1.Tính và rút gọn
a x x b x 2 ) 2 3 )
5 3x x 2
Bài 2.Phân tích đa thức thành nhân tử :
a)a x 2 4b x 2 2 2
b)x 9 y 2 2
c)x 9 9y 6x 2
Bài 3.Chứng minh : 2x 3 3 2 x x 2 0 Bài 4.Cho AB
C. Gọi D là trung điểm của AB,E là trung điểm của AC
a) Chứng minh tứ giác DECB là hình thang
b) Vẽ điểm F đối xứng với D qua E. Chứng minh tứ giác ACDF là hình bình hành
c) Kẻ đường cao AM của AB
C cắt DE tại H. Chứng minh Ađối xứng với M qua DE
d) Kẻ CI EF.Kéo dài CI cắt AF tại L, AM cắt DC tại J. Chứng minh
DF, JL, AC đồng quy Lời giải
Bài 1.Tính và rút gọn
a) x 2 3 x 2
x 5x 6
b) x 52 3x x 2 2 2 2
x 10x 25 3x 6x 4
x 4x 25
Bài 2.Phân tích thành nhân tử :
a)a x 2 4b x 2
x 2 a 4b 2 2
b)x 9y
x 3y x 3y 2 2
c)x 9 9 y 6x 2
x 6x 9 2 9 y
x 3 2 3y 2
x 3 3y x 3 3y Bài 3.
2x 3 2 3 2 x x 2 2 4
x 12x 9 3 2 x 4 2
x 12x 21 2
x 12x 16 5
x 4 2 5 0(voi moi x) Bài 4.
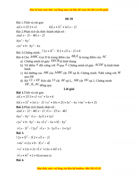
A L H E D I F J B M C
a) D, E lần lượt là trung điểm AB, AC DE là đường trung bình ABC
DE / / BC DECB là hình thang AE EC AFCD b) DE EF là hình bình hành
c) Vì DE / /BC cmt , AM BC DF AM 1 DH BM H
Và D : trung diem AB
là trung điểm của AM 2
Từ (1) và (2) Ađối xứng với M qua DE d) Xét J
HE LIE EJ EL Kết hợp EH EF
LFJH là hình bình hành
JL, HF cắt nhau tại trung điểm E mà E là trung điểm AC
JL, HF , AC đồng quy.
Đề thi giữa kì 1 Toán 8 năm 2023 - Đề 59
469
235 lượt tải
MUA NGAY ĐỂ XEM TOÀN BỘ TÀI LIỆU
CÁCH MUA:
- B1: Gửi phí vào TK:
1053587071
- NGUYEN VAN DOAN - Ngân hàng Vietcombank (QR) - B2: Nhắn tin tới Zalo VietJack Official ( nhấn vào đây ) để xác nhận thanh toán và tải tài liệu - giáo án
Liên hệ ngay Hotline hỗ trợ: 084 283 45 85
Đề thi được cập nhật liên tục trong gói này từ nay đến hết tháng 6/2023. Chúng tôi đảm bảo đủ số lượng đề đã cam kết hoặc có thể nhiều hơn, tất cả có BẢN WORD, LỜI GIẢI CHI TIẾT và tải về dễ dàng.
Để tải tài liệu gốc về máy bạn click vào nút Tải Xuống ở trên!
Thuộc bộ (mua theo bộ để tiết kiệm hơn):
- Tailieugiaovien.com.vn giới thiệu bộ 100 đề thi giữa học kì 1 môn Toán lớp 8 mới nhất năm 2022 - 2023 nhằm giúp Giáo viên có thêm tài liệu tham khảo ra đề thi Toán lớp 10.
- File word có lời giải chi tiết 100%.
- Mua trọn bộ sẽ tiết kiệm hơn tải lẻ 50%.
Đánh giá
4.6 / 5(469 )5
4
3
2
1

Trọng Bình
Tài liệu hay
Giúp ích cho tôi rất nhiều

Duy Trần
Tài liệu chuẩn
Rất thích tài liệu bên VJ soạn (bám sát chương trình dạy)
TÀI LIỆU BỘ BÁN CHẠY MÔN Toán Học
Xem thêmTÀI LIỆU BỘ BÁN CHẠY Lớp 8
Xem thêmTài liệu bộ mới nhất

Đây là bản xem thử, vui lòng mua tài liệu để xem chi tiết (có lời giải)
Đề 59
Bài 1.Tính và rút gọn
2
) 2 3 ) 5 3 2a x x b x x x
Bài 2.Phân tích đa thức thành nhân tử :
2 2
2 2
) 2 4 2
) 9
) 9 9 6
a a x b x
b x y
c x y x
Bài 3.Chứng minh :
2
2 3 3 2 2 0x x x
Bài 4.Cho
.ABC
Gọi D là trung điểm của
,AB E
là trung điểm của
AC
a) Chứng minh tứ giác
DECB
là hình thang
b) Vẽ điểm
F
đối xứng với
D
qua
.E
Chứng minh tứ giác
ACDF
là hình bình
hành
c) Kẻ đường cao
AM
của
ABC
cắt
DE
tại H. Chứng minh
A
đối xứng với
M
qua DE
d) Kẻ
.CI EF
Kéo dài
CI
cắt
AF
tại L,
AM
cắt
DC
tại J. Chứng minh
, ,DF JL AC
đồng quy
Lời giải
Bài 1.Tính và rút gọn
2
2
2 2 2
) 2 3 5 6
) 5 3 2 10 25 3 6 4 4 25
a x x x x
b x x x x x x x x x
Bài 2.Phân tích thành nhân tử :
2 2
2 2 2 2
2 2
) 2 4 2 2 4
) 9 3 3
) 9 9 6 6 9 9
3 3 3 3 3 3
a a x b x x a b
b x y x y x y
c x y x x x y
x y x y x y
Bài 3.
2
2 2
2 2
2
2 3 3 2 2
4 12 9 3 4
12 21 12 16 5
4 5 0( )
x x x
x x x
x x x x
x voi moi x
Bài 4.
Mọi thắc mắc vui lòng xin liên hệ hotline: 084 283 45 85

Đây là bản xem thử, vui lòng mua tài liệu để xem chi tiết (có lời giải)
J
L
I
H
M
F
E
D
A
B
C
a)
,D E
lần lượt là trung điểm
,AB AC DE
là đường trung bình
ABC
/ /DE BC DECB
là hình thang
b)
AE EC
AFCD
DE EF
là hình bình hành
c) Vì
/ / , 1DE BC cmt AM BC DF AM
Và
:
DH BM
H
D trung diem AB
là trung điểm của
2AM
Từ (1) và (2)
A
đối xứng với M qua
DE
d) Xét
JHE LIE EJ EL
Kết hợp
EH EF LFJH
là hình bình hành
,JL HF
cắt nhau tại trung điểm
E
mà E là trung điểm
AC
, ,JL HF AC
đồng quy.
Mọi thắc mắc vui lòng xin liên hệ hotline: 084 283 45 85