Đề 60
Bài 1.Thực hiện phép tính:
15 x x 5 2x 3 2x x 3
Bài 2. Tính độ dài đường trung bình của hình thang biết đáy lớn bằng 20c , m đáy 4 nhỏ bằng 5 đáy lớn
Bài 3.Phân tích đa thức thành nhân tử : 2 2 2 2
a)x xy x y
b)81 x 2xy y
c)x x 56 a 2 5 a P Bài 4. Cho biểu thức
a 3 a 3 a 2 2 a 2a
a) Tìm điều kiện xác định của biểu thức P
b) Rút gọn biểu thức P
c) Tính giá trị của P khi 2 8a 8 a
Bài 5. Cho hình bình hành ABCD có BC 2 AB, B AD 6
0 . Gọi E,F theo thứ tự
là trung điểm của BC, A .
D Vẽ I đối xứng với Aqua B
a) Chứng minh tứ giác ABEF là hình thoi
b) Chứng minh FI BC
c) Chứng minh 3 điểm D, E, I thẳng hàng
d) Tính diện tích tam giác AED, biết AB 2 cm 2
x 2x 2016 A
Bài 6. Tìm giá trị nhỏ nhất của biểu thức A biết : 2 x với x 0 Lời giải
Bài 1.Thực hiện phép tính Bài 2.Đáy nhỏ : Đường trung bình :
Bài 3.Phân tích thành nhân tử :
Bài 4. Bài 5. I C E B D F A a)
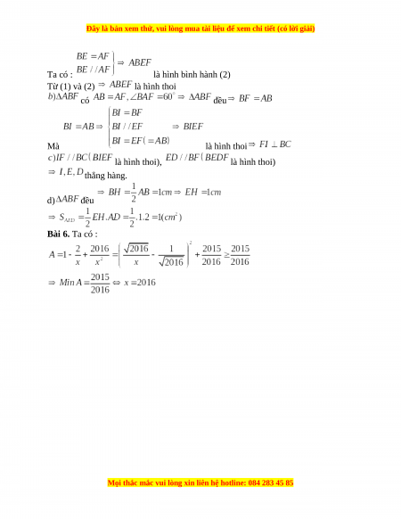
Ta có : là hình bình hành (2) Từ (1) và (2) là hình thoi có đều Mà là hình thoi là hình thoi), là hình thoi) thẳng hàng. d) đều Bài 6. Ta có :
Đề thi giữa kì 1 Toán 8 năm 2023 - Đề 60
481
241 lượt tải
MUA NGAY ĐỂ XEM TOÀN BỘ TÀI LIỆU
CÁCH MUA:
- B1: Gửi phí vào TK:
1053587071
- NGUYEN VAN DOAN - Ngân hàng Vietcombank (QR) - B2: Nhắn tin tới Zalo VietJack Official ( nhấn vào đây ) để xác nhận thanh toán và tải tài liệu - giáo án
Liên hệ ngay Hotline hỗ trợ: 084 283 45 85
Đề thi được cập nhật liên tục trong gói này từ nay đến hết tháng 6/2023. Chúng tôi đảm bảo đủ số lượng đề đã cam kết hoặc có thể nhiều hơn, tất cả có BẢN WORD, LỜI GIẢI CHI TIẾT và tải về dễ dàng.
Để tải tài liệu gốc về máy bạn click vào nút Tải Xuống ở trên!
Thuộc bộ (mua theo bộ để tiết kiệm hơn):
- Tailieugiaovien.com.vn giới thiệu bộ 100 đề thi giữa học kì 1 môn Toán lớp 8 mới nhất năm 2022 - 2023 nhằm giúp Giáo viên có thêm tài liệu tham khảo ra đề thi Toán lớp 10.
- File word có lời giải chi tiết 100%.
- Mua trọn bộ sẽ tiết kiệm hơn tải lẻ 50%.
Đánh giá
4.6 / 5(481 )5
4
3
2
1

Trọng Bình
Tài liệu hay
Giúp ích cho tôi rất nhiều

Duy Trần
Tài liệu chuẩn
Rất thích tài liệu bên VJ soạn (bám sát chương trình dạy)
TÀI LIỆU BỘ BÁN CHẠY MÔN Toán Học
Xem thêmTÀI LIỆU BỘ BÁN CHẠY Lớp 8
Xem thêmTài liệu bộ mới nhất

Đây là bản xem thử, vui lòng mua tài liệu để xem chi tiết (có lời giải)
Đề 60
Bài 1.Thực hiện phép tính:
15 5 2 3 2 3x x x x x
Bài 2. Tính độ dài đường trung bình của hình thang biết đáy lớn bằng
20 ,cm
đáy
nhỏ bằng
4
5
đáy lớn
Bài 3.Phân tích đa thức thành nhân tử :
2 2 2 2
) )81 2 ) 56a x xy x y b x xy y c x x
Bài 4. Cho biểu thức
2
2 5
3 3 2 2
a a
P
a a a a a
a) Tìm điều kiện xác định của biểu thức
P
b) Rút gọn biểu thức
P
c) Tính giá trị của P khi
2
8 8a a
Bài 5. Cho hình bình hành
ABCD
có
2 , 60 .BC AB BAD
Gọi
,E F
theo thứ tự
là trung điểm của
, .BC AD
Vẽ
I
đối xứng với
A
qua B
a) Chứng minh tứ giác
ABEF
là hình thoi
b) Chứng minh
FI BC
c) Chứng minh 3 điểm
, ,D E I
thẳng hàng
d) Tính diện tích tam giác
,AED
biết
2AB cm
Bài 6. Tìm giá trị nhỏ nhất của biểu thức
A
biết :
2
2
2 2016x x
A
x
với
0x
Lời giải
Bài 1.Thực hiện phép tính
Bài 2.Đáy nhỏ :
Đường trung bình :
Bài 3.Phân tích thành nhân tử :
Mọi thắc mắc vui lòng xin liên hệ hotline: 084 283 45 85

Đây là bản xem thử, vui lòng mua tài liệu để xem chi tiết (có lời giải)
Bài 4.
Bài 5.
I
E
C
D
F
B
A
a)
Mọi thắc mắc vui lòng xin liên hệ hotline: 084 283 45 85

Đây là bản xem thử, vui lòng mua tài liệu để xem chi tiết (có lời giải)
Ta có : là hình bình hành (2)
Từ (1) và (2) là hình thoi
có đều
Mà là hình thoi
là hình thoi), là hình thoi)
thẳng hàng.
d) đều
Bài 6. Ta có :
Mọi thắc mắc vui lòng xin liên hệ hotline: 084 283 45 85