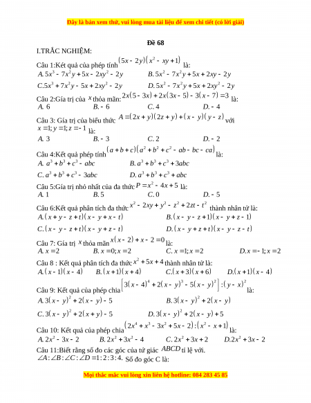
Đề 68 I.TRẮC NGHIỆM: 2
5x 2 y x xy 1
Câu 1:Két quả của phép tính là: 3 2 2 2 2 .
A 5x 7x y 5x 2xy 2y .
B 5x 7x y 5x 2xy 2y 3 2 2 2 2 2
C.5x 7x y 5x 2xy 2y .
D 5x 7x y 5x 2xy 2y
Câu 2:Gía trị của x thỏa mãn: 2x 5 3x 2x 3x 5 3 x 7 3 là: . A 6 . B 6 C. 4 . D 4
Câu 3: Gía trị của biểu thức A
2x y 2z y x y y z với x 1 ; y 1 ; z 1 là: . A 3 . B 3 C. 2 . D 2 2 2 2
a b c a b c ab bc ca
Câu 4:Kết quả phép tính là: 3 3 3 3 3 3 .
A a b c abc .
B a b c 3abc 3 3 3 3 3 3
C. a b c 3abc .
D a b c abc
Câu 5:Gía trị nhỏ nhất của đa thức 2
P x 4x 5 là: . A 1 . B 5 C. 0 . D 5 2 2 2 2
Câu 6:Kết quả phân tích đa thức x 2xy y z 2zt t thành nhân tử là: .
A x y z t x y x t .
B x y z
1 x y z 1
C. x y z t x y z t .
D x y z t x y z t
Câu 7: Gía trị x thỏa mãn x x 2 x 2 0 là: . A x 2 . B x 0 ; x 2 C. x 1 ; x 2 .
D x 1; x 2
Câu 8 : Kết quả phân tích đa thức 2
x 5x 4 thành nhân tử là: . A x 1 x 4 . B x 1 x 4
C. x 3 x 6 . D x 1 x 4 x 4 x y3 x y 2 y x 2 3 4 2 5 :
Câu 9: Kết quả của phép chia là: .
A 3 x y2 2 x y 5 .
B 3 x y2 2 x y
C. 3 x y2 2 x y 5 .
D 3 x y2 2 x y 5 4 3 2 2
2x x 3x 5x 2 : x x 1
Câu 10: Kết quả của phép chia là: 2 2 2 2 2 .
A 2x 3x 2 .
B 2x 3x 4
C. 2x 3x 2 .
D 2x 3x 2
Câu 11:Biết rằng số đo các góc của tứ giác ABCD tỉ lệ với. A : B : C : D 1
: 2 : 3: 4. Số đo góc C là:
. A 75 . B 85 C.108 . D 230
Câu 12: Cho hình thang ABCD AB / /CD , biết rằng A 3
D,B C 3 0 . Số đo góc B là: . A 75 . B 105 C. 45 . D 110
Câu 13:Cho hình 1,biết rằng AB / /CD / /EF / /GH.Số đo x, y trong hình 1 là: . A x 4 c , m y 8 cm . B x 7 c , m y 1 4cm C. x 8 c , m y 10 cm . D x 12 c , m y 20 cm Câu 14:Cho x
Oy có số đo 50, điểm A nằm trong góc đó.Vẽ điểm B đối xứng
với A quaOx, vẽ điểm C đối xứng với A qua Oy.Số đo BO C là: . A 75 . B 100 C.45 . D 110
Câu 15:Trong các khẳng định sau,khẳng định nào sai?
A. Hình thang có hai cạnh đáy bằng nhau là hình bình hành
B. Hình thang có hai cạnh bên song song là hình bình hành
C. Tứ giác có hai cạnh đối bằng nhau là hình bình hành
D. Cả A và B đúng.
Câu 16: Một hình thang có đáy lớn dài 6cm ,đáy nhỏ dài 4c .
m Độ dài đường trung
bình của hình thang đó là: . A 10cm B. 5cm C. 10cm . D 5cm II.TỰ LUẬN:
Câu 17:Thực hiện phép tính:
a x x x 2 b 3 2 ) 2 3 2 3 2 1
) 6x 7x x 2 : 2x 1
Câu 18:Phân tích các đa thức sau thành nhân tử: 2 2 2 2
a) x xy y y
b) x 4x y 4
c) x 2x 3
Câu 19:Cho hình bình hành ABC .
D Gọi I,K theo thứ tự là trung điểm của CD, A . B
Đường chéo BD cắt AI,CK theo thứ tự ở M và N.Chứng minh rằng:
a) AI / /CK B) DM M N NB
Câu 20: Cho a b c 0 . Chứng minh 3 3 3
a b c 3 ab . c Lời giải I.Trắc nghiệm 1A 2A 3B 4C 5A 6C 7D 8B 9A 10D 11C 12B 13./ 14B 15D 6B
Câu 17.Thực hiện phép tính
b)Học sinh đặt phép chia theo cột dọc. Được thương:
Câu 18. Phân tích thành nhân tử Câu 19. A K B N M D I C a) Ta có mà là hình bình hành) Tứ giác AKCI có là hình bình hành b) có là đường trung bình Do đó là trung điểm củ DN hay Tương tự với là đường trung bình Vậy Câu 20.
Đề thi giữa kì 1 Toán 8 năm 2023 - Đề 68
465
233 lượt tải
MUA NGAY ĐỂ XEM TOÀN BỘ TÀI LIỆU
CÁCH MUA:
- B1: Gửi phí vào TK:
1053587071
- NGUYEN VAN DOAN - Ngân hàng Vietcombank (QR) - B2: Nhắn tin tới Zalo VietJack Official ( nhấn vào đây ) để xác nhận thanh toán và tải tài liệu - giáo án
Liên hệ ngay Hotline hỗ trợ: 084 283 45 85
Đề thi được cập nhật liên tục trong gói này từ nay đến hết tháng 6/2023. Chúng tôi đảm bảo đủ số lượng đề đã cam kết hoặc có thể nhiều hơn, tất cả có BẢN WORD, LỜI GIẢI CHI TIẾT và tải về dễ dàng.
Để tải tài liệu gốc về máy bạn click vào nút Tải Xuống ở trên!
Thuộc bộ (mua theo bộ để tiết kiệm hơn):
- Tailieugiaovien.com.vn giới thiệu bộ 100 đề thi giữa học kì 1 môn Toán lớp 8 mới nhất năm 2022 - 2023 nhằm giúp Giáo viên có thêm tài liệu tham khảo ra đề thi Toán lớp 10.
- File word có lời giải chi tiết 100%.
- Mua trọn bộ sẽ tiết kiệm hơn tải lẻ 50%.
Đánh giá
4.6 / 5(465 )5
4
3
2
1

Trọng Bình
Tài liệu hay
Giúp ích cho tôi rất nhiều

Duy Trần
Tài liệu chuẩn
Rất thích tài liệu bên VJ soạn (bám sát chương trình dạy)
TÀI LIỆU BỘ BÁN CHẠY MÔN Toán Học
Xem thêmTÀI LIỆU BỘ BÁN CHẠY Lớp 8
Xem thêmTài liệu bộ mới nhất

Đây là bản xem thử, vui lòng mua tài liệu để xem chi tiết (có lời giải)
Đề 68
I.TRẮC NGHIỆM:
Câu 1:Két quả của phép tính
2
5 2 1x y x xy
là:
3 2 2 2 2
3 2 2 2 2 2
. 5 7 5 2 2 . 5 7 5 2 2
.5 7 5 2 2 . 5 7 5 2 2
A x x y x xy y B x x y x xy y
C x x y x xy y D x x y x xy y
Câu 2:Gía trị của
x
thỏa mãn:
2 5 3 2 3 5 3 7 3x x x x x
là:
. 6 . 6 . 4 . 4A B C D
Câu 3: Gía trị của biểu thức
2 2A x y z y x y y z
với
1; 1; 1x y z
là:
. 3 . 3 . 2 . 2A B C D
Câu 4:Kết quả phép tính
2 2 2
a b c a b c ab bc ca
là:
3 3 3 3 3 3
3 3 3 3 3 3
. . 3
. 3 .
A a b c abc B a b c abc
C a b c abc D a b c abc
Câu 5:Gía trị nhỏ nhất của đa thức
2
4 5P x x
là:
. 1 . 5 . 0 . 5A B C D
Câu 6:Kết quả phân tích đa thức
2 2 2 2
2 2x xy y z zt t
thành nhân tử là:
. . 1 1
. .
A x y z t x y x t B x y z x y z
C x y z t x y z t D x y z t x y z t
Câu 7: Gía trị
x
thỏa mãn
2 2 0x x x
là:
. 2 . 0; 2 . 1; 2 . 1; 2A x B x x C x x D x x
Câu 8 : Kết quả phân tích đa thức
2
5 4x x
thành nhân tử là:
. 1 4 . 1 4 . 3 6 . 1 4A x x B x x C x x D x x
Câu 9: Kết quả của phép chia
4 3 2 2
3 4 2 5 :x x y x y y x
là:
2 2
2 2
. 3 2 5 . 3 2
. 3 2 5 . 3 2 5
A x y x y B x y x y
C x y x y D x y x y
Câu 10: Kết quả của phép chia
4 3 2 2
2 3 5 2 : 1x x x x x x
là:
2 2 2 2 2
. 2 3 2 . 2 3 4 . 2 3 2 .2 3 2A x x B x x C x x D x x
Câu 11:Biết rằng số đo các góc của tứ giác
ABCD
tỉ lệ với.
: : : 1: 2:3: 4.A B C D
Số đo góc C là:
Mọi thắc mắc vui lòng xin liên hệ hotline: 084 283 45 85

Đây là bản xem thử, vui lòng mua tài liệu để xem chi tiết (có lời giải)
. 75 . 85 .108 . 230A B C D
Câu 12: Cho hình thang
/ / ,ABCD AB CD
biết rằng
3 , 30 .A D B C
Số
đo góc
B
là:
. 75 .105 . 45 .110A B C D
Câu 13:Cho hình 1,biết rằng
/ / / / / / .AB CD EF GH
Số đo
,x y
trong hình 1 là:
. 4 , 8
. 7 , 14
. 8 , 10
. 12 , 20
A x cm y cm
B x cm y cm
C x cm y cm
D x cm y cm
Câu 14:Cho
xOy
có số đo
50 ,
điểm
A
nằm trong góc đó.Vẽ điểm
B
đối xứng
với
A
qua
,Ox
vẽ điểm
C
đối xứng với
A
qua
.Oy
Số đo
BOC
là:
. 75 .100 .45 .110A B C D
Câu 15:Trong các khẳng định sau,khẳng định nào sai?
A. Hình thang có hai cạnh đáy bằng nhau là hình bình hành
B. Hình thang có hai cạnh bên song song là hình bình hành
C. Tứ giác có hai cạnh đối bằng nhau là hình bình hành
D. Cả
A
và
B
đúng.
Câu 16: Một hình thang có đáy lớn dài
6cm
,đáy nhỏ dài
4 .cm
Độ dài đường trung
bình của hình thang đó là:
.10 . 5 . 10 . 5A cm B cm C cm D cm
II.TỰ LUẬN:
Câu 17:Thực hiện phép tính:
2
3 2
) 2 3 2 3 2 1 ) 6 7 2 : 2 1a x x x b x x x x
Câu 18:Phân tích các đa thức sau thành nhân tử:
2 2 2 2
) ) 4 4 ) 2 3a x xy y y b x x y c x x
Câu 19:Cho hình bình hành
.ABCD
Gọi
,I K
theo thứ tự là trung điểm của
, .CD AB
Đường chéo
BD
cắt
,AI CK
theo thứ tự ở
M
và
.N
Chứng minh rằng:
) / / )a AI CK B DM MN NB
Câu 20: Cho
0.a b c
Chứng minh
3 3 3
3 .a b c abc
Lời giải
I.Trắc nghiệm
1A 2A 3B 4C 5A 6C 7D 8B 9A 10D 11C
12B 13./ 14B 15D 6B
Câu 17.Thực hiện phép tính
Mọi thắc mắc vui lòng xin liên hệ hotline: 084 283 45 85

Đây là bản xem thử, vui lòng mua tài liệu để xem chi tiết (có lời giải)
b)Học sinh đặt phép chia theo cột dọc. Được thương:
Câu 18. Phân tích thành nhân tử
Câu 19.
N
M
I
K
C
A
D
B
a) Ta có mà là hình bình hành)
Tứ giác AKCI có là hình bình hành
b) có là đường trung bình
Do đó là trung điểm củ DN hay
Tương tự với là đường trung bình
Vậy
Câu 20.
Mọi thắc mắc vui lòng xin liên hệ hotline: 084 283 45 85

Đây là bản xem thử, vui lòng mua tài liệu để xem chi tiết (có lời giải)
Mọi thắc mắc vui lòng xin liên hệ hotline: 084 283 45 85

Đây là bản xem thử, vui lòng mua tài liệu để xem chi tiết (có lời giải)
Mọi thắc mắc vui lòng xin liên hệ hotline: 084 283 45 85