Đề 74 Bài 1.
a) Viết bảy hằng đẳng thức đáng nhớ b) Tính nhanh : 2 2 87 26.87 13
Bài 2.Rút gọn biểu thức : x 3 x 7 x 5 x 1
Bài 3.Phân tích các đa thức sau thành nhân tử : 2 2 3 2 2
a)x y 5x 5y
b)x x 4x 8x 4 Bài 4.Làm tính nhân : 2 a)3x 2
5x 4x 3 b) 5xy 2 2
3x y 5xy y c) 2
5x 4x x 3
d ) x 3y 2 2
3x y 5xy
Bài 5. Rút gọn các biểu thức sau :
a) x 3 x 7 x 5 x 1 2
b)x x 4 x 4 2 x 1 2 x 1
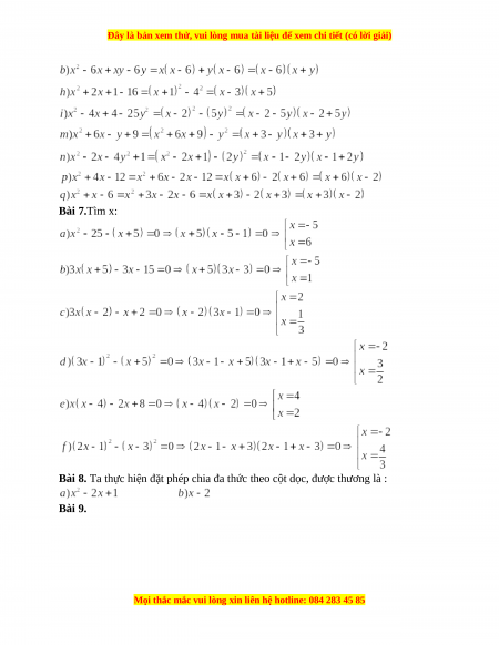
Bài 6.Phân tích các đa thức sau thành nhân tử : 3 2 2 3 2 2 2 2 2
a)12x y 24x y 12xy
g)x 2xy x 4 y
n)x 2x 4 y 1 2 2 2 2
b)x 6x xy 6 y
h)x 2x 1 16
o)x 2x 4 y 1 2 2 2 2
c)2x 2xy x y
i)x 4x 4 25y
p)x 4x 12 3 2 2 2 2
e)x 3x 3x 1
m)x 6x y 9
q)x x 6 Bài 7.Tìm x biết : 2
a)x 25 x 5 0
d)3x x 5 3x 15 0
b)3x x 2 x 2 0
e) 3x 2 1 x 52 0
c)x x 4 2x 8 0
f ) 2x 2 1 x 32 0
Bài 8.Thực hiện phép chia : a) 4 3
x 2x 2x 1 : 2 x 1 b) 3 2
x 3x 3x 2 : 2 x x 1
Bài 9. Cho tam giác ABC vuông tại A có AB 6 cm, AC 8 c . m Tính BC theo
Pytago và tìm đường trung bình EF của tam giác ABC.Biết E, F lần lượt là trung
điểm của AB, AC Lời giải Bài 1.
a) 7 hẳng đẳng thức đáng nhớ
Bài 2.Rút gọn
Bài 3.Phân tích đa thức thành nhân tử :
Bài 4.Làm tính nhân
Bài 5.Rút gọn biểu thức sau :
Bài 6.Phân tích các đa thức thành nhân tử
Bài 7.Tìm x:
Bài 8. Ta thực hiện đặt phép chia đa thức theo cột dọc, được thương là : Bài 9.
A F E C B Áp dụng định lý Pytago Vì
lần lượt là trung điểm trong là đường trung bình
Đề thi giữa kì 1 Toán 8 năm 2023 - Đề 74
487
244 lượt tải
MUA NGAY ĐỂ XEM TOÀN BỘ TÀI LIỆU
CÁCH MUA:
- B1: Gửi phí vào TK:
1053587071
- NGUYEN VAN DOAN - Ngân hàng Vietcombank (QR) - B2: Nhắn tin tới Zalo VietJack Official ( nhấn vào đây ) để xác nhận thanh toán và tải tài liệu - giáo án
Liên hệ ngay Hotline hỗ trợ: 084 283 45 85
Đề thi được cập nhật liên tục trong gói này từ nay đến hết tháng 6/2023. Chúng tôi đảm bảo đủ số lượng đề đã cam kết hoặc có thể nhiều hơn, tất cả có BẢN WORD, LỜI GIẢI CHI TIẾT và tải về dễ dàng.
Để tải tài liệu gốc về máy bạn click vào nút Tải Xuống ở trên!
Thuộc bộ (mua theo bộ để tiết kiệm hơn):
- Tailieugiaovien.com.vn giới thiệu bộ 100 đề thi giữa học kì 1 môn Toán lớp 8 mới nhất năm 2022 - 2023 nhằm giúp Giáo viên có thêm tài liệu tham khảo ra đề thi Toán lớp 10.
- File word có lời giải chi tiết 100%.
- Mua trọn bộ sẽ tiết kiệm hơn tải lẻ 50%.
Đánh giá
4.6 / 5(487 )5
4
3
2
1

Trọng Bình
Tài liệu hay
Giúp ích cho tôi rất nhiều

Duy Trần
Tài liệu chuẩn
Rất thích tài liệu bên VJ soạn (bám sát chương trình dạy)
TÀI LIỆU BỘ BÁN CHẠY MÔN Toán Học
Xem thêmTÀI LIỆU BỘ BÁN CHẠY Lớp 8
Xem thêmTài liệu bộ mới nhất

Đây là bản xem thử, vui lòng mua tài liệu để xem chi tiết (có lời giải)
Đề 74
Bài 1.
a) Viết bảy hằng đẳng thức đáng nhớ
b) Tính nhanh :
2 2
87 26.87 13
Bài 2.Rút gọn biểu thức :
3 7 5 1x x x x
Bài 3.Phân tích các đa thức sau thành nhân tử :
2 2 3 2 2
) 5 5 ) 4 8 4a x y x y b x x x x
Bài 4.Làm tính nhân :
2 2 2 2
2 2 2
)3 5 4 3 ) 5 3 5
) 5 4 3 ) 3 3 5
a x x x b xy x y xy y
c x x x d x y x y xy
Bài 5. Rút gọn các biểu thức sau :
2 2 2
) 3 7 5 1
) 4 4 1 1
a x x x x
b x x x x x
Bài 6.Phân tích các đa thức sau thành nhân tử :
3 2 2 3 2 2 2 2 2
2 2 2 2
2 2 2 2
3 2 2 2 2
)12 24 12 ) 2 4 ) 2 4 1
) 6 6 ) 2 1 16 ) 2 4 1
)2 2 ) 4 4 25 ) 4 12
) 3 3 1 ) 6 9 ) 6
a x y x y xy g x xy x y n x x y
b x x xy y h x x o x x y
c x xy x y i x x y p x x
e x x x m x x y q x x
Bài 7.Tìm x biết :
2
2 2
2 2
) 25 5 0 )3 5 3 15 0
)3 2 2 0 ) 3 1 5 0
) 4 2 8 0 ) 2 1 3 0
a x x d x x x
b x x x e x x
c x x x f x x
Bài 8.Thực hiện phép chia :
4 3 2
3 2 2
) 2 2 1 : 1
) 3 3 2 : 1
a x x x x
b x x x x x
Bài 9. Cho tam giác
ABC
vuông tại A có
6 , 8 .AB cm AC cm
Tính BC theo
Pytago và tìm đường trung bình
EF
của tam giác
.ABC
Biết
,E F
lần lượt là trung
điểm của
,AB AC
Lời giải
Bài 1.
a) 7 hẳng đẳng thức đáng nhớ
Mọi thắc mắc vui lòng xin liên hệ hotline: 084 283 45 85

Đây là bản xem thử, vui lòng mua tài liệu để xem chi tiết (có lời giải)
Bài 2.Rút gọn
Bài 3.Phân tích đa thức thành nhân tử :
Bài 4.Làm tính nhân
Bài 5.Rút gọn biểu thức sau :
Bài 6.Phân tích các đa thức thành nhân tử
Mọi thắc mắc vui lòng xin liên hệ hotline: 084 283 45 85

Đây là bản xem thử, vui lòng mua tài liệu để xem chi tiết (có lời giải)
Bài 7.Tìm x:
Bài 8. Ta thực hiện đặt phép chia đa thức theo cột dọc, được thương là :
Bài 9.
Mọi thắc mắc vui lòng xin liên hệ hotline: 084 283 45 85

Đây là bản xem thử, vui lòng mua tài liệu để xem chi tiết (có lời giải)
E
F
A
B
C
Áp dụng định lý Pytago
Vì lần lượt là trung điểm trong là đường trung bình
Mọi thắc mắc vui lòng xin liên hệ hotline: 084 283 45 85

Đây là bản xem thử, vui lòng mua tài liệu để xem chi tiết (có lời giải)
Mọi thắc mắc vui lòng xin liên hệ hotline: 084 283 45 85