Đề 75
Bài 1.Phát biểu quy tắc nhân đơn thức với đa thức, đa thức với đa thức 2 a) xy 2 2
3x y 3yx y b) 2x 1 3 2
6x 7x x 2 Áp dụng tính : 3
Bài 2.Phân tích đa thức thành nhân tử :
a)3x 3yx 5x 5y
e)12x y 18xy 30 y
k)25x 9 x y2 2 2 2 3 2
b)6x 2x y 3y y 2x 2 2 2
f )5x 5xy 10x 10 y l)x y 2xy 25 2
c)xa xb ya yb
g)3x 3y 4x 4y
m)x 2x 15 2 2 2 2
d)x a x b y a y b h)7x x y y x 2
n)x x 2 2
o)3x 11x 6 Bài 3. Tìm x, biết :
a)x x 3 12 4x 0
c) 2x 2 2 1 25 0
c)x 2x 7 3 7 2x 0
d) 3x 52 2x 32 0
Bài 4.Chứng tỏ các biểu thức sau không phụ thuộc vào giá trị của biến :
a) x 5 2x 3 2x x 3 x 7 2 b)2x 2
x 3x 6x 5 3x 2 2x 2 4 2 2x
Bài 5.Nêu dấu hiệu nhận biết hình bình hành
Bài 6. Cho tứ giác ABC .
D Gọi M , N,P,Q theo thứ tự là trung điểm của
AB, AC,CD, D .
B Chứng minh rằng tứ giác MNPQ là hình bình hành
Bài 7. Tính giá trị biểu thức sau bằng cách hợp lý : 2 2 102 2 Lời giải Bài 1.
1) Muốn nhân đơn thức với đa thức ta nhân đơn thức với từng hạng tử của đa
thức rồi cộng các kết quả lại với nhau
Muốn nhân đa thức với đa thức ta nhân từng hạng tử cho từng hạng tử rồi
cộng các kết quả lại với nhau Áp dụng tính :
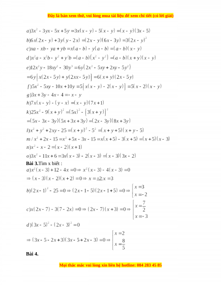
Bài 2.Phân tích thành nhân tử :
Bài 3.Tìm x biết : Bài 4.
(không phụ thuộc vào biến)
(không phụ thuộc vào biến)
Bài 5.Dấu hiệu nhận biết hình bình hành
- Tứ giác có hai cặp cạnh đối song song
- Tứ giác có hai cặp cạnh đối bằng nhau
- Tứ giác có hai cặp góc đối bằng nhau
- Tứ giác có 1 cặp cạnh đối vừa bằng nhau, vừa song song
- Tứ giác có hai đường chéo cắt nhau tại trung điểm mỗi đường Bài 6. A M B N Q D P C Xét và có là trung điểm là trung điểm là đường trung bình là hình bình hành Bài 7.
Đề thi giữa kì 1 Toán 8 năm 2023 - Đề 75
400
200 lượt tải
MUA NGAY ĐỂ XEM TOÀN BỘ TÀI LIỆU
CÁCH MUA:
- B1: Gửi phí vào TK:
1053587071
- NGUYEN VAN DOAN - Ngân hàng Vietcombank (QR) - B2: Nhắn tin tới Zalo VietJack Official ( nhấn vào đây ) để xác nhận thanh toán và tải tài liệu - giáo án
Liên hệ ngay Hotline hỗ trợ: 084 283 45 85
Đề thi được cập nhật liên tục trong gói này từ nay đến hết tháng 6/2023. Chúng tôi đảm bảo đủ số lượng đề đã cam kết hoặc có thể nhiều hơn, tất cả có BẢN WORD, LỜI GIẢI CHI TIẾT và tải về dễ dàng.
Để tải tài liệu gốc về máy bạn click vào nút Tải Xuống ở trên!
Thuộc bộ (mua theo bộ để tiết kiệm hơn):
- Tailieugiaovien.com.vn giới thiệu bộ 100 đề thi giữa học kì 1 môn Toán lớp 8 mới nhất năm 2022 - 2023 nhằm giúp Giáo viên có thêm tài liệu tham khảo ra đề thi Toán lớp 10.
- File word có lời giải chi tiết 100%.
- Mua trọn bộ sẽ tiết kiệm hơn tải lẻ 50%.
Đánh giá
4.6 / 5(400 )5
4
3
2
1

Trọng Bình
Tài liệu hay
Giúp ích cho tôi rất nhiều

Duy Trần
Tài liệu chuẩn
Rất thích tài liệu bên VJ soạn (bám sát chương trình dạy)
TÀI LIỆU BỘ BÁN CHẠY MÔN Toán Học
Xem thêmTÀI LIỆU BỘ BÁN CHẠY Lớp 8
Xem thêmTài liệu bộ mới nhất

Đây là bản xem thử, vui lòng mua tài liệu để xem chi tiết (có lời giải)
Đề 75
Bài 1.Phát biểu quy tắc nhân đơn thức với đa thức, đa thức với đa thức
Áp dụng tính :
2 2 3 2
2
) 3 3 ) 2 1 6 7 2
3
a xy x y yx y b x x x x
Bài 2.Phân tích đa thức thành nhân tử :
2
2 2 2 3 2
2 2 2
2
2 2 2 2 2
2
)3 3 5 5 )12 18 30 )25 9
)6 2 3 2 )5 5 10 10 ) 2 25
) )3 3 4 4 ) 2 15
) )7 ) 2
)3 11 6
a x yx x y e x y xy y k x x y
b x x y y y x f x xy x y l x y xy
c xa xb ya yb g x y x y m x x
d x a x b y a y b h x x y y x n x x
o x x
Bài 3. Tìm x, biết :
2
2
2 2
) 3 12 4 0 ) 2 1 25 0
) 2 7 3 7 2 0 ) 3 5 2 3 0
a x x x c x
c x x x d x x
Bài 4.Chứng tỏ các biểu thức sau không phụ thuộc vào giá trị của biến :
2 2 2 4
) 5 2 3 2 3 7
)2 3 6 5 3 2 2 2 2
a x x x x x
b x x x x x x x
Bài 5.Nêu dấu hiệu nhận biết hình bình hành
Bài 6. Cho tứ giác
.ABCD
Gọi
, , ,M N P Q
theo thứ tự là trung điểm của
, , , .AB AC CD DB
Chứng minh rằng tứ giác
MNPQ
là hình bình hành
Bài 7. Tính giá trị biểu thức sau bằng cách hợp lý :
2 2
102 2
Lời giải
Bài 1.
1) Muốn nhân đơn thức với đa thức ta nhân đơn thức với từng hạng tử của đa
thức rồi cộng các kết quả lại với nhau
Muốn nhân đa thức với đa thức ta nhân từng hạng tử cho từng hạng tử rồi
cộng các kết quả lại với nhau
Áp dụng tính :
Bài 2.Phân tích thành nhân tử :
Mọi thắc mắc vui lòng xin liên hệ hotline: 084 283 45 85

Đây là bản xem thử, vui lòng mua tài liệu để xem chi tiết (có lời giải)
Bài 3.Tìm x biết :
Bài 4.
Mọi thắc mắc vui lòng xin liên hệ hotline: 084 283 45 85

Đây là bản xem thử, vui lòng mua tài liệu để xem chi tiết (có lời giải)
(không phụ thuộc vào biến)
(không phụ thuộc vào biến)
Bài 5.Dấu hiệu nhận biết hình bình hành
- Tứ giác có hai cặp cạnh đối song song
- Tứ giác có hai cặp cạnh đối bằng nhau
- Tứ giác có hai cặp góc đối bằng nhau
- Tứ giác có 1 cặp cạnh đối vừa bằng nhau, vừa song song
- Tứ giác có hai đường chéo cắt nhau tại trung điểm mỗi đường
Bài 6.
P
M
Q
N
A
B
C
D
Xét và có là trung điểm là trung điểm
là đường trung bình
là hình bình hành
Bài 7.
Mọi thắc mắc vui lòng xin liên hệ hotline: 084 283 45 85