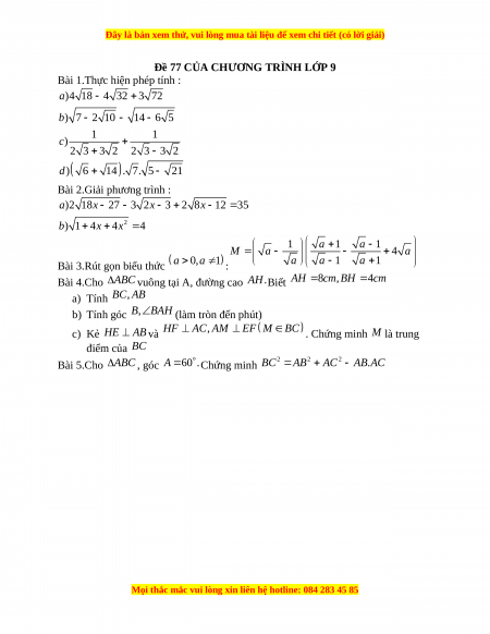
Đề 77 CỦA CHƯƠNG TRÌNH LỚP 9
Bài 1.Thực hiện phép tính :
a)4 18 4 32 3 72
b) 7 2 10 14 6 5 1 1 c) 2 3 3 2 2 3 3 2
d) 6 14. 7. 5 21
Bài 2.Giải phương trình :
a)2 18x 27 3 2x 3 2 8x 12 3 5 2
b) 1 4x 4x 4 1 a 1 a 1 M a 4 a
Bài 3.Rút gọn biểu thức a 0,a 1 : a a 1 a 1 Bài 4.Cho AB
C vuông tại A, đường cao AH.Biết AH 8 cm, BH 4 cm a) Tính BC, AB
b) Tính góc B, B
AH (làm tròn đến phút)
c) Kẻ HE AB và HF AC, AM EF M BC . Chứng minh M là trung điểm của BC Bài 5.Cho AB C , góc A 6 0 . Chứng minh 2 2 2
BC AB AC . AB AC
Đề thi giữa kì 1 Toán 8 năm 2023 - Đề 77
527
264 lượt tải
MUA NGAY ĐỂ XEM TOÀN BỘ TÀI LIỆU
CÁCH MUA:
- B1: Gửi phí vào TK:
1053587071
- NGUYEN VAN DOAN - Ngân hàng Vietcombank (QR) - B2: Nhắn tin tới Zalo VietJack Official ( nhấn vào đây ) để xác nhận thanh toán và tải tài liệu - giáo án
Liên hệ ngay Hotline hỗ trợ: 084 283 45 85
Đề thi được cập nhật liên tục trong gói này từ nay đến hết tháng 6/2023. Chúng tôi đảm bảo đủ số lượng đề đã cam kết hoặc có thể nhiều hơn, tất cả có BẢN WORD, LỜI GIẢI CHI TIẾT và tải về dễ dàng.
Để tải tài liệu gốc về máy bạn click vào nút Tải Xuống ở trên!
Thuộc bộ (mua theo bộ để tiết kiệm hơn):
- Tailieugiaovien.com.vn giới thiệu bộ 100 đề thi giữa học kì 1 môn Toán lớp 8 mới nhất năm 2022 - 2023 nhằm giúp Giáo viên có thêm tài liệu tham khảo ra đề thi Toán lớp 10.
- File word có lời giải chi tiết 100%.
- Mua trọn bộ sẽ tiết kiệm hơn tải lẻ 50%.
Đánh giá
4.6 / 5(527 )5
4
3
2
1

Trọng Bình
Tài liệu hay
Giúp ích cho tôi rất nhiều

Duy Trần
Tài liệu chuẩn
Rất thích tài liệu bên VJ soạn (bám sát chương trình dạy)
TÀI LIỆU BỘ BÁN CHẠY MÔN Toán Học
Xem thêmTÀI LIỆU BỘ BÁN CHẠY Lớp 8
Xem thêmTài liệu bộ mới nhất

Đây là bản xem thử, vui lòng mua tài liệu để xem chi tiết (có lời giải)
Đề 77 CỦA CHƯƠNG TRÌNH LỚP 9
Bài 1.Thực hiện phép tính :
)4 18 4 32 3 72
) 7 2 10 14 6 5
1 1
)
2 3 3 2 2 3 3 2
) 6 14 . 7. 5 21
a
b
c
d
Bài 2.Giải phương trình :
2
)2 18 27 3 2 3 2 8 12 35
) 1 4 4 4
a x x x
b x x
Bài 3.Rút gọn biểu thức
0, 1a a
:
1 1 1
4
1 1
a a
M a a
a a a
Bài 4.Cho
ABC
vuông tại A, đường cao
.AH
Biết
8 , 4AH cm BH cm
a) Tính
,BC AB
b) Tính góc
,B BAH
(làm tròn đến phút)
c) Kẻ
HE AB
và
,HF AC AM EF M BC
. Chứng minh
M
là trung
điểm của
BC
Bài 5.Cho
ABC
, góc
60 .A
Chứng minh
2 2 2
.BC AB AC AB AC
Mọi thắc mắc vui lòng xin liên hệ hotline: 084 283 45 85