Đề 08 Bài 1: Tính:
Bài 2: Phân tích đa thức thành nhân tử: Tìm biết:
Bài 4: Chứng minh rằng biểu thức sau không phụ thuộc vào biến Bài 5: Làm phép chia Bài 6: Cho hình bình hành có
theo thứ tự là trung điểm của Tứ giác là hình gì? Vì sao? Lời giải Bài 1.Tính :
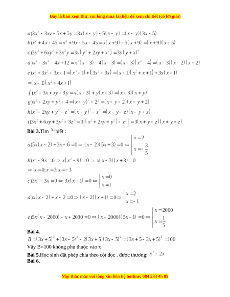
Bài 2.Phân tích các đa thức thành nhân tử
Bài 3.Tìm biết : Bài 4.
Vậy B=100 không phụ thuộc vào x
Bài 5.Học sinh đặt phép chia theo cột dọc . được thương: Bài 6.
A E B D F C Ta có là trung điểm của mà là hình bình hành
Đề thi giữa kì 1 Toán 8 năm 2023 - Đề 8
626
313 lượt tải
MUA NGAY ĐỂ XEM TOÀN BỘ TÀI LIỆU
CÁCH MUA:
- B1: Gửi phí vào TK:
1053587071
- NGUYEN VAN DOAN - Ngân hàng Vietcombank (QR) - B2: Nhắn tin tới Zalo VietJack Official ( nhấn vào đây ) để xác nhận thanh toán và tải tài liệu - giáo án
Liên hệ ngay Hotline hỗ trợ: 084 283 45 85
Đề thi được cập nhật liên tục trong gói này từ nay đến hết tháng 6/2023. Chúng tôi đảm bảo đủ số lượng đề đã cam kết hoặc có thể nhiều hơn, tất cả có BẢN WORD, LỜI GIẢI CHI TIẾT và tải về dễ dàng.
Để tải tài liệu gốc về máy bạn click vào nút Tải Xuống ở trên!
Thuộc bộ (mua theo bộ để tiết kiệm hơn):
- Tailieugiaovien.com.vn giới thiệu bộ 100 đề thi giữa học kì 1 môn Toán lớp 8 mới nhất năm 2022 - 2023 nhằm giúp Giáo viên có thêm tài liệu tham khảo ra đề thi Toán lớp 10.
- File word có lời giải chi tiết 100%.
- Mua trọn bộ sẽ tiết kiệm hơn tải lẻ 50%.
Đánh giá
4.6 / 5(626 )5
4
3
2
1

Trọng Bình
Tài liệu hay
Giúp ích cho tôi rất nhiều

Duy Trần
Tài liệu chuẩn
Rất thích tài liệu bên VJ soạn (bám sát chương trình dạy)
TÀI LIỆU BỘ BÁN CHẠY MÔN Toán Học
Xem thêmTÀI LIỆU BỘ BÁN CHẠY Lớp 8
Xem thêmTài liệu bộ mới nhất

Đây là bản xem thử, vui lòng mua tài liệu để xem chi tiết (có lời giải)
Đề 08
Bài 1: Tính:
Bài 2: Phân tích đa thức thành nhân tử:
Tìm biết:
Bài 4: Chứng minh rằng biểu thức sau không phụ thuộc vào biến
Bài 5: Làm phép chia
Bài 6: Cho hình bình hành có theo thứ tự là trung điểm của Tứ
giác là hình gì? Vì sao?
Lời giải
Bài 1.Tính :
Bài 2.Phân tích các đa thức thành nhân tử
Mọi thắc mắc vui lòng xin liên hệ hotline: 084 283 45 85

Đây là bản xem thử, vui lòng mua tài liệu để xem chi tiết (có lời giải)
Bài 3.Tìm biết :
Bài 4.
Vậy B=100 không phụ thuộc vào x
Bài 5.Học sinh đặt phép chia theo cột dọc . được thương:
Bài 6.
Mọi thắc mắc vui lòng xin liên hệ hotline: 084 283 45 85

Đây là bản xem thử, vui lòng mua tài liệu để xem chi tiết (có lời giải)
F
E
D
A
B
C
Ta có là trung điểm của mà
là hình bình hành
Mọi thắc mắc vui lòng xin liên hệ hotline: 084 283 45 85