Đề 80
Bài 1.Thực hiện phép tính :
a x x x
b x 2 2 2 )3 2 5 4 )
1 x 2 x 3 4x
Bài 2.Phân tích đa thức thành nhân tử : 2
a)7x 14xy
b)3 x 4 2 x 4x 2 2 2 2
c)x 2xy y z
d )x 2x 15 Bài 3.Tìm x: 2
a)7x 2x 0
b)x x 4 2 x 6x 1 0
c)x x 1 2x 2 0
d ) 3x 2
1 x 5 2 0
Bài 4.Cho tam giác ABC có 3 góc nhọn và AB AC.Các đường cao BE,CF cắt
nhau tại H. Gọi M là trung điểm của BC.Trên tia đối của MH lấy điểm K sao cho HM M K
a) Chứng minh : Tứ giác BHCK là hình bình hành
b) Chứng minh BK AB và CK AC
c) Gọi I là điểm đối xứng với H qua BC.Chứng minh tứ giác BIKC là hình thang cân
d) BK cắt HI tại G. Tam giác ABC phải có thêm điều kiện gì để tứ giác
GHCK là hình thang cân 3 3 3
Bài 5. Chứng minh rằng A n n 1 n 2 9
với mọi n* Lời giải
Bài 1.Thực hiện phép tính :
Bài 2.Phân tích thành nhân tử : Bài 3.Tìm x:
Bài 4. A E F H M B C G I K a) Ta có: là hình bình hành b) là hình bình hành
Mà c) mà và cân tại B và là trung điểm là đường trung bình Từ (1), (2) là hình thang cân d) Tứ giác là hình thang cân (vì đối đỉnh) Ta có: (vì phải cân tại A Bài 5.
Đề thi giữa kì 1 Toán 8 năm 2023 - Đề 80
542
271 lượt tải
MUA NGAY ĐỂ XEM TOÀN BỘ TÀI LIỆU
CÁCH MUA:
- B1: Gửi phí vào TK:
1053587071
- NGUYEN VAN DOAN - Ngân hàng Vietcombank (QR) - B2: Nhắn tin tới Zalo VietJack Official ( nhấn vào đây ) để xác nhận thanh toán và tải tài liệu - giáo án
Liên hệ ngay Hotline hỗ trợ: 084 283 45 85
Đề thi được cập nhật liên tục trong gói này từ nay đến hết tháng 6/2023. Chúng tôi đảm bảo đủ số lượng đề đã cam kết hoặc có thể nhiều hơn, tất cả có BẢN WORD, LỜI GIẢI CHI TIẾT và tải về dễ dàng.
Để tải tài liệu gốc về máy bạn click vào nút Tải Xuống ở trên!
Thuộc bộ (mua theo bộ để tiết kiệm hơn):
- Tailieugiaovien.com.vn giới thiệu bộ 100 đề thi giữa học kì 1 môn Toán lớp 8 mới nhất năm 2022 - 2023 nhằm giúp Giáo viên có thêm tài liệu tham khảo ra đề thi Toán lớp 10.
- File word có lời giải chi tiết 100%.
- Mua trọn bộ sẽ tiết kiệm hơn tải lẻ 50%.
Đánh giá
4.6 / 5(542 )5
4
3
2
1

Trọng Bình
Tài liệu hay
Giúp ích cho tôi rất nhiều

Duy Trần
Tài liệu chuẩn
Rất thích tài liệu bên VJ soạn (bám sát chương trình dạy)
TÀI LIỆU BỘ BÁN CHẠY MÔN Toán Học
Xem thêmTÀI LIỆU BỘ BÁN CHẠY Lớp 8
Xem thêmTài liệu bộ mới nhất

Đây là bản xem thử, vui lòng mua tài liệu để xem chi tiết (có lời giải)
Đề 80
Bài 1.Thực hiện phép tính :
2
2 2
)3 2 5 4 ) 1 2 3 4a x x x b x x x x
Bài 2.Phân tích đa thức thành nhân tử :
2 2
2 2 2 2
)7 14 )3 4 4
) 2 ) 2 15
a x xy b x x x
c x xy y z d x x
Bài 3.Tìm x:
2 2
2 2
)7 2 0 ) 4 6 10
) 1 2 2 0 ) 3 1 5 0
a x x b x x x x
c x x x d x x
Bài 4.Cho tam giác
ABC
có 3 góc nhọn và
.AB AC
Các đường cao
,BE CF
cắt
nhau tại H. Gọi
M
là trung điểm của
.BC
Trên tia đối của
MH
lấy điểm K sao cho
HM MK
a) Chứng minh : Tứ giác
BHCK
là hình bình hành
b) Chứng minh
BK AB
và
CK AC
c) Gọi I là điểm đối xứng với H qua
.BC
Chứng minh tứ giác
BIKC
là hình
thang cân
d)
BK
cắt
HI
tại G. Tam giác
ABC
phải có thêm điều kiện gì để tứ giác
GHCK
là hình thang cân
Bài 5. Chứng minh rằng
3 3
3
1 2 9A n n n
với mọi
*n
Lời giải
Bài 1.Thực hiện phép tính :
Bài 2.Phân tích thành nhân tử :
Bài 3.Tìm x:
Mọi thắc mắc vui lòng xin liên hệ hotline: 084 283 45 85

Đây là bản xem thử, vui lòng mua tài liệu để xem chi tiết (có lời giải)
Bài 4.
G
I
K
M
H
F
E
A
B
C
a) Ta có:
là hình bình hành
b) là hình bình hành
Mọi thắc mắc vui lòng xin liên hệ hotline: 084 283 45 85

Đây là bản xem thử, vui lòng mua tài liệu để xem chi tiết (có lời giải)
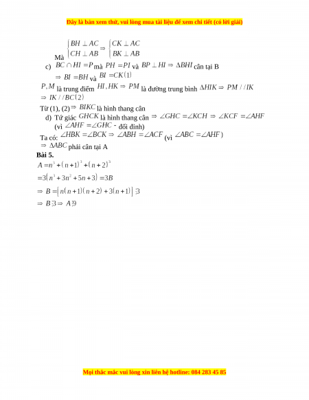
Mà
c) mà và cân tại B
và
là trung điểm là đường trung bình
Từ (1), (2) là hình thang cân
d) Tứ giác là hình thang cân
(vì đối đỉnh)
Ta có: (vì
phải cân tại A
Bài 5.
Mọi thắc mắc vui lòng xin liên hệ hotline: 084 283 45 85