Đề 88
Bài 1.Thực hiện phép tính : 15 x x 5 2x 3 2x x 3
Bài 2.Tính độ dài đường trung bình của hình thang biết đáy lớn bằng 20cm, đáy 4 nhỏ bằng 5 đáy lớn
Bài 3.Phân tích đa thức thành nhân tử : 2 2 2 2
a)x xy x y
b)81 x 2xy y
c)x x 56 a 2 5 a P 4. Cho biểu thức
a 3 a 3 a 2 2 a 2a Bài
a) Tìm điều kiện xác định của biểu thức P
b) Rút gọn biểu thức P
c) Tính giá trị của P khi 2 8a 8 a
Bài 5.Cho hình bình hành ABCD có BC 2 AB và BA D 6
0 .Gọi E, F theo thứ
tự là trung điểm của BC, AD . Vẽ I đối xứng với A qua B
a) Chứng minh tứ giác ABEF là hình thoi
b) Chứng minh FI BC
c) Chứng minh ba điểm D, E, I thẳng hàng
d) Tính diện tích tam giác AED , biết AB 2 cm
Bài 6. Tìm giá trị nhỏ nhát của biểu thức A biết : 2
x 2x 2016 A x 0 2 x Lời giải
Bài 1.Thực hiện phép tính
15 x x 5 2x 3 2x x 3 2 2 1
5 x 2x 10x 3x 15 2x 6x 0 4 20. 16 (cm)
Bài 2. Đáy nhỏ hình thang : 5
Đường trung bình là : 20 16 : 2 1 8(cm)
Bài 3.Phân tích đa thức thành nhân tử :
2
a)x xy x y x x y x y
x y x 1 2 2 2
b)81 x 2xy y 9 2 2
x 2xy y 9
x y 2 2
9 x y 9 x y 2 2
c)x x 56 x 8x 7x 56
x x 8 7 x 8
x 8 x 7 Bài 4.
a) ĐKXĐ: a 3;a 0 ;a 2 a 2 5 a
a a 2 5a a a 3 b)P
a 3 a 3 a 2 a a 2
a a 3 a 2 2 2
a 2a 5a a 3a 6a 6
a a 3 a 2
a a 3 a 2 a 3 a 2 a 0 (ktm) 2 6 3 c)8a 8
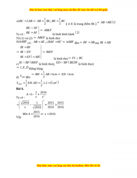
a a a 1 0 P a 1 (tm) 1 3 1 2 2 Bài 5. I B E C A F D
1 1 a)BC 2
AB AB BC, BE BC 2 2
( vì E là trung điểm BC) AB BE 1
BE / / AF ABEF
Ta có : BE AF là hình bình hành 2
Từ (1) và (2) ABEF là hình thoi b) A
BF có : AB AF, B AF 6 0 A
BF đều BF AB mà BI AB BI BF BI / /EF BIEF BI EF AB
là hình thoi FI BC
c) IE / /BF BIEF là hình thoi), ED / /BF BEDF là hình thoi)
I , E, D thẳng hàng. 1 BH AB 1 cm EH 1 cm d) SABF đều 2 1 1 S
EH .AD .1.2 cm AED 2 1 2 2 Bài 6. 2 2016 A 1 Ta có : 2 x x 2 2016 1 2015 2015 x 2016 2016 2016 2015 Min A x 2016 Vậy 2016
Đề thi giữa kì 1 Toán 8 năm 2023 - Đề 88
447
224 lượt tải
MUA NGAY ĐỂ XEM TOÀN BỘ TÀI LIỆU
CÁCH MUA:
- B1: Gửi phí vào TK:
1053587071
- NGUYEN VAN DOAN - Ngân hàng Vietcombank (QR) - B2: Nhắn tin tới Zalo VietJack Official ( nhấn vào đây ) để xác nhận thanh toán và tải tài liệu - giáo án
Liên hệ ngay Hotline hỗ trợ: 084 283 45 85
Đề thi được cập nhật liên tục trong gói này từ nay đến hết tháng 6/2023. Chúng tôi đảm bảo đủ số lượng đề đã cam kết hoặc có thể nhiều hơn, tất cả có BẢN WORD, LỜI GIẢI CHI TIẾT và tải về dễ dàng.
Để tải tài liệu gốc về máy bạn click vào nút Tải Xuống ở trên!
Thuộc bộ (mua theo bộ để tiết kiệm hơn):
- Tailieugiaovien.com.vn giới thiệu bộ 100 đề thi giữa học kì 1 môn Toán lớp 8 mới nhất năm 2022 - 2023 nhằm giúp Giáo viên có thêm tài liệu tham khảo ra đề thi Toán lớp 10.
- File word có lời giải chi tiết 100%.
- Mua trọn bộ sẽ tiết kiệm hơn tải lẻ 50%.
Đánh giá
4.6 / 5(447 )5
4
3
2
1

Trọng Bình
Tài liệu hay
Giúp ích cho tôi rất nhiều

Duy Trần
Tài liệu chuẩn
Rất thích tài liệu bên VJ soạn (bám sát chương trình dạy)
TÀI LIỆU BỘ BÁN CHẠY MÔN Toán Học
Xem thêmTÀI LIỆU BỘ BÁN CHẠY Lớp 8
Xem thêmTài liệu bộ mới nhất

Đây là bản xem thử, vui lòng mua tài liệu để xem chi tiết (có lời giải)
Đề 88
Bài 1.Thực hiện phép tính :
15 5 2 3 2 3x x x x x
Bài 2.Tính độ dài đường trung bình của hình thang biết đáy lớn bằng
20 ,cm
đáy
nhỏ bằng
4
5
đáy lớn
Bài 3.Phân tích đa thức thành nhân tử :
2 2 2 2
) )81 2 ) 56a x xy x y b x xy y c x x
Bài
4. Cho biểu thức
2
2 5
3 3 2 2
a a
P
a a a a a
a) Tìm điều kiện xác định của biểu thức
P
b) Rút gọn biểu thức
P
c) Tính giá trị của
P
khi
2
8 8a a
Bài 5.Cho hình bình hành
ABCD
có
2BC AB
và
60 .BAD
Gọi
,E F
theo thứ
tự là trung điểm của
,BC AD
. Vẽ
I
đối xứng với
A
qua B
a) Chứng minh tứ giác
ABEF
là hình thoi
b) Chứng minh
FI BC
c) Chứng minh ba điểm
, ,D E I
thẳng hàng
d) Tính diện tích tam giác
AED
, biết
2AB cm
Bài 6. Tìm giá trị nhỏ nhát của biểu thức
A
biết :
2
2
2 2016
0
x x
A x
x
Lời giải
Bài 1.Thực hiện phép tính
2 2
15 5 2 3 2 3
15 2 10 3 15 2 6 0
x x x x x
x x x x x x
Bài 2. Đáy nhỏ hình thang :
4
20. 16( )
5
cm
Đường trung bình là :
20 16 : 2 18( )cm
Bài 3.Phân tích đa thức thành nhân tử :
Mọi thắc mắc vui lòng xin liên hệ hotline: 084 283 45 85

Đây là bản xem thử, vui lòng mua tài liệu để xem chi tiết (có lời giải)
2
2 2 2 2 2
2
2
2 2
) 1
)81 2 9 2
9 9 9
) 56 8 7 56
8 7 8 8 7
a x xy x y x x y x y x y x
b x xy y x xy y
x y x y x y
c x x x x x
x x x x x
Bài 4.
a) ĐKXĐ:
3; 0; 2a a a
2 2
2 5 3
2 5
)
3 3 2 2 3 2
2 5 3 6 6
3 2 3 2 3 2
a a a a a
a a
b P
a a a a a a a a
a a a a a a
a a a a a a a a
2
0( )
6 3
)8 8 1 0
1( )
1 3 1 2 2
a ktm
c a a a a P
a tm
Bài 5.
I
F
A
D
E
B
C
Mọi thắc mắc vui lòng xin liên hệ hotline: 084 283 45 85

Đây là bản xem thử, vui lòng mua tài liệu để xem chi tiết (có lời giải)
1 1
) 2 ,
2 2
a BC AB AB BC BE BC
( vì E là trung điểm BC)
1AB BE
Ta có :
/ /BE AF
ABEF
BE AF
là hình bình hành
2
Từ (1) và (2)
ABEF
là hình thoi
)b ABF
có :
, 60AB AF BAF ABF
đều
BF AB
mà
BI AB
/ /
BI BF
BI EF BIEF
BI EF AB
là hình thoi
FI BC
c)
/ /IE BF BIEF
là hình thoi),
/ /ED BF BEDF
là hình thoi)
, ,I E D
thẳng hàng.
d)
ABF
S
đều
1
1 1
2
BH AB cm EH cm
2
1 1
. .1.2 1
2 2
AED
S EH AD cm
Bài 6.
Ta có :
2
2 2016
1A
x x
2
2016 1 2015 2015
2016 2016
2016
x
Vậy
2015
2016
2016
Min A x
Mọi thắc mắc vui lòng xin liên hệ hotline: 084 283 45 85