Đề 90
Bài 1. Phân tích các đa thức sau thành nhân tử : 4 3 2 2 2 2
a)4x 4x x x
b)1 2a 2bc a b c
b) x 7 x 5 x 4 x 2 72 Bài 2. Tìm x sao cho :
x x x 2 x 3 x 2 5 4 3 3 2 2 1 2
1 4x 2x 1 Bài 3. Cho AB
C có M , N lần lượt là trung điểm của các cạnh BC, AC.Trên tia
đối của tia MN lấy điểm D sao cho NM .
ND Gọi I là trung điểm của đoạn thẳng AM
a) Tứ giác ADCM là hình gì ? Vì sao ?
b) Chứng minh rằng B, I, D thẳng hàng
c) Qua điểm D kẻ đường thẳng song song với AC, cắt đường thẳng BC tại E.
Đường thẳng IN cắt DE tại F. Tìm điều kiện của A
BC để tứ giác MNFE là hình thang cân Bài 4.
a) Tìm giá trị nhỏ nhất của biểu thức 2 A 2
x x 2017
b) Cho ba số nguyên a, ,
b c có tổng chia hết cho 6
Chứng minh rằng biểu thức M
a b b c c a 2abc chia hết cho 6 Lời giải
Bài 1.Phân tích thành nhân tử 4 3 2 3
a)4x 4x x x 4
x x
1 x x 1 x 2 4x 1 x
1 x 2x 1 2x 1 x 1 2 2 2
b)1 2a 2bc a b c 2
a 2a 1 2 2
b 2bc c a 2
1 b c2
a 1 b c a 1 b c
c) x 7 x 5 x 4 x 2 72
x 7 x 2 x 5 x 4 72 2
x 9x 14 2
x 9x 20 72* Đặt 2
x 9x 14 b
* b b 6 2 72 b 6b 72 2 b
12b 6b 72 b
b 12 6 b 12
b 6 b 12 2
x 9x 14 6 2
x 9x 14 12 x 1 x 8 2
x 9x 26 Bài 2.
x 5 4 3x 3x 2 2 2x 3 1 2x 1 2
4x 2x 1 2 2 3 2 3
3x 11x 20 9x 12x 4 8x 12x 6x 1 8 x 1 18
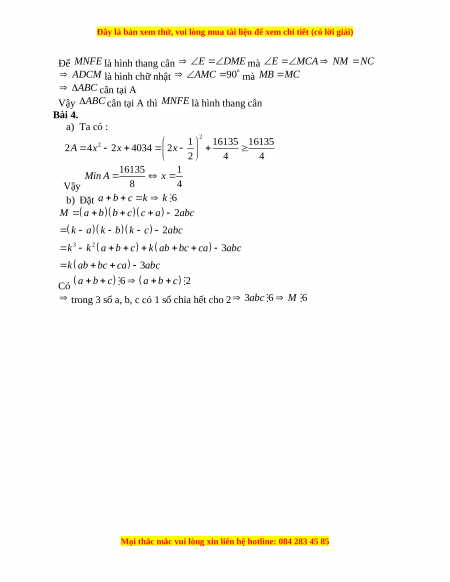
17x 18 x 17 Bài 3. A D I N F B M C E
NA NC ADCM
a) Ta có : ND NM là hình bình hành
IA IM IN b) ND NM
là đường trung bình A
MD IN / / AD
AD / /MC hay AD / /MB AD / / MB AD M C M B ADMB Mà AD M B là hình bình hành
Mà IA IM , AM cắt BD tại trung điểm mỗi đường IB ID
B, I , D thẳng hàng
c) NI / /MC NF / /ME MNFE là hình thang
Để MNFE là hình thang cân E D
ME mà E MCA NM NC
ADCM là hình chữ nhật A MC 9 0 mà MB M C AB C cân tại A Vậy A
BC cân tại A thì MNFE là hình thang cân Bài 4. a) Ta có : 2 1 16135 16135 2 2A 4
x 2x 4034 2x 2 4 4 16135 1 Min A x Vậy 8 4
b) Đặt a b c k k 6 M
a b b c c a 2abc
k a k b k c 2abc 3 2 k
k a b c k ab bc ca 3abc k
ab bc ca 3abc
Có a b c 6
a b c 2
trong 3 số a, b, c có 1 số chia hết cho 2 3abc 6 M 6
Đề thi giữa kì 1 Toán 8 năm 2023 - Đề 90
481
241 lượt tải
MUA NGAY ĐỂ XEM TOÀN BỘ TÀI LIỆU
CÁCH MUA:
- B1: Gửi phí vào TK:
1053587071
- NGUYEN VAN DOAN - Ngân hàng Vietcombank (QR) - B2: Nhắn tin tới Zalo VietJack Official ( nhấn vào đây ) để xác nhận thanh toán và tải tài liệu - giáo án
Liên hệ ngay Hotline hỗ trợ: 084 283 45 85
Đề thi được cập nhật liên tục trong gói này từ nay đến hết tháng 6/2023. Chúng tôi đảm bảo đủ số lượng đề đã cam kết hoặc có thể nhiều hơn, tất cả có BẢN WORD, LỜI GIẢI CHI TIẾT và tải về dễ dàng.
Để tải tài liệu gốc về máy bạn click vào nút Tải Xuống ở trên!
Thuộc bộ (mua theo bộ để tiết kiệm hơn):
- Tailieugiaovien.com.vn giới thiệu bộ 100 đề thi giữa học kì 1 môn Toán lớp 8 mới nhất năm 2022 - 2023 nhằm giúp Giáo viên có thêm tài liệu tham khảo ra đề thi Toán lớp 10.
- File word có lời giải chi tiết 100%.
- Mua trọn bộ sẽ tiết kiệm hơn tải lẻ 50%.
Đánh giá
4.6 / 5(481 )5
4
3
2
1

Trọng Bình
Tài liệu hay
Giúp ích cho tôi rất nhiều

Duy Trần
Tài liệu chuẩn
Rất thích tài liệu bên VJ soạn (bám sát chương trình dạy)
TÀI LIỆU BỘ BÁN CHẠY MÔN Toán Học
Xem thêmTÀI LIỆU BỘ BÁN CHẠY Lớp 8
Xem thêmTài liệu bộ mới nhất

Đây là bản xem thử, vui lòng mua tài liệu để xem chi tiết (có lời giải)
Đề 90
Bài 1. Phân tích các đa thức sau thành nhân tử :
4 3 2 2 2 2
)4 4 )1 2 2
) 7 5 4 2 72
a x x x x b a bc a b c
b x x x x
Bài 2. Tìm x sao cho :
2 3
2
5 4 3 3 2 2 1 2 1 4 2 1x x x x x x x
Bài 3. Cho
ABC
có
,M N
lần lượt là trung điểm của các cạnh
, .BC AC
Trên tia
đối của tia
MN
lấy điểm D sao cho
.NM ND
Gọi
I
là trung điểm của đoạn thẳng
AM
a) Tứ giác
ADCM
là hình gì ? Vì sao ?
b) Chứng minh rằng
, ,B I D
thẳng hàng
c) Qua điểm
D
kẻ đường thẳng song song với
,AC
cắt đường thẳng
BC
tại E.
Đường thẳng
IN
cắt
DE
tại F. Tìm điều kiện của
ABC
để tứ giác
MNFE
là
hình thang cân
Bài 4.
a) Tìm giá trị nhỏ nhất của biểu thức
2
2 2017A x x
b) Cho ba số nguyên
, ,a b c
có tổng chia hết cho 6
Chứng minh rằng biểu thức
2M a b b c c a abc
chia hết cho 6
Lời giải
Bài 1.Phân tích thành nhân tử
4 3 2 3
2
2 2 2 2 2 2
2 2
)4 4 4 1 1
4 1 1 2 1 2 1 1
)1 2 2 2 1 2
1 1 1
a x x x x x x x x
x x x x x x x
b a bc a b c a a b bc c
a b c a b c a b c
2 2
) 7 5 4 2 72
7 2 5 4 72
9 14 9 20 72 *
c x x x x
x x x x
x x x x
Đặt
2
9 14x x b
Mọi thắc mắc vui lòng xin liên hệ hotline: 084 283 45 85

Đây là bản xem thử, vui lòng mua tài liệu để xem chi tiết (có lời giải)
2
2
2 2
2
* 6 72 6 72
12 6 72 12 6 12 6 12
9 14 6 9 14 12
1 8 9 26
b b b b
b b b b b b b b
x x x x
x x x x
Bài 2.
2 3
2
2 2 3 2 3
5 4 3 3 2 2 1 2 1 4 2 1
3 11 20 9 12 4 8 12 6 1 8 1
18
17 18
17
x x x x x x x
x x x x x x x x
x x
Bài 3.
F
E
I
D
N
M
A
B
C
a) Ta có :
NA NC
ADCM
ND NM
là hình bình hành
b)
IA IM
IN
ND NM
là đường trung bình
/ /AMD IN AD
/ /AD MC
hay
/ /AD MB
Mà
/ /AD MB
AD MC MB ADMB
AD MB
là hình bình hành
Mà
,IA IM AM
cắt BD tại trung điểm mỗi đường
IB ID
, ,B I D
thẳng hàng
c)
/ / / /NI MC NF ME MNFE
là hình thang
Mọi thắc mắc vui lòng xin liên hệ hotline: 084 283 45 85

Đây là bản xem thử, vui lòng mua tài liệu để xem chi tiết (có lời giải)
Để
MNFE
là hình thang cân
E DME
mà
E MCA NM NC
ADCM
là hình chữ nhật
90AMC
mà
MB MC
ABC
cân tại A
Vậy
ABC
cân tại A thì
MNFE
là hình thang cân
Bài 4.
a) Ta có :
2
2
1 16135 16135
2 4 2 4034 2
2 4 4
A x x x
Vậy
16135 1
8 4
Min A x
b) Đặt
6a b c k k
3 2
2
2
3
3
M a b b c c a abc
k a k b k c abc
k k a b c k ab bc ca abc
k ab bc ca abc
Có
6 2a b c a b c
trong 3 số a, b, c có 1 số chia hết cho 2
3 6 6abc M
Mọi thắc mắc vui lòng xin liên hệ hotline: 084 283 45 85