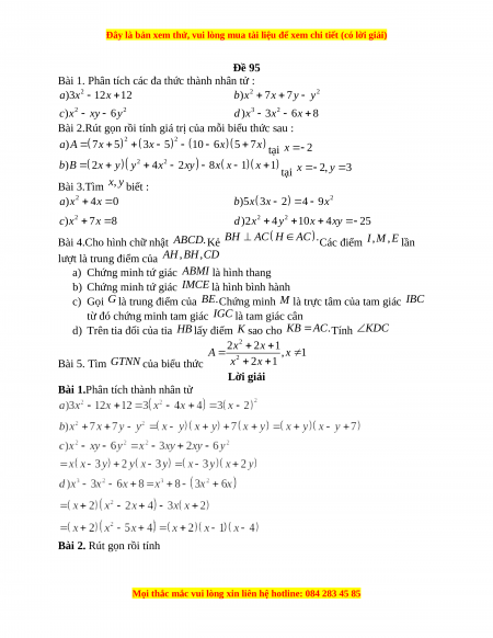
Đề 95
Bài 1. Phân tích các đa thức thành nhân tử : 2 2 2
a)3x 12x 12
b)x 7x 7 y y 2 2 3 2
c)x xy 6y
d )x 3x 6x 8
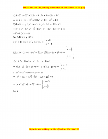
Bài 2.Rút gọn rồi tính giá trị của mỗi biểu thức sau : a A
x 2 x 2 ) 7 5 3
5 10 6x 5 7x tại x 2 b B x y 2 2 ) 2
y 4x 2xy 8x x 1 x
1 tại x 2, y 3
Bài 3.Tìm x, y biết : 2
a)x 4x 0
b)5x 3x 2 2 4 9x 2 2 2
c)x 7x 8
d)2x 4y 10x 4xy 25
Bài 4.Cho hình chữ nhật ABC .
D Kẻ BH AC H AC .Các điểm I,M ,E lần
lượt là trung điểm của AH , BH,CD
a) Chứng minh tứ giác ABMI là hình thang
b) Chứng minh tứ giác IMCE là hình bình hành
c) Gọi G là trung điểm của BE.Chứng minh M là trực tâm của tam giác IBC
từ đó chứng minh tam giác IGC là tam giác cân
d) Trên tia đối của tia HB lấy điểm K sao cho KB AC.Tính KDC 2 2x 2x 1 A , x 1
Bài 5. Tìm GTNN của biểu thức 2 x 2x 1 Lời giải
Bài 1.Phân tích thành nhân tử
Bài 2. Rút gọn rồi tính
Bài 3.Tìm x, y biết : Bài 4.
A B M I G E H C D K a) có là trung điểm là đường trung bình Tứ giác là hình thang b) có là trung điểm là đường trung bình , cmtt Mà Từ (1) và (2) suy ra là hình bình hành c) là đường trung bình Mà là đường cao Lại có là trực tâm Mà là hình bình hành) vuông tại I Có do đó cân tại G d) Ta có mà cân tại K Dựng và (cùng vuông góc (so le trong)
Mà (cùng phụ Từ 3 điều trên ta có s Ta có : Từ (*) và (**) Mà vuông đỉnh Q vuông tại Q Bài 5.
Đề thi giữa kì 1 Toán 8 năm 2023 - Đề 95
455
228 lượt tải
MUA NGAY ĐỂ XEM TOÀN BỘ TÀI LIỆU
CÁCH MUA:
- B1: Gửi phí vào TK:
1053587071
- NGUYEN VAN DOAN - Ngân hàng Vietcombank (QR) - B2: Nhắn tin tới Zalo VietJack Official ( nhấn vào đây ) để xác nhận thanh toán và tải tài liệu - giáo án
Liên hệ ngay Hotline hỗ trợ: 084 283 45 85
Đề thi được cập nhật liên tục trong gói này từ nay đến hết tháng 6/2023. Chúng tôi đảm bảo đủ số lượng đề đã cam kết hoặc có thể nhiều hơn, tất cả có BẢN WORD, LỜI GIẢI CHI TIẾT và tải về dễ dàng.
Để tải tài liệu gốc về máy bạn click vào nút Tải Xuống ở trên!
Thuộc bộ (mua theo bộ để tiết kiệm hơn):
- Tailieugiaovien.com.vn giới thiệu bộ 100 đề thi giữa học kì 1 môn Toán lớp 8 mới nhất năm 2022 - 2023 nhằm giúp Giáo viên có thêm tài liệu tham khảo ra đề thi Toán lớp 10.
- File word có lời giải chi tiết 100%.
- Mua trọn bộ sẽ tiết kiệm hơn tải lẻ 50%.
Đánh giá
4.6 / 5(455 )5
4
3
2
1

Trọng Bình
Tài liệu hay
Giúp ích cho tôi rất nhiều

Duy Trần
Tài liệu chuẩn
Rất thích tài liệu bên VJ soạn (bám sát chương trình dạy)
TÀI LIỆU BỘ BÁN CHẠY MÔN Toán Học
Xem thêmTÀI LIỆU BỘ BÁN CHẠY Lớp 8
Xem thêmTài liệu bộ mới nhất

Đây là bản xem thử, vui lòng mua tài liệu để xem chi tiết (có lời giải)
Đề 95
Bài 1. Phân tích các đa thức thành nhân tử :
2 2 2
2 2 3 2
)3 12 12 ) 7 7
) 6 ) 3 6 8
a x x b x x y y
c x xy y d x x x
Bài 2.Rút gọn rồi tính giá trị của mỗi biểu thức sau :
2 2
) 7 5 3 5 10 6 5 7a A x x x x
tại
2x
2 2
) 2 4 2 8 1 1b B x y y x xy x x x
tại
2, 3x y
Bài 3.Tìm
,x y
biết :
2 2
2 2 2
) 4 0 )5 3 2 4 9
) 7 8 )2 4 10 4 25
a x x b x x x
c x x d x y x xy
Bài 4.Cho hình chữ nhật
.ABCD
Kẻ
.BH AC H AC
Các điểm
, ,I M E
lần
lượt là trung điểm của
, ,AH BH CD
a) Chứng minh tứ giác
ABMI
là hình thang
b) Chứng minh tứ giác
IMCE
là hình bình hành
c) Gọi
G
là trung điểm của
.BE
Chứng minh
M
là trực tâm của tam giác
IBC
từ đó chứng minh tam giác
IGC
là tam giác cân
d) Trên tia đối của tia
HB
lấy điểm
K
sao cho
.KB AC
Tính
KDC
Bài 5. Tìm
GTNN
của biểu thức
2
2
2 2 1
, 1
2 1
x x
A x
x x
Lời giải
Bài 1.Phân tích thành nhân tử
Bài 2. Rút gọn rồi tính
Mọi thắc mắc vui lòng xin liên hệ hotline: 084 283 45 85

Đây là bản xem thử, vui lòng mua tài liệu để xem chi tiết (có lời giải)
Bài 3.Tìm x, y biết :
Bài 4.
Mọi thắc mắc vui lòng xin liên hệ hotline: 084 283 45 85

Đây là bản xem thử, vui lòng mua tài liệu để xem chi tiết (có lời giải)
K
G
E
M
I
H
C
A
B
D
a) có là trung điểm là đường trung bình
Tứ giác là hình thang
b) có là trung điểm là đường trung bình
, cmtt
Mà
Từ (1) và (2) suy ra là hình bình hành
c) là đường trung bình
Mà là đường cao
Lại có là trực tâm
Mà là hình bình hành)
vuông tại I
Có do đó cân tại G
d) Ta có mà cân tại K
Dựng và
(cùng vuông góc (so le trong)
Mọi thắc mắc vui lòng xin liên hệ hotline: 084 283 45 85

Đây là bản xem thử, vui lòng mua tài liệu để xem chi tiết (có lời giải)
Mà (cùng phụ
Từ 3 điều trên ta có s
Ta có :
Từ (*) và (**)
Mà vuông đỉnh Q vuông tại Q
Bài 5.
Mọi thắc mắc vui lòng xin liên hệ hotline: 084 283 45 85

Đây là bản xem thử, vui lòng mua tài liệu để xem chi tiết (có lời giải)
Mọi thắc mắc vui lòng xin liên hệ hotline: 084 283 45 85