ĐỀ KIỂM TRA GIỮA HỌC KỲ II
MÔN TOÁN LỚP 11 – BỘ SÁCH KẾT NỐI TRI THỨC VỚI CUỘC SỐNG ĐỀ SỐ 1
A. ĐỀ KIỂM TRA GIỮA HỌC KÌ II
I. Trắc nghiệm (7 điểm)
Câu 1. Cho số thực dương. Với mọi số thực , bất kỳ, khẳng định nào dưới đây đúng? A. . B. . C. . D. .
Câu 2. Với các số thực , bất kỳ, mệnh đề nào dưới đây luôn đúng? A. . B. . C. . D. . Câu 3. Cho
với là một số thực dương. Đặt . Biểu diễn theo ta được A. . B. . C. . D. .
Câu 4. Rút gọn biểu thức với . A. . B. . C. . D. .
Câu 5. Với các số thực dương
bất kì. Mệnh đề nào dưới đây đúng? A. B. C. D.
Câu 6. Cho là số thực dương bất kỳ. Mệnh đề nào dưới đây đúng? A. . B. . C. . D. .
Câu 7. Với là số thực dương khác , bằng A. . B. . C. . D. .
Câu 8. Xét các số thực thỏa mãn
. Mệnh đề nào là đúng? A. . B. . C. . D. .
Câu 9. Trong các hàm số sau, hàm số nào là hàm số mũ? A. . B. . C. . D. .
Câu 10. Tập xác định của hàm số là A. . B. . C. . D. .
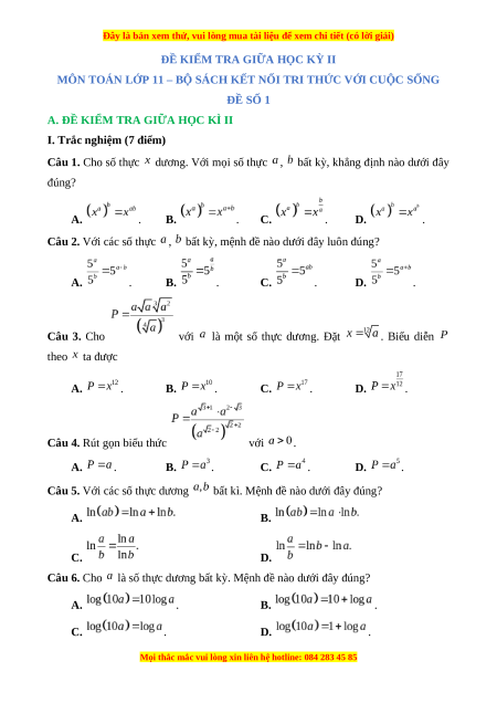
Câu 11. Đồ thị hình dưới đây là của hàm số nào? A. B. C. D.
Câu 12. Tất cả các giá trị thực của để phương trình có nghiệm thực là A. . B. . C. . D. .
Câu 13. Tập nghiệm của bất phương trình là A. . B. . C. . D. .
Câu 14. Nghiệm của phương trình là A. . B. . C. . D. .
Câu 15. Bất phương trình
có số nghiệm nguyên dương là A. . B. . C. vô số. D. .
Câu 16. Trong không gian cho hai đường thẳng và vuông góc với nhau.
Mệnh đề nào dưới đúng? A. và cắt nhau. B. và chéo nhau.
C. và cùng nằm trên một mặt phẳng.
D. Góc giữa và bằng .
Câu 17. Trong các mệnh đề dưới đây mệnh đề đúng là?
A. Cho hai đường thẳng song song, đường thẳng nào vuông góc với đường
thẳng thứ nhất thì cũng vuông góc với đường thẳng thứ hai.
B. Trong không gian, hai đường thẳng phân biệt cùng vuông góc với đường
thẳng thứ ba thì song song với nhau.
C. Hai đường thẳng phân biệt vuông góc với nhau thì chúng cắt nhau.
D. Hai đường thẳng phân biệt cùng vuông góc với đường thẳng thứ ba thì vuông góc với nhau.
Câu 18. Cho hình chóp
có tất cả các cạnh đều bằng . Gọi và lần lượt là trung điểm của và
. Số đo của góc giữa hai đường thẳng và bằng A. . B. . C. . D. .
Câu 19. Trong không gian cho đường thẳng không nằm trong mp , đường
thẳng được gọi là vuông góc với mp nếu
A. vuông góc với hai đường thẳng phân biệt nằm trong mp
B. vuông góc với đường thẳng mà song song với mp .
C. vuông góc với đường thẳng nằm trong mp
D. vuông góc với mọi đường thẳng nằm trong mp
Câu 20. Trong các mệnh đề sau, mệnh đề nào sai?
A. Nếu đường thẳng song song với mặt phẳng và đường thẳng vuông
góc với thì vuông góc với mặt phẳng
B. Nếu đường thẳng song song với đường thẳng và song song với mặt phẳng
thì song song hoặc nằm trên mặt phẳng
C. Nếu đường thẳng song song với mặt phẳng và đường thẳng vuông góc với mặt phẳng thì vuông góc với
D. Một đường thẳng vuông góc với hai đường thẳng cắt nhau trong một mặt
phẳng thì nó vuông góc với mặt phẳng đó.
Câu 21. Cho tứ diện có và
Khẳng định nào sau đây đúng? A. B. C. D.
Câu 22. Cho tứ diện có cạnh , ,
bằng nhau và vuông góc với
nhau từng đôi một. Khẳng định nào sau đây đúng? A. Góc giữa và là góc . B. Góc giữa và là góc . C. Góc giữa và là góc . D. Góc giữa và là góc .
Câu 23. Cho hình chóp có (như hình vẽ dưới). S A C B Hình chiếu của lên mặt phẳng là
Đề thi giữa kì 2 Toán 11 Kết nối tri thức (Đề 1)
670
335 lượt tải
MUA NGAY ĐỂ XEM TOÀN BỘ TÀI LIỆU
CÁCH MUA:
- B1: Gửi phí vào TK:
1053587071
- NGUYEN VAN DOAN - Ngân hàng Vietcombank (QR) - B2: Nhắn tin tới Zalo VietJack Official ( nhấn vào đây ) để xác nhận thanh toán và tải tài liệu - giáo án
Liên hệ ngay Hotline hỗ trợ: 084 283 45 85
Chúng tôi đảm bảo đủ số lượng đề đã cam kết hoặc có thể nhiều hơn, tất cả có BẢN WORD, LỜI GIẢI CHI TIẾT và tải về dễ dàng.
Để tải tài liệu gốc về máy bạn click vào nút Tải Xuống ở trên!
Thuộc bộ (mua theo bộ để tiết kiệm hơn):
- Tailieugiaovien.com.vn giới thiệu bộ 10 đề giữa kì 2 gồm đầy đủ ma trận và lời giải chi tiết môn Toán 11 bộ Kết nối tri thức mới nhất năm 2023 - 2024 nhằm giúp Giáo viên có thêm tài liệu tham khảo ra đề thi Toán lớp 11.
- File word có lời giải chi tiết 100%.
- Mua trọn bộ sẽ tiết kiệm hơn tải lẻ 50%.
Đánh giá
4.6 / 5(670 )5
4
3
2
1

Trọng Bình
Tài liệu hay
Giúp ích cho tôi rất nhiều

Duy Trần
Tài liệu chuẩn
Rất thích tài liệu bên VJ soạn (bám sát chương trình dạy)