ĐỀ KIỂM TRA GIỮA HỌC KỲ II
MÔN TOÁN LỚP 11 – BỘ SÁCH KẾT NỐI TRI THỨC VỚI CUỘC SỐNG ĐỀ SỐ 6
ĐỀ KIỂM TRA GIỮA HỌC KÌ II
I. Trắc nghiệm (7 điểm)
Câu 1. Cho số thực dương và số hữu tỉ , trong đó . Lũy thừa
của với số mũ , kí hiệu , được xác định bởi: A. . B. . C. . D. .
Câu 2. Với là số thực dương tùy ý, bằng A. . B. . C. . D. .
Câu 3. So sánh hai số , nếu . A. B. C. D. .
Câu 4. Cho số thực dương và . Rút gọn biểu thức ta được A. . B. . C. . D. .
Câu 5. Với mọi số thực dương , , , và
, mệnh đề nào sau đây sai? A. . B. . C. . D. .
Câu 6. Với là số thực dương tùy ý, bằng A. 7 . B. 2 . C. . D. + .
Câu 7. Với là số thực dương tùy ý, bằng A. . B. . C. . D. . Câu 8. Nếu thì bằng A. 9. B. 21. C. 20. D. 13.
Câu 9. Trong các hàm số sau, hàm số nào không phải là hàm số mũ? A. B. C. D.
Câu 10. Trong các hàm số sau, hàm số nào không phải là hàm số lôgarit? A. B. C. D.
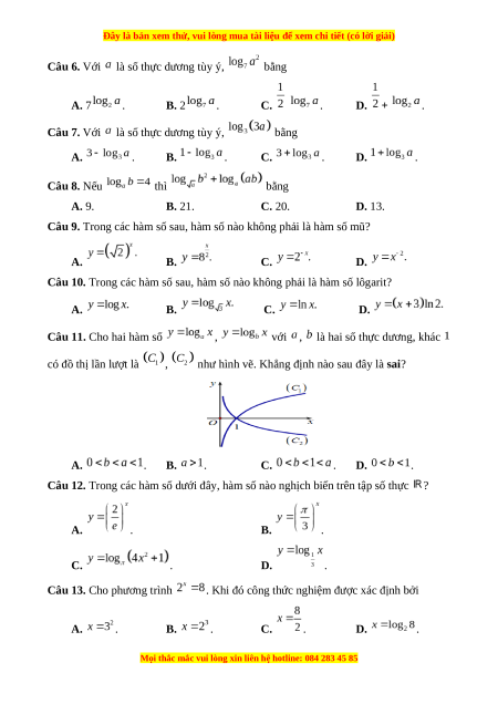
Câu 11. Cho hai hàm số ,
với , là hai số thực dương, khác
có đồ thị lần lượt là ,
như hình vẽ. Khẳng định nào sau đây là sai? A. . B. . C. . D. .
Câu 12. Trong các hàm số dưới đây, hàm số nào nghịch biến trên tập số thực ? A. . B. . C. . D. .
Câu 13. Cho phương trình
. Khi đó công thức nghiệm được xác định bởi A. . B. . C. . D. .
Câu 14. Phương trình
luôn có nghiệm duy nhất là A. . B. . C. . D. .
Câu 15. Phương trình có tập nghiệm là A. . B. . C. . D. .
Câu 16. Phương trình có bao nhiêu nghiệm? A. . B. . C. . D. .
Câu 17. “Góc giữa hai đường thẳng
trong không gian, kí hiệu , là góc giữa
hai đường thẳng và cùng đi qua một điểm và lần lượt ……. hoặc …….. với
và ”. Điền vào chỗ trống lần lượt là:
A. vuông góc, trùng. B. vuông góc, chéo. C. song song, chéo. D. song song, trùng.
Câu 18. Cho hình lập phương
. Hai đường thẳng vuông góc với nhau là A. . B. . C. . D. .
Câu 19. Cho hình lập phương
. Góc giữa hai đường thẳng và bằng A. . B. . C. . D. .
Câu 20. Cho hình chóp có đáy là hình vuông, biết
Đường thẳng nào sau đây là hình chiếu vuông góc của trên mặt phẳng ? A. . B. . C. . D. .
Câu 21. Cho hình chóp có và
là hình chiếu vuông góc của lên
. Hãy chọn khẳng định đúng. A. . B. . C. . D. .
Câu 22. Cho hình chóp , biết và tam giác vuông tại .
Khẳng định nào sau đây đúng? A. . B. . C. . D. .
Câu 23. Trong các mệnh đề sau, mệnh đề nào đúng?
A. Góc giữa mặt phẳng và mặt phẳng
là góc giữa hai đường thẳng lần lượt vuông góc với và .
B. Góc giữa hai mặt phẳng có thể bằng .
C. Góc giữa hai mặt phẳng luôn là góc nhọn.
D. Cả ba mệnh đề trên đều đúng.
Câu 24. Trong các mệnh đề sau, mệnh đề nào sai?
A. Hình lăng trụ đứng là hình lăng trụ có các cạnh bên vuông góc với mặt đáy.
B. Hình lăng trụ đứng có các mặt bên là hình chữ nhật và vuông góc với mặt đáy.
C. Hình lăng trụ đứng có các mặt là hình chữ nhật gọi là hình lập phương.
D. Hình lăng trụ đứng có đáy là một đa giác đều được gọi là hình lăng trụ đều.
Câu 25. Cho hình chóp có và đáy vuông ở . Khẳng
định nào sau đây đúng? A. . B. . C. . D. .
Câu 26. Cho hình chóp tam giác có đáy là tam giác vuông tại ,
. Đường thẳng nào sau đây là đường vuông góc chung của hai đường thẳng và ? A. . B. . C. . D. .
Câu 27. Cho hình lăng trụ đứng có đáy là tam giác đều, là trung điểm . Kí hiệu
là khoảng cách giữa hai đường thẳng và
. Khẳng định nào sau đây đúng? A. . B. .
Đề thi giữa kì 2 Toán 11 Kết nối tri thức (Đề 6)
538
269 lượt tải
MUA NGAY ĐỂ XEM TOÀN BỘ TÀI LIỆU
CÁCH MUA:
- B1: Gửi phí vào TK:
1053587071
- NGUYEN VAN DOAN - Ngân hàng Vietcombank (QR) - B2: Nhắn tin tới Zalo VietJack Official ( nhấn vào đây ) để xác nhận thanh toán và tải tài liệu - giáo án
Liên hệ ngay Hotline hỗ trợ: 084 283 45 85
Chúng tôi đảm bảo đủ số lượng đề đã cam kết hoặc có thể nhiều hơn, tất cả có BẢN WORD, LỜI GIẢI CHI TIẾT và tải về dễ dàng.
Để tải tài liệu gốc về máy bạn click vào nút Tải Xuống ở trên!
Thuộc bộ (mua theo bộ để tiết kiệm hơn):
- Tailieugiaovien.com.vn giới thiệu bộ 10 đề giữa kì 2 gồm đầy đủ ma trận và lời giải chi tiết môn Toán 11 bộ Kết nối tri thức mới nhất năm 2023 - 2024 nhằm giúp Giáo viên có thêm tài liệu tham khảo ra đề thi Toán lớp 11.
- File word có lời giải chi tiết 100%.
- Mua trọn bộ sẽ tiết kiệm hơn tải lẻ 50%.
Đánh giá
4.6 / 5(538 )5
4
3
2
1

Trọng Bình
Tài liệu hay
Giúp ích cho tôi rất nhiều

Duy Trần
Tài liệu chuẩn
Rất thích tài liệu bên VJ soạn (bám sát chương trình dạy)