ĐỀ KIỂM TRA GIỮA HỌC KỲ II
MÔN TOÁN LỚP 11 – BỘ SÁCH KẾT NỐI TRI THỨC VỚI CUỘC SỐNG ĐỀ SỐ 9
ĐỀ KIỂM TRA GIỮA HỌC KÌ II
I. Trắc nghiệm (7 điểm) Câu 1. Cho
. Khẳng định nào sau đây đúng? A. B. C. D. .
Câu 2. Cho là số thực dương khác . Khi đó bằng A. . B. . C. . D. . Câu 3. Cho thỏa mãn
. Khi đó khẳng định nào đúng? A. . B. . C. . D. .
Câu 4. Cho đẳng thức
Khi đó thuộc khoảng nào sau đây? A. . B. . C. . D. .
Câu 5. Cho hai số dương
. Mệnh đề nào dưới đây sai? A. . B. . C. . D. . Câu 6. Với
là các số thực dương tùy ý và , bằng A. . B. . C. . D. . Câu 7. Nếu thì bằng A. . B. . C. . D. .
Câu 8. Cho
là các số thực dương thỏa mãn
Giá trị của biểu thức là A. B. C. D.
Câu 9. Trong các hàm số sau, hàm số nào là hàm số mũ? A. . B. . C. . D. .
Câu 10. Tập xác định của hàm số là A. . B. . C. . D. .
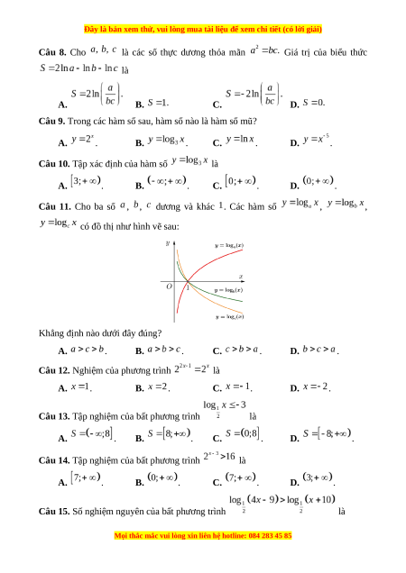
Câu 11. Cho ba số , , dương và khác . Các hàm số , ,
có đồ thị như hình vẽ sau:
Khẳng định nào dưới đây đúng? A. . B. . C. . D. .
Câu 12. Nghiệm của phương trình là A. . B. . C. . D. .
Câu 13. Tập nghiệm của bất phương trình là A. . B. . C. . D. .
Câu 14. Tập nghiệm của bất phương trình là A. . B. . C. . D. .
Câu 15. Số nghiệm nguyên của bất phương trình là
A. . B. Vô số. C. . D. .
Câu 16. Hai đường thẳng và được gọi là vuông góc với nhau nếu A. chúng cắt nhau.
B. góc giữa chúng bằng .
C. góc giữa chúng bằng .
D. góc giữa chúng bằng .
Câu 17. Cho hình lập phương (như hình vẽ dưới).
Góc giữa hai đường thẳng và bằng A. . B. . C. . D. .
Câu 18. Cho hình hộp
có tất cả các cạnh đều bằng nhau. Trong các
mệnh đề sau, mệnh đề nào có thể sai? A. . B. . C. . D. .
Câu 19. Cho hình lập phương (như hình vẽ dưới). Đường thẳng
vuông góc với mặt phẳng nào sau đây? A. . B. . C. . D. .
Câu 20. Cho hai đường thẳng và
. Chỉ ra mệnh đề đúng trong các mệnh đề sau:
A. Nếu và thì . B. Nếu và thì . C. Nếu và thì . D. Nếu và thì .
Câu 21. Cho hình chóp có đáy là hình chữ nhật và . Gọi
lần lượt là hình chiếu vuông góc của lên (như hình vẽ dưới). S F E D A B C
Khẳng định nào sau đây là đúng? A. . B. . C. . D. .
Câu 22. Cho hình chóp có (như hình vẽ dưới). S A C B Hình chiếu của lên mặt phẳng là A. . B. . C. . D. .
Câu 23. Cho hình chóp có và tam giác vuông tại (như hình vẽ dưới).
Đề thi giữa kì 2 Toán 11 Kết nối tri thức (Đề 9)
589
295 lượt tải
MUA NGAY ĐỂ XEM TOÀN BỘ TÀI LIỆU
CÁCH MUA:
- B1: Gửi phí vào TK:
1053587071
- NGUYEN VAN DOAN - Ngân hàng Vietcombank (QR) - B2: Nhắn tin tới Zalo VietJack Official ( nhấn vào đây ) để xác nhận thanh toán và tải tài liệu - giáo án
Liên hệ ngay Hotline hỗ trợ: 084 283 45 85
Chúng tôi đảm bảo đủ số lượng đề đã cam kết hoặc có thể nhiều hơn, tất cả có BẢN WORD, LỜI GIẢI CHI TIẾT và tải về dễ dàng.
Để tải tài liệu gốc về máy bạn click vào nút Tải Xuống ở trên!
Thuộc bộ (mua theo bộ để tiết kiệm hơn):
- Tailieugiaovien.com.vn giới thiệu bộ 10 đề giữa kì 2 gồm đầy đủ ma trận và lời giải chi tiết môn Toán 11 bộ Kết nối tri thức mới nhất năm 2023 - 2024 nhằm giúp Giáo viên có thêm tài liệu tham khảo ra đề thi Toán lớp 11.
- File word có lời giải chi tiết 100%.
- Mua trọn bộ sẽ tiết kiệm hơn tải lẻ 50%.
Đánh giá
4.6 / 5(589 )5
4
3
2
1

Trọng Bình
Tài liệu hay
Giúp ích cho tôi rất nhiều

Duy Trần
Tài liệu chuẩn
Rất thích tài liệu bên VJ soạn (bám sát chương trình dạy)