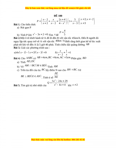
ĐỀ 100 x 2 x 2x 4 5 x 2 ; x 2 P . 1 2
Bài 1. Cho biểu thức x 2 x 2 4 x x 3 x 3 a) Rút gọn P 4 P b) Tính P khi 2 x 3x 2 0 .Tìm x để 5
Bài 2.Một ô tô khởi hành từ A để đi đến B với vận tốc 45km/h. Đến B người đó
ngay lập tức quay trở về A với vận tốc 40km / .
h Biết rằng thời gian kể từ lúc xuất
phát tới khi về đến A là 5 giờ 40 phút. Tính chiều dài quãng đường AB
Bài 3. Giải các phương trình sau : x 1
a)4x x
1 x 3 x 3 9 b) 1 x 2 x Bài 4. Cho AB C có AB 4 c , m BC 6 c , m AC 5 c . m Phân giác BD a) Tính AD, DC
b) Vẽ AM / /BC M BD .Tính AM
c) Trên tia đối của tia BC lấy điểm N sao cho BN BC . Vẽ AE
BE BD E AN . Tính tỉ số NE 2
5x 24x 29 Q
Bài 5. Tìm giá trị nhỏ nhất của 2
x 4x 4 khi x 2
Đề thi giữa kì 2 Toán 8 năm 2023 - Đề 100
811
406 lượt tải
MUA NGAY ĐỂ XEM TOÀN BỘ TÀI LIỆU
CÁCH MUA:
- B1: Gửi phí vào TK:
1133836868- CT TNHH DAU TU VA DV GD VIETJACK - Ngân hàng MB (QR) - B2: Nhắn tin tới Zalo VietJack Official ( nhấn vào đây ) để xác nhận thanh toán và tải tài liệu - giáo án
Liên hệ ngay Hotline hỗ trợ: 084 283 45 85
Đề thi được cập nhật liên tục trong gói này từ nay đến hết tháng 6/2023. Chúng tôi đảm bảo đủ số lượng đề đã cam kết hoặc có thể nhiều hơn, tất cả có BẢN WORD, LỜI GIẢI CHI TIẾT và tải về dễ dàng.
Để tải tài liệu gốc về máy bạn click vào nút Tải Xuống ở trên!
Thuộc bộ (mua theo bộ để tiết kiệm hơn):
- Tailieugiaovien.com.vn giới thiệu bộ 100 đề thi giữa học kì 2 môn Toán lớp 8 mới nhất năm 2022 - 2023 nhằm giúp Giáo viên có thêm tài liệu tham khảo ra đề thi Toán lớp 10.
- File word có lời giải chi tiết 100%.
- Mua trọn bộ sẽ tiết kiệm hơn tải lẻ 50%.
Đánh giá
4.6 / 5(811 )5
4
3
2
1
Trọng Bình
Tài liệu hay
Giúp ích cho tôi rất nhiều
Duy Trần
Tài liệu chuẩn
Rất thích tài liệu bên VJ soạn (bám sát chương trình dạy)
TÀI LIỆU BỘ BÁN CHẠY MÔN Toán Học
Xem thêmTÀI LIỆU BỘ BÁN CHẠY Lớp 8
Xem thêmTài liệu bộ mới nhất

Đây là bản xem thử, vui lòng mua tài liệu để xem(có lời giải) chi tiết
ĐỀ 100
Bài 1. Cho biểu thức
2
2; 2
2 2 4 5
. 1
3
2 2 4 3
x x
x x x
P
x
x x x x
a) Rút gọn P
b) Tính P khi
2
3 2 0.x x
Tìm
x
để
4
5
P
Bài 2.Một ô tô khởi hành từ A để đi đến B với vận tốc 45km/h. Đến B người đó
ngay lập tức quay trở về A với vận tốc
40 / .km h
Biết rằng thời gian kể từ lúc xuất
phát tới khi về đến A là 5 giờ 40 phút. Tính chiều dài quãng đường
AB
Bài 3. Giải các phương trình sau :
1
)4 1 3 3 9 ) 1
2
x
a x x x x b
x x
Bài 4. Cho
ABC
có
4 , 6 , 5 .AB cm BC cm AC cm
Phân giác
BD
a) Tính
,AD DC
b) Vẽ
/ / .AM BC M BD
Tính
AM
c) Trên tia đối của tia
BC
lấy điểm N sao cho
.BN BC
Vẽ
BE BD E AN
. Tính tỉ số
AE
NE
Bài 5. Tìm giá trị nhỏ nhất của
2
2
5 24 29
4 4
x x
Q
x x
khi
2x
Mọi thắc mắc vui lòng xin liên hệ hotline: 084 283 45 85
