ĐỀ 19
Câu 1 : Giải các phương trình sau:
Câu 2 : Một người đi xe đạp từ đến với vận tốc trung bình là .Lúc
về người đó chỉ đi với vận tóc trung bình là
nên thời gian về nhiều hơn thời gian đi là
phút .Tính độ dài quãn đường
Câu 3 : Cho tam giác có . Trên cạnh lấy điểm M sao cho .Qua
kẻ đường thẳng song song với cắt cạnh tại .
a) Tính độ dài các đoạn thẳng
b) Gọi là trung điểm của là giao điểm của và Chứng minh là trung điểm của c) Nếu
là tia phân giác của góc thì diện tích tam giác là bao nhiêu? Câu 4 : Cho và Chứng minh rằng :
Đề thi giữa kì 2 Toán 8 năm 2023 - Đề 19
528
264 lượt tải
MUA NGAY ĐỂ XEM TOÀN BỘ TÀI LIỆU
CÁCH MUA:
- B1: Gửi phí vào TK:
1053587071
- NGUYEN VAN DOAN - Ngân hàng Vietcombank (QR) - B2: Nhắn tin tới Zalo VietJack Official ( nhấn vào đây ) để xác nhận thanh toán và tải tài liệu - giáo án
Liên hệ ngay Hotline hỗ trợ: 084 283 45 85
Đề thi được cập nhật liên tục trong gói này từ nay đến hết tháng 6/2023. Chúng tôi đảm bảo đủ số lượng đề đã cam kết hoặc có thể nhiều hơn, tất cả có BẢN WORD, LỜI GIẢI CHI TIẾT và tải về dễ dàng.
Để tải tài liệu gốc về máy bạn click vào nút Tải Xuống ở trên!
Thuộc bộ (mua theo bộ để tiết kiệm hơn):
- Tailieugiaovien.com.vn giới thiệu bộ 100 đề thi giữa học kì 1 môn Toán lớp 8 mới nhất năm 2022 - 2023 nhằm giúp Giáo viên có thêm tài liệu tham khảo ra đề thi Toán lớp 10.
- File word có lời giải chi tiết 100%.
- Mua trọn bộ sẽ tiết kiệm hơn tải lẻ 50%.
Đánh giá
4.6 / 5(528 )5
4
3
2
1

Trọng Bình
Tài liệu hay
Giúp ích cho tôi rất nhiều

Duy Trần
Tài liệu chuẩn
Rất thích tài liệu bên VJ soạn (bám sát chương trình dạy)
TÀI LIỆU BỘ BÁN CHẠY MÔN Toán Học
Xem thêmTÀI LIỆU BỘ BÁN CHẠY Lớp 8
Xem thêmTài liệu bộ mới nhất

Đây là bản xem thử, vui lòng mua tài liệu để xem chi tiết (có lời giải)
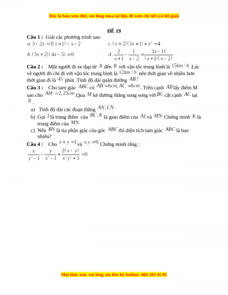
ĐỀ 19
Câu 1 : Giải các phương trình sau:
Câu 2 : Một người đi xe đạp từ đến với vận tốc trung bình là .Lúc
về người đó chỉ đi với vận tóc trung bình là nên thời gian về nhiều hơn
thời gian đi là phút .Tính độ dài quãn đường
Câu 3 : Cho tam giác có . Trên cạnh lấy điểm M
sao cho .Qua kẻ đường thẳng song song với cắt cạnh tại
.
a) Tính độ dài các đoạn thẳng
b) Gọi là trung điểm của là giao điểm của và Chứng minh là
trung điểm của
c) Nếu là tia phân giác của góc thì diện tích tam giác là bao
nhiêu?
Câu 4 : Cho và Chứng minh rằng :
Mọi thắc mắc vui lòng xin liên hệ hotline: 084 283 45 85