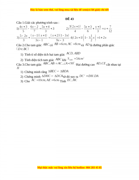
ĐỀ 43
Câu 1.Giải các phương trình sau : Câu 2.Cho tam giác có và là đường phân giác
1) Tính tỉ số diện tích hai tam giác
2) Tính diện tích tam giác khi Câu 3.Cho tam giác Hai đường cao cắt nhau tại 1) Chứng minh rằng 2) Chứng minh từ đó suy ra 3) Cho Tính
Đề thi giữa kì 2 Toán 8 năm 2023 - Đề 43
478
239 lượt tải
MUA NGAY ĐỂ XEM TOÀN BỘ TÀI LIỆU
CÁCH MUA:
- B1: Gửi phí vào TK:
1053587071
- NGUYEN VAN DOAN - Ngân hàng Vietcombank (QR) - B2: Nhắn tin tới Zalo VietJack Official ( nhấn vào đây ) để xác nhận thanh toán và tải tài liệu - giáo án
Liên hệ ngay Hotline hỗ trợ: 084 283 45 85
Đề thi được cập nhật liên tục trong gói này từ nay đến hết tháng 6/2023. Chúng tôi đảm bảo đủ số lượng đề đã cam kết hoặc có thể nhiều hơn, tất cả có BẢN WORD, LỜI GIẢI CHI TIẾT và tải về dễ dàng.
Để tải tài liệu gốc về máy bạn click vào nút Tải Xuống ở trên!
Thuộc bộ (mua theo bộ để tiết kiệm hơn):
- Tailieugiaovien.com.vn giới thiệu bộ 100 đề thi giữa học kì 1 môn Toán lớp 8 mới nhất năm 2022 - 2023 nhằm giúp Giáo viên có thêm tài liệu tham khảo ra đề thi Toán lớp 10.
- File word có lời giải chi tiết 100%.
- Mua trọn bộ sẽ tiết kiệm hơn tải lẻ 50%.
Đánh giá
4.6 / 5(478 )5
4
3
2
1

Trọng Bình
Tài liệu hay
Giúp ích cho tôi rất nhiều

Duy Trần
Tài liệu chuẩn
Rất thích tài liệu bên VJ soạn (bám sát chương trình dạy)
TÀI LIỆU BỘ BÁN CHẠY MÔN Toán Học
Xem thêmTÀI LIỆU BỘ BÁN CHẠY Lớp 8
Xem thêmTài liệu bộ mới nhất

Đây là bản xem thử, vui lòng mua tài liệu để xem(có lời giải) chi tiết
ĐỀ 43
Câu 1.Giải các phương trình sau :
Câu 2.Cho tam giác có và là đường phân giác
1) Tính tỉ số diện tích hai tam giác
2) Tính diện tích tam giác khi
Câu 3.Cho tam giác Hai đường cao cắt nhau tại
1) Chứng minh rằng
2) Chứng minh từ đó suy ra
3) Cho Tính
Mọi thắc mắc vui lòng xin liên hệ hotline: 084 283 45 85