ĐỀ 51
Câu 1. Giải phương trình:
Câu 2.Cho phương trình ẩn
1) Tìm để phương trình đã cho nhận làm nghiệm
2) Tìm để phương trình đã cho có nghiệm duy nhất. Tìm nghiệm duy nhất theo
Câu 3.Giải bài toán bằng cách lập phương trình :
Theo kế hoạch hai tổ sản xuất phải làm
sản phẩm. Do cải tiến kỹ thuật nên tổ 1 vượt mức
tổ 2 vượt mức 15% so với kế hoạch. Vì vậy hai tổ sản xuất được
sản phẩm. Hỏi theo kế hoạch mỗi tổ sản xuất được bao nhiêu sản phẩm. Câu 4.Cho hình bình hành có trên cạnh lấy điểm sao cho . Đường thẳng cắt
tại O và cắt đường thẳng tại 1) Chứng minh 2) Tính và 3) Chứng minh
4) Gọi K là giao điểm của hai đường thẳng với Tính
Câu 5. Giải phương trình
Đề thi giữa kì 2 Toán 8 năm 2023 - Đề 51
579
290 lượt tải
MUA NGAY ĐỂ XEM TOÀN BỘ TÀI LIỆU
CÁCH MUA:
- B1: Gửi phí vào TK:
1133836868- CT TNHH DAU TU VA DV GD VIETJACK - Ngân hàng MB (QR) - B2: Nhắn tin tới Zalo VietJack Official ( nhấn vào đây ) để xác nhận thanh toán và tải tài liệu - giáo án
Liên hệ ngay Hotline hỗ trợ: 084 283 45 85
Đề thi được cập nhật liên tục trong gói này từ nay đến hết tháng 6/2023. Chúng tôi đảm bảo đủ số lượng đề đã cam kết hoặc có thể nhiều hơn, tất cả có BẢN WORD, LỜI GIẢI CHI TIẾT và tải về dễ dàng.
Để tải tài liệu gốc về máy bạn click vào nút Tải Xuống ở trên!
Thuộc bộ (mua theo bộ để tiết kiệm hơn):
- Tailieugiaovien.com.vn giới thiệu bộ 100 đề thi giữa học kì 1 môn Toán lớp 8 mới nhất năm 2022 - 2023 nhằm giúp Giáo viên có thêm tài liệu tham khảo ra đề thi Toán lớp 10.
- File word có lời giải chi tiết 100%.
- Mua trọn bộ sẽ tiết kiệm hơn tải lẻ 50%.
Đánh giá
4.6 / 5(579 )5
4
3
2
1
Trọng Bình
Tài liệu hay
Giúp ích cho tôi rất nhiều
Duy Trần
Tài liệu chuẩn
Rất thích tài liệu bên VJ soạn (bám sát chương trình dạy)
TÀI LIỆU BỘ BÁN CHẠY MÔN Toán Học
Xem thêmTÀI LIỆU BỘ BÁN CHẠY Lớp 8
Xem thêmTài liệu bộ mới nhất

Đây là bản xem thử, vui lòng mua tài liệu để xem(có lời giải) chi tiết
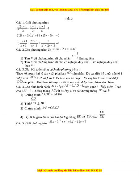
ĐỀ 51
Câu 1. Giải phương trình:
Câu 2.Cho phương trình ẩn
1) Tìm để phương trình đã cho nhận làm nghiệm
2) Tìm để phương trình đã cho có nghiệm duy nhất. Tìm nghiệm duy nhất
theo
Câu 3.Giải bài toán bằng cách lập phương trình :
Theo kế hoạch hai tổ sản xuất phải làm sản phẩm. Do cải tiến kỹ thuật nên tổ 1
vượt mức tổ 2 vượt mức 15% so với kế hoạch. Vì vậy hai tổ sản xuất được
sản phẩm. Hỏi theo kế hoạch mỗi tổ sản xuất được bao nhiêu sản phẩm.
Câu 4.Cho hình bình hành có trên cạnh lấy điểm sao
cho . Đường thẳng cắt tại O và cắt đường thẳng tại
1) Chứng minh
2) Tính và
3) Chứng minh
4) Gọi K là giao điểm của hai đường thẳng với Tính
Câu 5. Giải phương trình
Mọi thắc mắc vui lòng xin liên hệ hotline: 084 283 45 85
