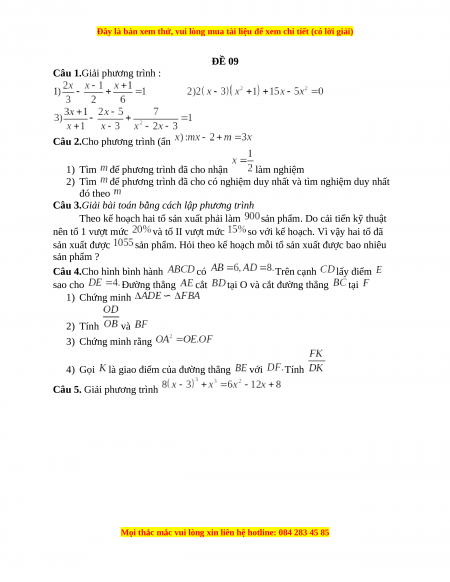
ĐỀ 09
Câu 1.Giải phương trình :
Câu 2.Cho phương trình (ẩn
1) Tìm để phương trình đã cho nhận làm nghiệm
2) Tìm để phương trình đã cho có nghiệm duy nhất và tìm nghiệm duy nhất đó theo
Câu 3.Giải bài toán bằng cách lập phương trình
Theo kế hoạch hai tổ sản xuất phải làm
sản phẩm. Do cải tiến kỹ thuật nên tổ 1 vượt mức và tổ II vượt mức
so với kế hoạch. Vì vậy hai tổ đã sản xuất được
sản phẩm. Hỏi theo kế hoạch mỗi tổ sản xuất được bao nhiêu sản phẩm ?
Câu 4.Cho hình bình hành có Trên cạnh lấy điểm sao cho Đường thẳng cắt
tại O và cắt đường thẳng tại 1) Chứng minh 2) Tính và 3) Chứng minh rằng
4) Gọi là giao điểm của đường thẳng với Tính
Câu 5. Giải phương trình
Đề thi giữa kì 2 Toán 8 năm 2023 - Đề 9
516
258 lượt tải
MUA NGAY ĐỂ XEM TOÀN BỘ TÀI LIỆU
CÁCH MUA:
- B1: Gửi phí vào TK:
1053587071
- NGUYEN VAN DOAN - Ngân hàng Vietcombank (QR) - B2: Nhắn tin tới Zalo VietJack Official ( nhấn vào đây ) để xác nhận thanh toán và tải tài liệu - giáo án
Liên hệ ngay Hotline hỗ trợ: 084 283 45 85
Đề thi được cập nhật liên tục trong gói này từ nay đến hết tháng 6/2023. Chúng tôi đảm bảo đủ số lượng đề đã cam kết hoặc có thể nhiều hơn, tất cả có BẢN WORD, LỜI GIẢI CHI TIẾT và tải về dễ dàng.
Để tải tài liệu gốc về máy bạn click vào nút Tải Xuống ở trên!
Thuộc bộ (mua theo bộ để tiết kiệm hơn):
- Tailieugiaovien.com.vn giới thiệu bộ 100 đề thi giữa học kì 1 môn Toán lớp 8 mới nhất năm 2022 - 2023 nhằm giúp Giáo viên có thêm tài liệu tham khảo ra đề thi Toán lớp 10.
- File word có lời giải chi tiết 100%.
- Mua trọn bộ sẽ tiết kiệm hơn tải lẻ 50%.
Đánh giá
4.6 / 5(516 )5
4
3
2
1

Trọng Bình
Tài liệu hay
Giúp ích cho tôi rất nhiều

Duy Trần
Tài liệu chuẩn
Rất thích tài liệu bên VJ soạn (bám sát chương trình dạy)
TÀI LIỆU BỘ BÁN CHẠY MÔN Toán Học
Xem thêmTÀI LIỆU BỘ BÁN CHẠY Lớp 8
Xem thêmTài liệu bộ mới nhất

Đây là bản xem thử, vui lòng mua tài liệu để xem chi tiết (có lời giải)
ĐỀ 09
Câu 1.Giải phương trình :
Câu 2.Cho phương trình (ẩn
1) Tìm để phương trình đã cho nhận làm nghiệm
2) Tìm để phương trình đã cho có nghiệm duy nhất và tìm nghiệm duy nhất
đó theo
Câu 3.Giải bài toán bằng cách lập phương trình
Theo kế hoạch hai tổ sản xuất phải làm sản phẩm. Do cải tiến kỹ thuật
nên tổ 1 vượt mức và tổ II vượt mức so với kế hoạch. Vì vậy hai tổ đã
sản xuất được sản phẩm. Hỏi theo kế hoạch mỗi tổ sản xuất được bao nhiêu
sản phẩm ?
Câu 4.Cho hình bình hành có Trên cạnh lấy điểm
sao cho Đường thẳng cắt tại O và cắt đường thẳng tại
1) Chứng minh
2) Tính và
3) Chứng minh rằng
4) Gọi là giao điểm của đường thẳng với Tính
Câu 5. Giải phương trình
Mọi thắc mắc vui lòng xin liên hệ hotline: 084 283 45 85