Đây là bản xem th , vu ử i lòng mua tài li u ệ đ xe ể m chi ti t ế (có l i ờ gi i ả )
SỞ GD&ĐT VĨNH PHÚC Đ Ề THI TH Ử T T Ố NGHI P
Ệ THPT NĂM 2021 – L N Ầ 3 TRƯ N Ờ G THPT QU Ế VÕ 1
Bài thi: KHOA HỌC T N Ự HIÊN Môn thi thành ph n ầ : V T Ậ LÝ (Đề thi g m ồ 5 trang) Th i
ờ gian làm bài: 50 phút, không k t ể h i ờ gian phát đề Câu 1: S nuc ố
lôn có trong hạt nhân 27 Al là 13 A. 14. B. 40. C. 13. D. 27. Câu 2: M t
ộ tia sáng đi từ không khí vào m t ộ môi trư ng ờ trong su t ấ có chi t ế su t ấ b ng ằ 2 . Biết góc khúc xạ bằng 300, góc t i ớ có giá trị bằng A. 600. B. 900. C. 300. D. 450. Câu 3: M t ộ sóng cơ h c ọ có t n ầ số f lan truy n ề trong môi trư ng ờ đàn h i ồ v i ớ t c
ố độ là v , khi đó bư c ớ sóng đư c ợ tính bằng vf 2 f v f A. . B. . C. . D. . 2 v f v
Câu 4: Cho bán kính Bo 11 r 5 ,3.10 m, hằng số Cu – lông 9 Nm2/C2, đi n ệ tích nguyên tố 0 k 9. 10 19 e 1 , 6.10 C và kh i ố lư ng ợ electron 31 m 9 ,1.10
kg. Trong nguyên tử hiđro, n u ế coi electron chuy n ể đ ng ộ trong đ u qua ề nh hạt nhân thì qu ở ỹ đạo L, t c ố đ góc ộ c a ủ electron là A. 4,6.1016 rad/s. B. 2,4.1016 rad/s. C. 1,5.1016 rad/s. D. 0,5.1016 rad/s.
Câu 5: Quang đi n (ngoà ệ i) là hi n ệ tư ng e ợ lectron bật ra kh i ỏ
A. kim loại bị nung nóng. B. kim loại khi b c ị hiếu sáng thích h p. ợ C. nguyên t khi ử va chạm v i ớ m t ộ nguyên t khá ử c. D. kim loại khi b i ị on dư ng ơ đ p và ậ o. Câu 6: Cho m c ạ h đi n ệ như hình v : ẽ đi n ệ trở R , cu n ộ dây thu n ầ c m ả L và tụ đi n ệ có đi n ệ dung thay đ i ổ đư c ợ , vôn kế V V 1 và 2 lí tư ng. ở Đ t ặ vào hai đ u ầ đo n ạ m c ạ h đi n ệ áp xoay chi u ề có t n ầ s ố và đi n ệ áp hi u ệ d ng ụ không đ i ổ . N u ế đi n ệ dung c a ủ tụ gi m ả xu ng ố từ giá trị V 1 1 C thì R 2 L C L A. s c ố hỉ c a
ủ hai vôn kế đều tăng. A B M N B. s c ố hỉ V V V2 1 tăng, s c ố hỉ 2 giảm. C. s c ố hỉ c a
ủ hai vôn kế đều giảm. D. s c ố hỉ V V 1 giảm, s c ố h ỉ 2 tăng.
Câu 7: Theo thuyết lư ng ợ t á ử nh sáng, phát bi u nà ể o sau đây là sai?
A. Phôtôn luôn bay v i ớ t c ố đ ộ 8 c 3 .10 m/s d c ọ theo tia sáng. B. Ánh sáng đư c ợ tạo thành t c ừ ác hạt, g i ọ là phôtôn. C. Phôtôn c a ủ các ánh sáng đ n s ơ c
ắ khác nhau mang năng lư ng ợ khác nhau.
D. Không có phôtôn t ở rạng thái đ ng yê ứ n.
Câu 8: Trong thí nghi m
ệ Y-âng về giao thoa ánh sáng đ n ơ s c ắ , kho ng ả cách gi a ữ 6 vân sáng liên ti p ế trên
màn quan sát là 1 cm. Khoảng vân trên màn là A. 2 mm. B. 0,5 mm. C. 5 mm. D. 2,5 mm. Câu 9: Mắc đi n ệ trở R 1 4 Ω vào ngu n ồ đi n ệ m t ộ chi u ề có su t ấ đi n ệ đ ng ộ 6 V, đi n ệ trở trong r 1
Ω tạo thành mạch kín. Cư ng ờ đ dòng đi ộ n t ệ rong mạch là A. 0,46 A. B. 2,50 A. C. 0,40 A. D. 0,42 A. Câu 10: M t ộ chất điểm dao đ ng v ộ i ớ phư ng t ơ rình x 4
cos 4 t cm. Biên đ da ộ o đ ng ộ c a ủ chất đi m ể là A. 8 cm. B. 4 cm. C. 2 cm. D. 4 cm. Câu 11: Tác d ng n ụ i ổ b t ậ nh t ấ c a ủ tia h ng ồ ngo i ạ là M i
ọ thắc mắc vui lòng xin liên h h
ệ otline: 084 283 45 85 Trang 1/17 - Mã đ ề thi 101
Đây là bản xem th , vu ử i lòng mua tài li u ệ đ xe ể m chi ti t ế (có l i ờ gi i ả )
A. làm ion hóa không khí. B. tác d ng s ụ inh h c ọ . C. tác d ng nhi ụ t ệ . D. làm phát quang m t ộ s c ố hất. Câu 12: M t ộ máy bi n ế áp lí tư ng ở cung c p ấ công su t ấ 4 kW có đi n ệ áp hi u ệ d ng ụ đ ở u ầ cu n ộ th ứ c p ấ là 220 V. N i ố hai đ u ầ cu n ộ th c ứ c p ấ v i ớ đư ng ờ dây t i ả đi n ệ có đi n ệ trở b ng ằ 2 Ω. Đi n ệ áp hi u ệ d ng ụ ở cu i ố đư ng ờ dây tải đi n ệ là A. 183,7 V. B. 36,3 V. C. 201,8 V. D. 18,2 V. Câu 13: M t ộ ngư i ờ ch y ạ t p ậ thể d c ụ trên m t ộ con đư ng
ờ hình vuông khép kín có chu vi 400 m. Bên trong vùng đ t ấ đư c ợ bao b i ở con đư ng ờ có đ t ặ m t ộ ngu n ồ âm đi m ể phát âm đ ng ẳ hư ng ớ ra bên ngoài. Khi đi h t ế m t
ộ vòng khép kín thì ngư i ờ đó th y ấ có hai v ịtrí mà m c ứ cư ng ờ đ ộ âm b ng ằ nhau và là l n ớ nhất có giá trị L L L L 10 1 và có m t ộ đi m ể duy nh t ấ m c ứ cư ng ờ độ âm nhỏ nh t ấ là 2 trong đó 1 2 dB. Khoảng cách từ ngu n â ồ m đến tâm c a ủ hình vuông tạo b i ở con đư ng ờ g n ầ nh t v ấ i ớ giá tr n ị ào sau đây? A. 40m B. 26m C. 36m D. 31 m Câu 14: M t ộ con l c ắ đ n ơ có chi u ề dài l 0 , 6 m, dao đ ng ộ đi u ề hòa t i ạ n i ơ có gia t c ố tr ng ọ trư ng ờ 2 g 9
,8m / s , v i ớ biên độ góc 0 9 ộ ố ộ ự ạ ủ ậ ỏ g n ầ nh t ấ 0
. Trong quá trình dao đ ng, t c đ c c đ i c a v t nh v i ớ giá trị A. 0,75 m/s. B. 31,5 cm/s. C. 1,1 m/s. D. 0,47 m/s. Câu 15: Hai ngu n ồ sóng ,
A B cách nhau 19 cm, dao đ ng ộ theo phư ng ơ vuông góc v i ớ m t ặ thoáng c a ủ chất l ng ỏ v i ớ phư ng ơ trình là u u a cos(20 t) t A B (v i ớ tính bằng s). T c ố độ truy n ề sóng trên m t ặ
thoáng là 40 cm/s. M là đi m ể ở mặt thoáng g n
ầ A nhất sao cho ph n ầ tử ch t ấ l ng ỏ t i ạ M dao đ ng ộ v i ớ biên đ c ộ c ự đại và cùng pha v i ớ ngu n. ồ Kho ng c ả ách MA bằng A. 4 cm. B. 2 2 cm. C. 2 cm. D. 5 cm. Câu 16: Mắc n i ố ti p: ế đi n ệ trở thu n, ầ cu n ộ dây không thu n ầ c m ả và tụ đi n ệ vào đi n ệ áp u 65
2 cos 100t V thì đi n á ệ p hi u ệ d ng ụ ha ở i đầu đi n ệ tr , c ở u n ộ dây và t đi ụ n l ệ n l ầ ư t ợ là 13 V, 13 V và 65 V. Hệ s c ố ông suất c a ủ cu n ộ dây là: 5 12 13 4 A. . B. . C. . D. . 13 13 65 5 Câu 17: Năng lư ng ợ c a ủ phôtôn m t ộ ánh sáng đ n ơ s c ắ là 2,0 eV. Cho 34 h 6 , 625.10 J.s, 8 c 3 .10 m/s, 19 1eV 1 , 6.10 J. Bư c ớ sóng c a ủ ánh sáng đ n s ơ c
ắ có giá tr ịxấp xỉ bằng A. 0,46 μm. B. 0,62 μm. C. 0,57 μm. D. 0,60 μm. Câu 18: Bi t ế công thoát electron c a ủ các kim lo i ạ b c ạ , canxi, kali và đ ng ồ l n ầ lư t ợ là 4,78 eV; 2,89 eV; 2,26 eV và 4,14 eV. L y ấ 34 h 6 , 625.10 J.s, 8 c 3 .10 m/s, 19 1eV 1 , 6.10 J. Chi u ế b c ứ xạ có bư c ớ sóng 0,33 μm vào b m ề ặt các kim lo i ạ trên, hi n t ệ ư ng ợ quang đi n x ệ y ra ả ở A. kali và đ ng. ồ B. kali và canxi. C. bạc và đ ng. ồ D. canxi và bạc. Câu 19: M t ộ s i ợ dây đàn h i ồ có chi u ề dài 2 m m t ộ đ u ầ g n ắ v i ớ đi m ể c ố đ nh, ị đ u ầ kia dao đ ng ộ v i ớ t n ầ số 100 Hz theo phư ng ơ vuông góc v i
ớ dây. Khi đó, trên dây có sóng d ng ừ v i ớ 5 b ng ụ (hai đ u ầ dây coi là hai nút). T c ố đ t ộ ruy n s ề óng trên dây là A. 80 m/s. B. 50 m/s. C. 40 m/s. D. 65 m/s. Câu 20: Mắc đi n ệ trở thu n ầ R n i ố ti p ế v i ớ cu n ộ c m ả thu n ầ L vào đi n ệ áp xoay chi u ề u = U0cosωt. R Biết , cư ng ờ đ dòng đi ộ n t ệ c ứ th i ờ trong m c ạ h L A. trễ pha so v i ớ đi n á ệ p u . B. s m ớ pha so v i ớ đi n á ệ p u . 4 4 C. trễ pha so v i ớ đi n á ệ p u . D. s m ớ pha so v i ớ đi n á ệ p u . 2 2
Câu 21: Sóng vô tuy n c ế
ó khả năng xuyên qua tầng điện li là A. sóng dài. B. sóng trung. C. sóng c c ự ngắn. D. sóng ngắn. M i
ọ thắc mắc vui lòng xin liên h h
ệ otline: 084 283 45 85 Trang 2/17 - Mã đ ề thi 101
Đây là bản xem th , vu ử i lòng mua tài li u ệ đ xe ể m chi ti t ế (có l i ờ gi i ả ) Câu 22: M t ộ con l c ắ lò xo g m ồ v t ậ nhỏ có kh i ố lư ng
ợ m và lò xo nhẹ có độ c ng
ứ k . Tần số dao đ ng ộ riêng c a ủ con lắc là m m 1 k k A. 2 . B. . C. . D. . k k 2 m m
Câu 23: Làm thí nghi m ệ giao thoa ánh sáng v i ớ hai khe Y−âng đ ng ồ th i ờ v i ớ hai ánh sáng đ n ơ s c ắ đ n ơ sắc màu đỏ và màu l c ụ thì kho ng
ả vân giao thoa trên màn l n ầ lư t
ợ là 1,5 mm và 1,1 mm. Hai đi m ể M và
N nằm hai bên vân sáng trung tâm và cách vân trung tâm l n ầ lư t ợ là 6,4 mm và 26,5 mm. s ố vân sáng màu đỏ quan sát đư c ợ trên đoạn MN là A. 22. B. 20. C. 28. D. 2. Câu 24: Trong m c ạ h dao đ ng ộ LC lí tư ng, ở hệ số tự c m ả L và đi n ệ dung C . T c ố độ truy n ề ánh sáng
trong chân không là c . Bư c
ớ sóng mà mạch này có thể phát ra đư c ợ tính theo công th c ứ A. 2 C cL . B. c LC . C. c LC . D. 2 c LC . Câu 25: Đặt đi n ệ áp u U 2cost vào hai đ u ầ t đi ụ n ệ có đi n ệ dung C . Bi u ể th c ứ cư ng ờ đ dòng ộ đi n ệ t c ứ th i ờ là U 2 A. i cos( t ) . B. i U C 2cos( t ) . C 2 2 U 2 C. i U C 2cos( t ) . D. i cos(t ) . 2 C 2 Câu 26: Khi chi u ế ánh sáng đ n ơ s c ắ màu l c ụ vào m t ộ ch t
ấ huỳnh quang thì ánh sáng huỳnh quang phát ra
không thể là ánh sáng A. màu cam. B. màu vàng. C. màu lam. D. màu đ . ỏ
Câu 27: Từ thông qua m t ộ khung dây d n ẫ tăng đ u ề từ 0,01 Wb đ n ế 0,04 Wb trong th i ờ gian 0,6s. Su t ấ đi n ệ đ ng c ộ ảm ng xu ứ ất hi n t
ệ rong khung dây có độ l n b ớ ằng A. 20 V. B. 15 V. C. 0,06 V. D. 0,05 V. 2 Câu 28: Đặt đi n ệ áp xoay chi u ề u = U0cos (
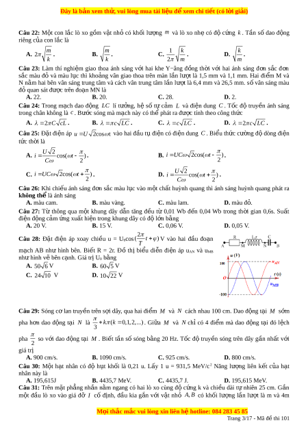
t ) V vào hai đ u ầ đo n ạ T
mạch AB như hình bên. Bi t ế R = 2r. Đồ thị bi u ể di n ễ đi n ệ áp uAN và uMB như hình v bê ẽ n cạnh. Giá trị U0 bằng A. 50 6 V B. 60 5 V C. 24 10 V D. 10 22 V
Câu 29: Sóng cơ lan truy n ề trên s i ợ dây, qua hai đi m
ể M và N cách nhau 100 cm. Dao đ ng ộ t i ạ M s m ớ pha h n ơ dao đ ng ộ t i
ạ N là k (k 0 ,1, 2,...) . Gi a
ữ M và N chỉ có 4 đi m ể mà dao đ ng ộ t i ạ đó l c ệ h 3 pha so v i ớ dao đ ng ộ t i ạ M . Bi t ế tần số sóng b ng ằ 20 Hz. T c ố đ ộ truy n ề sóng trên dây g n ầ nh t ấ v i ớ 2 giá trị A. 900 cm/s. B. 1090 cm/s. C. 925 cm/s. D. 800 cm/s. Câu 30: M t ộ hạt nhân có độ h t ụ kh i ố là 0,21 u. L y
ấ 1 u = 931,5 MeV/c2 Năng lư ng ợ liên k t ế c a ủ h t ạ nhân này là A. 195,615J B. 4435,7 MeV. C. 4435,7 J. D. 195,615 MeV.
Câu 31: Trên mặt ph ng ẳ nh n ắ n m
ằ ngang có hai lò xo cùng đ ộ c ng ứ k và chi u ề dài t ự nhiên 25 cm. G n ắ m t
ộ đầu lò xo vào giá đỡ I cố đ nh, ị đ u ầ kia g n ắ v i ớ v t ậ nhỏ , A B có kh i ố lư ng ợ l n ầ lư t ợ là m và 4m M i
ọ thắc mắc vui lòng xin liên h h
ệ otline: 084 283 45 85 Trang 3/17 - Mã đ ề thi 101
Đây là bản xem th , vu ử i lòng mua tài li u ệ đ xe ể m chi ti t ế (có l i ờ gi i ả ) (Hình v ). ẽ Ban đ u ầ , A B đư c ợ giữ đ ng ứ yên sao cho lò xo g n
ắ A dãn 5 cm, lò xo g n ắ B nén 5 cm. Đ ng ồ th i ờ buông tay đ c ể ác vật dao đ ng, khi ộ
đó khoảng cách nhỏ nhất gi a
ữ A và B gần v i ớ giá trị A I B A. 55 cm. B. 50 cm. C. 40 cm. D. 45 cm. Câu 32: Quang ph l ổ iên t c ụ không đư c ợ phát ra b i ở A. chất khí á
ở p suất thấp b nung nóng. ị B. chất khí á ở p suất cao b nung nóng. ị
C. chất rắn b nung nóng. ị D. chất l ng ỏ b nung nóng. ị Câu 33: Rôto c a ủ máy phát đi n ệ xoay chi u ề m t ộ pha quay v i ớ t c ố đ
ộ 750 vòng/phút, cho dòng đi n ệ xoay chiều có tần s 50 H ố z. S c ố ặp c c ự c a ủ rôto là A. 4. B. 2. C. 16. D. 8. Câu 34: Đặt đi n ệ áp xoay chi u ề vào hai đ u ầ đo n ạ m c ạ h ch a ứ đi n ệ trở R , cu n ộ thu n ầ c m ả và tụ đi n ệ mắc n i ố ti p. ế G i ọ c m
ả kháng và dung kháng trong m c ạ h l n ầ lư t ợ là Z Z L và
C . Hệ số công su t ấ tiêu thụ c a ủ đoạn mạch là R 2 2 R R (Z Z ) Z Z A. B. L C C. D. L C Z Z 2 2
R (Z Z ) L C R R L C Câu 35: Các b c
ứ xạ có tần số giảm dần theo th t ứ : ự
A. Tia X , tia t ngo ử
ại, ánh sáng nhìn thấy, tia h ng ngo ồ ại. B. Tia h ng
ồ ngoại, ánh sáng nhìn thấy, tia tử ngoại, tia X . C. Tia h ng ngo ồ
ại, tia tử ngoại, ánh sáng nhìn thấy, tia X .
D. Tia tử ngoại, tia h ng
ồ ngoại, tia X , ánh sáng nhìn thấy. Câu 36: M t ộ nhà v t ậ lí h t ạ nhân làm thí nghi m ệ xác đ nh ị chu kì bán rã T c a ủ m t ộ ch t ấ phóng xạ b ng ằ cách dùng máy đ m ế xung đ ể đo tỉ lệ gi a ữ số h t ạ b ịphân rã ∆N và s ố h t ạ ban đ u ầ N0. D a ự vào k t ế quả th c ự nghi m ệ đo đư c ợ trên hình v , hã ẽ y tính T? A. 8,82 ngày B. 138 ngày C. 5,6 ngày D. 3,8 ngày Câu 37: Mắc n i ố ti p: ế đi n t ệ rở R , cu n
ộ dây thuần cảm L và t đi ụ n ệ C th a ỏ mãn 2
4L R C vào điện áp xoay chi u ề có t n ầ số thay đ i ổ đư c ợ . Khi t n ầ số b ng
ằ f0 thì hệ số công su t ấ c a ủ đo n ạ m c ạ h b ng ằ 0,8. f Khi tần s b
ố ằng 0 thì hệ số công suất c a
ủ đoạn mạch gần nhất v i ớ giá trị 2 A. 0,86 B. 0,71. C. 0,50. D. 0,80. Câu 38: Cho cư ng ờ đ ộ âm chu n â c a ủ âm là 1 pW/m2. Tại m t ộ đi m ể có m c ứ cư ng ờ độ âm là 90 dB thì cư ng ờ đ â ộ m bằng A. 0,1 nW/m2. B. 0,1 GW/m2. C. 0,1 W/m2. D. 1 mW/m2.
Câu 39: Vật nhỏ trong con l c ắ lò xo dao đ ng ộ đi u ề hòa theo phư ng ơ th ng ẳ đ ng ứ v i ớ chu kì 0,4 s. Trong m i ỗ chu kì dao đ ng, ộ th i ờ gian lò xo bị dãn l n ớ g p ấ hai l n ầ th i ờ gian lò xo b ịnén. L y ấ 2 g m/s2. Biên độ dao đ ng c ộ a ủ con lắc bằng A. 1 cm. B. 8 cm. C. 2 cm. D. 4 cm. Câu 40: Trong hi n ệ tư ng ợ giao thoa c a ủ hai ngu n ồ sóng cùng t n ầ s ố và cùng pha. Bi t ế là bư c ớ sóng,
k là số nguyên. Nh ng ữ đi m ể t i ạ đó biên độ dao đ ng ộ c c ự ti u ể là nh ng ữ đi m ể mà hi u ệ đư ng ờ đi c a ủ hai sóng từ hai ngu n ồ truy n t ề i ớ b ng ằ
A. (k 0,5) .
B. (k 0,5) .
C. (2k 1) . D. k . 2 ----------- H T Ế ---------- M i
ọ thắc mắc vui lòng xin liên h h
ệ otline: 084 283 45 85 Trang 4/17 - Mã đ ề thi 101
Đề thi thử Vật Lí trường Quế Võ năm 2021
338
169 lượt tải
MUA NGAY ĐỂ XEM TOÀN BỘ TÀI LIỆU
CÁCH MUA:
- B1: Gửi phí vào TK:
1053587071
- NGUYEN VAN DOAN - Ngân hàng Vietcombank (QR) - B2: Nhắn tin tới Zalo VietJack Official ( nhấn vào đây ) để xác nhận thanh toán và tải tài liệu - giáo án
Liên hệ ngay Hotline hỗ trợ: 084 283 45 85
Đề thi được cập nhật liên tục trong gói này từ nay đến hết tháng 6/2023. Chúng tôi đảm bảo đủ số lượng đề đã cam kết hoặc có thể nhiều hơn, tất cả có BẢN WORD, LỜI GIẢI CHI TIẾT và tải về dễ dàng.
Để tải tài liệu gốc về máy bạn click vào nút Tải Xuống ở trên!
Thuộc bộ (mua theo bộ để tiết kiệm hơn):
- Tailieugiaovien.com.vn giới thiệu Đề thi thử Vật Lí trường Quế Võ năm 2021 bản word có lời giải chi tiết.
- Mua trọn bộ sẽ tiết kiệm hơn tải lẻ 50%.
Đánh giá
4.6 / 5(338 )5
4
3
2
1

Trọng Bình
Tài liệu hay
Giúp ích cho tôi rất nhiều

Duy Trần
Tài liệu chuẩn
Rất thích tài liệu bên VJ soạn (bám sát chương trình dạy)
TÀI LIỆU BỘ BÁN CHẠY MÔN Vật Lý
Xem thêmTÀI LIỆU BỘ BÁN CHẠY Tốt nghiệp THPT
Xem thêmTài liệu bộ mới nhất

Đây là b n xem th , vui lòng mua tài li u đ xem chi ti t (có l i gi i)ả ử ệ ể ế ờ ả
S GD&ĐT VĨNH PHÚCỞ
TR NG THPT QU VÕ 1ƯỜ Ế
(Đ thi g m 5 trang)ề ồ
Đ THI TH T T NGHI P THPT NĂM 2021 – L N 3Ề Ử Ố Ệ Ầ
Bài thi: KHOA H C T NHIÊNỌ Ự
Môn thi thành ph n: V T LÝầ Ậ
Th i gian làm bài: 50 phút, không k th i gian phát đờ ể ờ ề
Câu 1: S nuclôn có trong h t nhân ố ạ
27
13
Al
là
A. 14. B. 40. C. 13. D. 27.
Câu 2: M t tia sáng đi t không khí vào m t môi tr ng trong su t có chi t su t b ng ộ ừ ộ ườ ấ ế ấ ằ
2
. Bi t góc khúcế
x b ng 30ạ ằ
0
, góc t i có giá tr b ngớ ị ằ
A. 60
0
. B. 90
0
. C. 30
0
. D. 45
0
.
Câu 3: M t sóng c h c có t n s ộ ơ ọ ầ ố
f
lan truy n trong môi tr ng đàn h i v i t c đ là ề ườ ồ ớ ố ộ
v
, khi đó b cướ
sóng đ c tính b ngượ ằ
A.
2
vf
. B.
2 f
v
. C.
v
f
. D.
f
v
.
Câu 4: Cho bán kính Bo
11
0
5,3.10r
m, h ng s Cu – lông ằ ố
9
9.10k
Nm
2
/C
2
, đi n tích nguyên tệ ố
19
1,6.10e
C và kh i l ng electron ố ượ
31
9,1.10m
kg. Trong nguyên t hiđro, n u coi electron chuy nử ế ể
đ ng trong đ u quanh h t nhân thì qu đ o L, t c đ góc c a electron làộ ề ạ ở ỹ ạ ố ộ ủ
A. 4,6.10
16
rad/s. B. 2,4.10
16
rad/s. C. 1,5.10
16
rad/s. D. 0,5.10
16
rad/s.
Câu 5: Quang đi n (ngoài) là hi n t ng electron b t ra kh iệ ệ ượ ậ ỏ
A. kim lo i b nung nóng.ạ ị
B. kim lo i khi b chi u sáng thích h p.ạ ị ế ợ
C. nguyên t khi va ch m v i m t nguyên t khác.ử ạ ớ ộ ử
D. kim lo i khi b ion d ng đ p vào.ạ ị ươ ậ
Câu 6: Cho m ch đi n nh hình v : đi n tr ạ ệ ư ẽ ệ ở
R
, cu n dây thu n c m ộ ầ ả
L
và t đi n có đi n dung thayụ ệ ệ
đ i đ c, vôn k ổ ượ ế
1
V
và
2
V
lí t ng. Đ t vào hai đ u đo n m ch đi n áp xoay chi u có t n s và đi n ápưở ặ ầ ạ ạ ệ ề ầ ố ệ
hi u d ng không đ i. N u đi n dung c a t gi m xu ng t giá trệ ụ ổ ế ệ ủ ụ ả ố ừ ị
2
1
C
L
thì
A. s ch c a hai vôn k đ u tăng.ố ỉ ủ ế ề
B. s ch ố ỉ
1
V
tăng, s ch ố ỉ
2
V
gi m.ả
C. s ch c a hai vôn k đ u gi m.ố ỉ ủ ế ề ả
D. s ch ố ỉ
1
V
gi m, s ch ả ố ỉ
2
V
tăng.
Câu 7: Theo thuy t l ng t ánh sáng, phát bi u nào sau đây là ế ượ ử ể sai?
A. Phôtôn luôn bay v i t c đ ớ ố ộ
8
3.10c
m/s d c theo tia sáng.ọ
B. Ánh sáng đ c t o thành t các h t, g i là phôtôn.ượ ạ ừ ạ ọ
C. Phôtôn c a các ánh sáng đ n s c khác nhau mang năng l ng khác nhau.ủ ơ ắ ượ
D. Không có phôtôn tr ng thái đ ng yên.ở ạ ứ
Câu 8: Trong thí nghi m Y-âng v giao thoa ánh sáng đ n s c, kho ng cách gi a 6 vân sángệ ề ơ ắ ả ữ liên ti p trênế
màn quan sát là 1 cm. Kho ng vân trên màn làả
A. 2 mm. B. 0,5 mm. C. 5 mm. D. 2,5 mm.
Câu 9: M c đi n tr ắ ệ ở
14R
Ω vào ngu n đi n m t chi u có su t đi n đ ng ồ ệ ộ ề ấ ệ ộ
6
V, đi n tr trong ệ ở
1r
Ω t o thành m ch kín. ạ ạ C ng đ dòng đi n trong m ch làườ ộ ệ ạ
A. 0,46 A. B. 2,50 A. C. 0,40 A. D. 0,42 A.
Câu 10: M t ch t đi m dao đ ng v i ph ng trình ộ ấ ể ộ ớ ươ
4cos 4x t
cm. Biên đ dao đ ng c a ch t đi m làộ ộ ủ ấ ể
A. 8 cm. B.
4
cm. C. 2 cm. D. 4 cm.
Câu 11: Tác d ng n i b t nh t c a tia h ng ngo i làụ ổ ậ ấ ủ ồ ạ
M i th c m c vui lòng xin liên h hotline: 084 283 45 85ọ ắ ắ ệ
Trang 1/17 - Mã đ thi 101ề
A
B
R
L
C
M
1
V
2
V
N

Đây là b n xem th , vui lòng mua tài li u đ xem chi ti t (có l i gi i)ả ử ệ ể ế ờ ả
A. làm ion hóa không khí. B. tác d ng sinh h c.ụ ọ
C. tác d ng nhi t.ụ ệ D. làm phát quang m t s ch t.ộ ố ấ
Câu 12: M t máy bi n áp lí t ng cung c p công su t 4 kW có đi n áp hi u d ng đ u cu n th c p làộ ế ưở ấ ấ ệ ệ ụ ở ầ ộ ứ ấ
220 V. N i hai đ u cu n th c c p v i đ ng dây t i đi n có đi n tr b ng 2 Ω. Đi n áp hi u d ng ố ầ ộ ứ ấ ớ ườ ả ệ ệ ở ằ ệ ệ ụ ở
cu i đ ng dây t i đi n làố ườ ả ệ
A. 183,7 V. B. 36,3 V. C. 201,8 V. D. 18,2 V.
Câu 13: M t ng i ch y t p th d c trên m t con đ ng hình vuông khép kín có chu vi 400 m. Bênộ ườ ạ ậ ể ụ ộ ườ
trong vùng đ t đ c bao b i con đ ng có đ t m t ngu n âm đi m phát âm đ ng h ng ra bên ngoài.ấ ượ ở ườ ặ ộ ồ ể ẳ ướ
Khi đi h t m t vòng khép kín thì ng i đó th y có hai v trí mà m c c ng đ âm b ng nhau và là l nế ộ ườ ấ ị ứ ườ ộ ằ ớ
nh t có giá tr ấ ị
1
L
và có m t đi m duy nh t m c c ng đ âm nh nh t là ộ ể ấ ứ ườ ộ ỏ ấ
2
L
trong đó
1 2
10L L
dB.
Kho ng cách t ngu n âm đ n tâm c a hình vuông t o b i con đ ng ả ừ ồ ế ủ ạ ở ườ g n nh t v i giá tr nàoầ ấ ớ ị sau đây?
A. 40m B. 26m C. 36m D. 31 m
Câu 14: M t con l c đ n có chi u dài ộ ắ ơ ề
0,6l
m, dao đ ng đi u hòa t i n i có gia t c tr ng tr ngộ ề ạ ơ ố ọ ườ
2
9,8 /g m s
, v i biên đ góc ớ ộ
0
0
9
. Trong quá trình dao đ ng, t c đ c c đ i c a v t nh ộ ố ộ ự ạ ủ ậ ỏ g n nh tầ ấ
v i giá trớ ị
A. 0,75 m/s. B. 31,5 cm/s. C. 1,1 m/s. D. 0,47 m/s.
Câu 15: Hai ngu n sóng ồ
,A B
cách nhau 19 cm, dao đ ng theo ph ng vuông góc v i m t thoáng c aộ ươ ớ ặ ủ
ch t l ng v i ph ng trình là ấ ỏ ớ ươ
cos(20 )
A B
u u a t
(v i ớ
t
tính b ng s). T c đ truy n sóng trên m tằ ố ộ ề ặ
thoáng là 40 cm/s.
M
là đi m m t thoáng g n ể ở ặ ầ
A
nh t sao cho ph n t ch t l ng t i ấ ầ ử ấ ỏ ạ
M
dao đ ng v iộ ớ
biên đ c c đ i và cùng pha v i ngu n. Kho ng cách ộ ự ạ ớ ồ ả
MA
b ngằ
A. 4 cm. B.
2 2
cm. C. 2 cm. D. 5 cm.
Câu 16: M c n i ti p: đi n tr thu n, cu n dây không thu n c m và t đi n vào đi n ápắ ố ế ệ ở ầ ộ ầ ả ụ ệ ệ
65 2 cos 100u t
V thì đi n áp hi u d ng hai đ u đi n tr , cu n dây và t đi n l n l t là 13 V, 13ệ ệ ụ ở ầ ệ ở ộ ụ ệ ầ ượ
V và 65 V. H s công su t c a cu n dây là:ệ ố ấ ủ ộ
A.
5
13
. B.
12
13
. C.
13
65
. D.
4
5
.
Câu 17: Năng l ng c a phôtôn m t ánh sáng đ n s c là 2,0 eV. Cho ượ ủ ộ ơ ắ
34
6,625.10h
J.s,
8
3.10c
m/s,
19
1 1,6.10eV
J. B c sóng c a ánh sáng đ n s c có giá tr ướ ủ ơ ắ ị x p xấ ỉ b ngằ
A. 0,46 μm. B. 0,62 μm. C. 0,57 μm. D. 0,60 μm.
Câu 18: Bi t công thoát electron c a các kim lo i b c, canxi, kali và đ ng l n l t là 4,78 eV; 2,89 eV;ế ủ ạ ạ ồ ầ ượ
2,26 eV và 4,14 eV. L y ấ
34
6,625.10h
J.s,
8
3.10c
m/s,
19
1 1,6.10eV
J. Chi u b c x có b c sóngế ứ ạ ướ
0,33 μm vào b m t các kim lo i trên, hi n t ng quang đi n x y ra ề ặ ạ ệ ượ ệ ả ở
A. kali và đ ng.ồ B. kali và canxi. C. b c và đ ng.ạ ồ D. canxi và b c.ạ
Câu 19: M t s i dây đàn h i có chi u dài 2 m m t đ u g n v i đi m c đ nh, đ u kia dao đ ng v i t nộ ợ ồ ề ộ ầ ắ ớ ể ố ị ầ ộ ớ ầ
s 100 Hz theo ph ng vuông góc v i dây. Khi đó, trên dây có sóng d ng v i 5 b ng (hai đ u dây coi làố ươ ớ ừ ớ ụ ầ
hai nút). T c đ truy n sóng trên dây làố ộ ề
A. 80 m/s. B. 50 m/s. C. 40 m/s. D. 65 m/s.
Câu 20: M c đi n tr thu n ắ ệ ở ầ
R
n i ti p v i cu n c m thu n ố ế ớ ộ ả ầ
L
vào đi n áp xoay chi u u = Uệ ề
0
cosωt.
Bi t ế
R
L
, c ng đ dòng đi n t c th i trong m chườ ộ ệ ứ ờ ạ
A. tr pha ễ
4
so v i đi n áp ớ ệ
u
. B. s m pha ớ
4
so v i đi n áp ớ ệ
u
.
C. tr pha ễ
2
so v i đi n áp ớ ệ
u
. D. s m pha ớ
2
so v i đi n áp ớ ệ
u
.
Câu 21: Sóng vô tuy n có kh năng xuyên qua t ng đi n li làế ả ầ ệ
A. sóng dài. B. sóng trung. C. sóng c c ng n.ự ắ D. sóng ng n.ắ
M i th c m c vui lòng xin liên h hotline: 084 283 45 85ọ ắ ắ ệ
Trang 2/17 - Mã đ thi 101ề

Đây là b n xem th , vui lòng mua tài li u đ xem chi ti t (có l i gi i)ả ử ệ ể ế ờ ả
Câu 22: M t con l c lò xo g m v t nh có kh i l ng ộ ắ ồ ậ ỏ ố ượ
m
và lò xo nh có đ c ng ẹ ộ ứ
k
. T n s dao đ ngầ ố ộ
riêng c a con l c làủ ắ
A.
2
m
k
. B.
m
k
. C.
1
2
k
m
. D.
k
m
.
Câu 23: Làm thí nghi m giao thoa ánh sáng v i hai khe Y−âng đ ng th i v i hai ánh sáng đ n s c đ nệ ớ ồ ờ ớ ơ ắ ơ
s c màu đ và màu l c thì kho ng vân giao thoa trên màn l n l t là 1,5 mm và 1,1 mm. Hai đi m M vàắ ỏ ụ ả ầ ượ ể
N n m hai bên vân sáng trung tâm và cách vân trung tâm l n l t là 6,4 mm và 26,5 mm. s vân sáng màuằ ầ ượ ố
đ quan sát đ c trên đo n MN làỏ ượ ạ
A. 22. B. 20. C. 28. D. 2.
Câu 24: Trong m ch dao đ ng ạ ộ
LC
lí t ng, h s t c m ưở ệ ố ự ả
L
và đi n dung ệ
C
. T c đ truy n ánh sángố ộ ề
trong chân không là
c
. B c sóng mà m ch này có th phát ra đ c tính theo công th cướ ạ ể ượ ứ
A.
2 C cL
. B.
c LC
. C.
c LC
. D.
2 c LC
.
Câu 25: Đ t đi n áp ặ ệ
2cos tu U
vào hai đ u t đi n có đi n dung ầ ụ ệ ệ
C
. Bi u th c c ng đ dòng đi nể ứ ườ ộ ệ
t c th i làứ ờ
A.
2
cos( )
2
U
i t
C
. B.
2cos( )
2
i UC t
.
C.
2cos( )
2
i UC t
. D.
2
cos( )
2
U
i t
C
.
Câu 26: Khi chi u ánh sáng đ n s c màu l c vào m t ch t huỳnh quang thì ánh sáng huỳnh quang phát raế ơ ắ ụ ộ ấ
không thể là ánh sáng
A. màu cam. B. màu vàng. C. màu lam. D. màu đ .ỏ
Câu 27: T thông qua m t khung dây d n tăng đ u t 0,01 Wb đ n 0,04 Wb trong th i gian 0,6s. Su từ ộ ẫ ề ừ ế ờ ấ
đi n đ ng c m ng xu t hi n trong khung dây có đ l n b ngệ ộ ả ứ ấ ệ ộ ớ ằ
A. 20 V. B. 15 V. C. 0,06 V. D. 0,05 V.
Câu 28: Đ t đi n áp xoay chi u u = Uặ ệ ề
0
cos
2
( )t
T
V vào hai đ u đo nầ ạ
m ch AB nh hình bên. Bi t R = 2r. Đ th bi u di n đi n áp uạ ư ế ồ ị ể ễ ệ
AN
và u
MB
nh hình v bên c nh. Giá tr Uư ẽ ạ ị
0
b ngằ
A.
50 6
V B.
60 5
V
C.
24 10
V D.
10 22
V
Câu 29: Sóng c lan truy n trên s i dây, qua hai đi m ơ ề ợ ể
M
và
N
cách nhau 100 cm. Dao đ ng t i ộ ạ
M
s mớ
pha h n dao đ ng t i ơ ộ ạ
N
là
( 0,1,2,...)
3
k k
. Gi a ữ
M
và
N
ch có 4 đi m mà dao đ ng t i đó l chỉ ể ộ ạ ệ
pha
2
so v i dao đ ng t i ớ ộ ạ
M
. Bi t t n s sóng b ng 20 Hz. T c đ truy n sóng trên dây g n nh t v iế ầ ố ằ ố ộ ề ầ ấ ớ
giá trị
A. 900 cm/s. B. 1090 cm/s. C. 925 cm/s. D. 800 cm/s.
Câu 30: M t h t nhân có đ h t kh i là 0,21 u. L y 1 u = 931,5 MeV/cộ ạ ộ ụ ố ấ
2
Năng l ng liên k t c a h tượ ế ủ ạ
nhân này là
A. 195,615J B. 4435,7 MeV. C. 4435,7 J. D. 195,615 MeV.
Câu 31: Trên m t ph ng nh n n m ngang có hai lò xo cùng đ c ng k và chi u dài t nhiên 25 cm. G nặ ẳ ắ ằ ộ ứ ề ự ắ
m t đ u lò xo vào giá đ ộ ầ ỡ
I
c đ nh, đ u kia g n v i v t nh ố ị ầ ắ ớ ậ ỏ
,A B
có kh i l ng l n l t là m và 4mố ượ ầ ượ
M i th c m c vui lòng xin liên h hotline: 084 283 45 85ọ ắ ắ ệ
Trang 3/17 - Mã đ thi 101ề

Đây là b n xem th , vui lòng mua tài li u đ xem chi ti t (có l i gi i)ả ử ệ ể ế ờ ả
(Hình v ). Ban đ u ẽ ầ
,A B
đ c gi đ ng yên sao cho lò xo g n ượ ữ ứ ắ
A
dãn 5 cm, lò xo g n ắ
B
nén 5 cm. Đ ngồ
th i buông tay đ các v t dao đ ng, khi đó kho ng cách nh nh t gi a ờ ể ậ ộ ả ỏ ấ ữ
A
và
B
g n v i giá trầ ớ ị
A. 55 cm. B. 50 cm.
C. 40 cm. D. 45 cm.
Câu 32: Quang ph liên t c ổ ụ không đ cượ phát ra b iở
A. ch t khí áp su t th p b nung nóng.ấ ở ấ ấ ị B. ch t khí áp su t cao b nung nóng.ấ ở ấ ị
C. ch t r n b nung nóng.ấ ắ ị D. ch t l ng b nung nóng.ấ ỏ ị
Câu 33: Rôto c a máy phát đi n xoay chi u m t pha quay v i t c đ 750 vòng/phút, cho dòng đi n xoayủ ệ ề ộ ớ ố ộ ệ
chi u có t n s 50 Hz. S c p c c c a rôto làề ầ ố ố ặ ự ủ
A. 4. B. 2. C. 16. D. 8.
Câu 34: Đ t đi n áp xoay chi u vào hai đ u đo n m ch ch a đi n tr ặ ệ ề ầ ạ ạ ứ ệ ở
R
, cu n thu n c m và t đi nộ ầ ả ụ ệ
m c n i ti p. G i c m kháng và dung kháng trong m ch l n l t là ắ ố ế ọ ả ạ ầ ượ
L
Z
và
C
Z
. H s công su t tiêu thệ ố ấ ụ
c a đo n m ch làủ ạ ạ
A.
L C
R
Z Z
B.
2 2
( )
L C
R Z Z
R
C.
2 2
( )
L C
R
R Z Z
D.
L C
Z Z
R
Câu 35: Các b c x có t n s gi m d n theo th t :ứ ạ ầ ố ả ầ ứ ự
A. Tia
X
, tia t ngo i, ánh sáng nhìn th y, tia h ng ngo i.ử ạ ấ ồ ạ
B. Tia h ng ngo i, ánh sáng nhìn th y, tia t ngo i, tia ồ ạ ấ ử ạ
X
.
C. Tia h ng ngo i, tia t ngo i, ánh sáng nhìn th y, tia ồ ạ ử ạ ấ
X
.
D. Tia t ngo i, tia h ng ngo i, tia ử ạ ồ ạ
X
, ánh sáng nhìn th y.ấ
Câu 36: M t nhà v t lí h t nhân làm thí nghi m xác đ nh chu kì bánộ ậ ạ ệ ị
rã T c a m t ch t phóng x b ng cách dùng máy đ m xung đ đo tủ ộ ấ ạ ằ ế ể ỉ
l gi a s h t b phân rã ∆N và s h t ban đ u Nệ ữ ố ạ ị ố ạ ầ
0
. D a vào k t quự ế ả
th c nghi m đo đ c trên hình v , hãy tính T?ự ệ ượ ẽ
A. 8,82 ngày B. 138 ngày
C. 5,6 ngày D. 3,8 ngày
Câu 37: M c n i ti p: đi n tr ắ ố ế ệ ở
R
, cu n dây thu n c m ộ ầ ả
L
và t đi n ụ ệ
C
th a mãn ỏ
2
4L R C
vào đi n ápệ
xoay chi u có t n s thay đ i đ c. Khi t n s b ng ề ầ ố ổ ượ ầ ố ằ
0
f
thì h s công su t c a đo n m ch b ng 0,8.ệ ố ấ ủ ạ ạ ằ
Khi t n s b ng ầ ố ằ
0
2
f
thì h s công su t c a đo n m ch g n nh t v i giá trệ ố ấ ủ ạ ạ ầ ấ ớ ị
A. 0,86 B. 0,71. C. 0,50. D. 0,80.
Câu 38: Cho c ng đ âm chu n c a âm là 1 pW/mườ ộ â ủ
2
. T i m t đi m có m c c ng đ âm là 90 dB thìạ ộ ể ứ ườ ộ
c ng đ âm b ngườ ộ ằ
A. 0,1 nW/m
2
. B. 0,1 GW/m
2
. C. 0,1 W/m
2
. D. 1 mW/m
2
.
Câu 39: V t nh trong con l c lò xo dao đ ng đi u hòa theo ph ng th ng đ ng v i chu kì 0,4 s. Trongậ ỏ ắ ộ ề ươ ẳ ứ ớ
m i chu kì dao đ ng, th i gian lò xo b dãn l n g p hai l n th i gian lò xo b nén. L y ỗ ộ ờ ị ớ ấ ầ ờ ị ấ
2
g
m/s
2
. Biên
đ dao đ ng c a con l c b ngộ ộ ủ ắ ằ
A. 1 cm. B. 8 cm. C. 2 cm. D. 4 cm.
Câu 40: Trong hi n t ng giao thoa c a hai ngu n sóng cùng t n s và cùng pha. Bi t ệ ượ ủ ồ ầ ố ế
là b c sóng,ướ
k
là s nguyên. Nh ng đi m t i đó biên đ dao đ ng c c ti u là nh ng đi m mà hi u đ ng đi c a haiố ữ ể ạ ộ ộ ự ể ữ ể ệ ườ ủ
sóng t hai ngu n truy n t i b ngừ ồ ề ớ ằ
A.
( 0,5)
2
k
. B.
( 0,5)k
. C.
(2 1)k
. D.
k
.
----------- H T ----------Ế
M i th c m c vui lòng xin liên h hotline: 084 283 45 85ọ ắ ắ ệ
Trang 4/17 - Mã đ thi 101ề
A
I
B

Đây là b n xem th , vui lòng mua tài li u đ xem chi ti t (có l i gi i)ả ử ệ ể ế ờ ả
1. D 2. D 3. C 4. D 5. B 6. D 7. A 8. A 9. C 10. D
11. C 12. A 13. B 14. B 15. A 16. B 17. B 18. B 19. A 20. A
21. C 22. C 23. B 24. D 25. C 26. C 27. D 28. B 29. C 30. D
31. D 32. A 33. A 34. C 35. A 36. A 37. C 38. D 39. B 40. B
M i th c m c vui lòng xin liên h hotline: 084 283 45 85ọ ắ ắ ệ
Trang 5/17 - Mã đ thi 101ề