ĐỀ SỐ 1
(ĐỀ THAM KHẢO KỲ THI TỐT NGHIỆP THPT TỪ NĂM 2025)
PHẦN I. Câu trắc nghiệm nhiều phương án lựa chọn. Thí sinh trả lời từ câu 1 đến câu 12.
Mỗi câu thí sinh chỉ chọn một phương án.
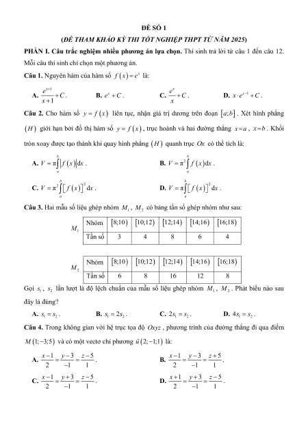
Câu 1. Nguyên hàm của hàm số x f x e là: x 1 x
A. e C . B. x e e C . C. C . D. x 1 x e C . x 1 x
Câu 2. Cho hàm số y f x liên tục, nhận giá trị dương trên đoạn a;b . Xét hình phẳng
H giới hạn bởi đồ thị hàm số y f x , trục hoành và hai đường thẳng x a , x b . Khối
tròn xoay được tạo thành khi quay hình phẳng H quanh trục Ox có thể tích là: b b
A. V π f x dx . B. 2 V π f xdx . a a b b C. V f x 2 2 π dx . D. V f x 2 π dx . a a
Câu 3. Hai mẫu số liệu ghép nhóm M , M có bảng tần số ghép nhóm như sau: 1 2
Nhóm 8;10 10;12 12;14 14;16 16;18 M1 Tầnsố 3 4 8 6 4
Nhóm 8;10 10;12 12;14 14;16 16;18 M2 Tầnsố 6 8 16 12 8
Gọi s , s lần lượt là độ lệch chuẩn của mẫu số liệu ghép nhóm M , M . Phát biểu nào sau 1 2 1 2 đây là đúng?
A. s s .
B. s 2s .
C. 2s s .
D. 4s s . 1 2 1 2 1 2 1 2
Câu 4. Trong không gian với hệ trục tọa độ Oxyz , phương trình của đường thẳng đi qua điểm M 1; 3
;5 và có một vectơ chỉ phương u 2; 1 ;1 là:
A. x 1 y 3 z 5 .
B. x 1 y 3 z 5 . 2 1 1 2 1 1
C. x 1 y 3 z 5 .
D. x 1 y 3 z 5 . 2 1 1 2 1 1 Câu 5. Cho hàm số ax b y
c 0,ad bc 0 có đồ thị cx d
như hình vẽ bên. Tiệm cận ngang của đồ thị hàm số là: A. x 1 . B. 1 y . 2 C. y 1. D. 1 x . 2
Câu 6. Tập nghiệm của bất phương trình log x 1 3 là: 2 A. 1;9 . B. ; 9. C. 9;. D. 1;7 .
Câu 7. Trong không gian với hệ trục tọa độ Oxyz , cho mặt phẳng P có phương trình
x 3y z 8 0 . Vectơ nào sau đây là một vectơ pháp tuyến của mặt phẳng P ? A. n 1; 3 ;1 .
B. n 1;3;1 . C. n 1; 3 ;8 . D. n 1;3;8 . 4 3 2 1
Câu 8. Cho hình chóp S.ABCD có đáy ABCD là hình chữ nhật và SA ABCD . Mặt phẳng
nào sau đây vuông góc với mặt phẳng ABCD ? A. SAB. B. SBC. C. SCD . D. SBD.
Câu 9. Nghiệm của phương trình 2x 6 là: A. x log 2 . B. x 3 . C. x 4 . D. x log 6 . 6 2
Câu 10. Cấp số cộng u có u 1 và u 3 . Số hạng u của cấp số cộng là: n 1 2 5 A. 5. B. 7. C. 9. D. 11.
Câu 11. Cho hình hộp ABC . D A B C D (minh họa như hình
bên). Phát biểu nào sau đây là đúng?
A. AB BB B A AC .
B. AB BC C D AC .
C. AB AC AA AC .
D. AB AA AD AC .
Câu 12. Cho hàm số có đồ thị như hình vẽ bên. Hàm số đã
cho đồng biến trên khoảng nào sau đây? A. ; 1 . B. ; 1 . C. 1; 1 . D. 1;.
PHẦN II. Câu trắc nghiệm đúng sai. Thí sinh trả lời từ câu 1 đến câu 4. Trong mỗi ý a), b),
c), d) ở mỗi câu, thí sinh chọn đúng hoặc sai.
Câu 1. Cho hàm số f x 2cos x x . a) f π π 0 2; f . 2 2
b) Đạo hàm của hàm số đã cho là f x 2sin x 1 .
c) Nghiệm của phương trình f x 0 trên đoạn π 0; là π . 2 6
d) Giá trị lớn nhất của f x trên đoạn π 0; là π 3 . 2 6
Câu 2. Một người điều khiển ô tô đang ở đường dẫn muốn nhập làn vào đường cao tốc. Khi ô
tô cách điểm nhập làn 200 m, tốc độ của ô tô là 36 km/h. Hai giây sau đó, ô tô bắt đầu tăng tốc
với tốc độ vt at b ( a,b , a 0 ), trong đó t là thời gian tính bằng giây kể từ khi bắt
đầu tăng tốc. Biết rằng ô tô nhập làn cao tốc sau 12 giây và duy trì sự tăng tốc trong 24 giây kể
từ khi bắt đầu tăng tốc.
a) Quãng đường ô tô đi được từ khi bắt đầu tăng tốc đến khi nhập làn là 180 m.
b) Giá trị của b là 10.
c) Quãng đường S t (đơn vị: mét) mà ô tô đi được trong thời gian t giây ( 0 t 24 ) kể từ 24
khi tăng tốc được tính theo công thức S t v tdt . 0
d) Sau 24 giây kể từ khi tăng tốc, tốc độ của ô tô không vượt quá tốc độ tối đa cho phép là 100 km/h.
Câu 3. Trước khi đưa một loại sản phẩm ra thị trường, người ta đã phỏng vấn ngẫu nhiên 200
khách hàng về sản phẩm đó. Kết quả thống kê như sau: có 105 người trả lời “sẽ mua”; có 95
người trả lời “không mua”. Kinh nghiệm cho thấy tỉ lệ khách hàng thực sự sẽ mua sản phẩm
tương ứng với những cách trả lời “sẽ mua” và “không mua” lần lượt là 70% và 30%.
Gọi A là biến cố “Người được phỏng vấn thực sự sẽ mua sản phẩm”.
Gọi B là biến cố “Người được phỏng vấn trả lời sẽ mua sản phẩm”.
a) Xác suất PB 21 và PB 19 . 40 40
b) Xác suất có điều kiện P A | B 0,3 .
c) Xác suất P A 0,51.
d) Trong số những người được phỏng vấn thực sự sẽ mua sản phẩm có 70% người đã trả lời “sẽ
mua” khi được phỏng vấn (kết quả tính theo phần trăm được làm tròn đến hàng đơn vị).
Câu 4. Các thiên thạch có đường kính lớn hơn 140 m và có thể lại gần Trái Đất ở khoảng cách
nhỏ hơn 7 500 000 km được coi là những vật thể có khả năng va chạm gây nguy hiểm cho Trái
Đất. Để theo dõi những thiên thạch này, người ta đã thiết lập các trạm quan sát các vật thể bay
gần Trái Đất. Giả sử có một hệ thống quan sát có khả năng theo dõi các vật thể ở độ cao không
vượt quá 6 600 km so với mực nước biển. Coi Trái Đất là khối cầu có bán kính 6 400 km. Chọn
hệ trục tọa độ Oxyz trong không gian có gốc O tại tâm Trái Đất và đơn vị độ dài trên mỗi trục
tọa độ là 1 000 km. Một thiên thạch (coi như một hạt) chuyển động với tốc độ không đổi theo
một đường thẳng từ điểm M 6;20;0 đến điểm N 6;12;16 .
x 6 3t
a) Đường thẳng MN có phương trình tham số là y 20 8t (t ). z 4t
b) Vị trí đầu tiên thiên thạch di chuyển vào phạm vi theo dõi của hệ thống quan sát là điểm A3;4;12 .
c) Khoảng cách giữa vị trí đầu tiên và vị trí cuối cùng mà thiên thạch di chuyển trong phạm vi
theo dõi của hệ thống quan sát là 18 900 km (kết quả làm tròn đến hàng trăm theo đơn vị ki-lô- mét).
d) Nếu thời gian di chuyển của thiên thạch trong phạm vi theo dõi của hệ thống quan sát là 3
phút thì thời gian nó di chuyển từ M đến N là 6 phút.
PHẦN III. Câu trắc nghiệm trả lời ngắn. Thí sinh trả lời từ câu 1 đến câu 6.
Câu 1. Cho hình lăng trụ đứng ABC.A B C
có AB 5, BC 6 , CA 7 . Khoảng cách giữa hai
đường thẳng AA và BC bằng bao nhiêu? (làm tròn kết quả đến hàng phần mười).
Bộ 29 Đề thi tốt nghiệp Toán 2025 (form mới)
82.7 K
41.3 K lượt tải
350.000 ₫
MUA NGAY ĐỂ XEM TOÀN BỘ TÀI LIỆU
CÁCH MUA:
- B1: Gửi phí vào TK:
1053587071
- NGUYEN VAN DOAN - Ngân hàng Vietcombank (QR) - B2: Nhắn tin tới Zalo VietJack Official ( nhấn vào đây ) để xác nhận thanh toán và tải tài liệu - giáo án
Liên hệ ngay Hotline hỗ trợ: 084 283 45 85
Đề thi được cập nhật thêm mới liên tục hàng năm sau mỗi kì thi trên cả nước. Chúng tôi đảm bảo đủ số lượng đề đã cam kết hoặc có thể nhiều hơn, tất cả có BẢN WORD, LỜI GIẢI CHI TIẾT và tải về dễ dàng.
Để tải tài liệu gốc về máy bạn click vào nút Tải Xuống ở trên!
- Tailieugiaovien.com.vn giới thiệu Bộ 29 đề ôn thi Toán tốt nghiệp THPT năm 2025 theo cấu trúc mới với trắc nghiệm đúng sai, trả lời ngắn có lời giải chi tiết nhằm giúp Giáo viên có thêm tài liệu tham khảo ra đề thi.
- File word có lời giải chi tiết 100%.
- Mua trọn bộ sẽ tiết kiệm hơn tải lẻ 50%.
Đánh giá
4.6 / 5(82671 )5
4
3
2
1

Trọng Bình
Tài liệu hay
Giúp ích cho tôi rất nhiều

Duy Trần
Tài liệu chuẩn
Rất thích tài liệu bên VJ soạn (bám sát chương trình dạy)