CÂU HỎI
Phần 1. Câu trắc nghiệm nhiều phương án chọn.
Thí sinh trả lời từ câu 1 đến câu 12. Mỗi câu hỏi thí sinh chỉ chọn một phương án đúng nhất. Câu 1. Đặt
. Tính theo giá trị của biểu thức . A. . B. . C. . D. . Câu 2.
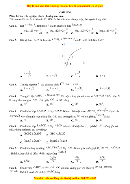
Giá trị thực của để hàm số
có đồ thị là hình bên dưới? A. . B. . C. . D. . Câu 3.
Tìm tập nghiệm của phương trình . A. . B. . C. . D. . Câu 4. Trong tứ diện có
đôi một vuông góc với nhau và . Gọi là trọng tâm tam giác . Góc giữa và bằng: A. . B. . C. . D. . Câu 5. Cho hình chóp có đáy
là hình chữ nhật, cạnh , . Cạnh bên
và vuông góc mặt phẳng đáy. Góc giữa đường thẳng và mặt phẳng bằng: A. . B. . C. . D. . Câu 6. Cho hình chóp có đáy
là hình chữ nhật tâm , cạnh bên vuông góc với
đáy. Khẳng định nào sau đây đúng? A. B. C. D. Câu 7. Cho hình lăng trụ đứng có đáy là tam giác vuông tại , ,
. Tính khoảng cách từ điểm đến mặt phẳng A. . B. . C. . D. . Câu 8. Cho tứ diện có , ,
đôi một vuông góc với nhau và , ,
. Thể tích của khối tứ diện bằng
A. . B. . C. . D. . Câu 9. Cho hai biến cố và với và . Xác suất để hoặc xảy ra bằng: A. 0,3 . B. 0,4 . C. 0,6 . D. 0,5 .
Câu 10. Gieo hai con xúc xắc sáu mặt cân đối và đồng chất. Gọi
là biến cố: " Tích số chấm xuất hiện
trên hai mặt con xúc xắc là một số lẻ”. Xác suất của bằng: A. . B. . C. . D. .
Câu 11. Tính đạo hàm của hàm số tại điểm . A. . B. . C. . D. .
Câu 12. Phương trình tiếp tuyến của đường cong
tại điểm có hoành độ là: A. . B. . C. . D. .
Phần 2. Câu trắc nghiệm đúng sai.
Thí sinh trả lời từ câu 1 đến câu 4. Trong mỗi ý a), b), c), d) ở mỗi câu, thí sinh chọn đúng hoặc sai Câu 1. Lớp
có 50 học sinh, trong đó có 20 học sinh thích học môn Toán; 30 học sinh thích học
môn Ngữ văn; 10 học sinh thích học môn Toán và Ngữ văn. Chọn ngẫu nhiên một học sinh trong lớp
11A. Gọi là biến cố "Học sinh thích học môn Toán", là biến cố "Học sinh thích học môn Ngữ văn". a) Khi đó
là biến cố "Một học sinh của lớp 11A thích học ít nhất một trong hai môn Toán và Ngữ văn". b) c)
d) Xác suất để chọn được một học sinh thích học ít nhất một trong hai môn Toán và Ngữ văn là Câu 2. Cho hình chóp có
và tất cả các cạnh đều bằng nhau và bằng . Các mệnh đề sau đúng hay sai? a) . b) Tam giác là tam giác vuông. c) .
d) Chiều cao của hình chóp là . Câu 3. Cho phương trình
. Các mệnh đề sau đúng hay sai?
a) Nghiệm của phương trình là các số vô tỷ.
b) Tổng các nghiệm của một phương trình là một số nguyên.
c) Tích các nghiệm của phương trình là một số âm.
d) Phương trình vô nghiệm. Câu 4. Xét hàm số
. Các mệnh đề sau đúng hay sai? a) . b) . c) . d) .
Phần 3. Câu trả lời ngắn.
Thí sinh trả lời đáp án từ câu 1 đến câu 6. Câu 1.
Khi tung một đồng xu không cân đối thì người ta thấy rằng xác suất để đồng xu xuất hiện mặt
sấp bằng . Tung đồng xu này ba lần liên tiếp. Tính xác suất để xuất hiện ít nhất 1 lần mặt ngửa. Câu 2.
Một lớp học có 40 học sinh trong đó có 25 học sinh thích môn Toán, 20 học sinh thích môn
Ngữ văn và 12 học sinh thích cả hai môn Ngữ văn và Toán. Tính xác suất để chọn được một học sinh
thích môn Ngữ văn hoặc môn Toán. Câu 3. Cho hình chóp
có đáy là hình thoi cạnh và .
Tính góc giữa đường thẳng và mặt phẳng ? Câu 4. Cho hình chóp
có đáy là tam giác đều cạnh và . Tính thể tích khối chóp . Câu 5.
Mức cường độ âm của một nguồn âm cho trước xác định bởi được đo bằng
Decibel (db), trong đó là cường độ độ âm có đơn vị là và
là cường độ âm chuẩn
mà tai người có thể nghe thấy được. Giả sử một nguồn âm phát ra cường độ âm với là
thời gian được tính bằng giây. Xác định tốc độ thay đổi mức cường độ âm tại thời điểm giây. Câu 6.
Vận tốc của một chất điểm chuyển động được biểu thị bởi công thức , trong đó tính bằng giây và ,
tính bằng mét/giây. Tại thời điểm nào sau đây chất điểm có gia tốc là ?
PHIẾU TRẢ LỜI PHẦN 1.
(Mỗi câu trả lời đúng thí sinh được điểm) Câu 1 2 3 4 5 6 7 8 9 10 11 12 Chọn PHẦN 2.
Điểm tối đa của 01 câu hỏi là 1 điểm.
- Thí sinh chỉ lựa chọn chính xác 01 ý trong 1 câu hỏi được điểm.
- Thí sinh chỉ lựa chọn chính xác 02 ý trong 1 câu hỏi được điểm.
- Thí sinh chỉ lựa chọn chính xác 03 ý trong 1 câu hỏi được điểm.
- Thí sinh lựa chọn chính xác cả 04 ý trong 1 câu hỏi được 1 điểm. Câu 1 Câu 2 Câu 3 Câu 4 a) a) a) a) b) b) b) b) c) c) c) c) d) d) d) d) PHẦN 3.
(Mỗi câu trả lời đúng thí sinh được 0,5 điểm) Câu Đáp án 1 2 3 4 5 6
LỜI GIẢI THAM KHẢO
Phần 1. Câu trắc nghiệm nhiều phương án chọn. 1A 2B 3A 4D 5D 6A 7B 8D 9D 10B 11D 12A
Thí sinh trả lời từ câu 1 đến câu 12. Mỗi câu hỏi thí sinh chỉ chọn một phương án đúng nhất. Câu 1. Đặt
. Tính theo giá trị của biểu thức . A. . B. . C. . D. . Lời giải Ta có: . Câu 2.
Giá trị thực của để hàm số
có đồ thị là hình bên dưới?
Đề thi Toán 11 Cuối kì 2 Chân trời sáng tạo cấu trúc mới (Đề 7)
396
198 lượt tải
MUA NGAY ĐỂ XEM TOÀN BỘ TÀI LIỆU
CÁCH MUA:
- B1: Gửi phí vào TK:
1133836868- CT TNHH DAU TU VA DV GD VIETJACK - Ngân hàng MB (QR) - B2: Nhắn tin tới Zalo VietJack Official ( nhấn vào đây ) để xác nhận thanh toán và tải tài liệu - giáo án
Liên hệ ngay Hotline hỗ trợ: 084 283 45 85
Chúng tôi đảm bảo đủ số lượng đề đã cam kết hoặc có thể nhiều hơn, tất cả có BẢN WORD, LỜI GIẢI CHI TIẾT và tải về dễ dàng.
Để tải tài liệu gốc về máy bạn click vào nút Tải Xuống ở trên!
Thuộc bộ (mua theo bộ để tiết kiệm hơn):
- Tailieugiaovien.com.vn giới thiệu bộ 10 đề thi Toán 11 Cuối học kì 2 Chân trời sáng tạo cấu trúc mới 2025 nhằm giúp Giáo viên có thêm tài liệu tham khảo ra đề thi Toán lớp 11.
- File word có lời giải chi tiết 100%.
- Mua trọn bộ sẽ tiết kiệm hơn tải lẻ 50%
Đánh giá
4.6 / 5(396 )5
4
3
2
1
Trọng Bình
Tài liệu hay
Giúp ích cho tôi rất nhiều
Duy Trần
Tài liệu chuẩn
Rất thích tài liệu bên VJ soạn (bám sát chương trình dạy)
