CÂU HỎI
Phần 1. Câu trắc nghiệm nhiều phương án chọn.
Thí sinh trả lời từ câu 1 đến câu 12. Mỗi câu hỏi thí sinh chỉ chọn một phương án đúng nhất. Câu 1. Biểu thức
. Viết T dưới dạng lũy thừa của số mũ hữu tỷ. A. . B. . C. . D. . Câu 2.
Hàm số nào sau đây đồng biến trên ? A. . B. . C. . D. . Câu 3. Cho hình chóp có đáy
là tam giác đều, cạnh bên
vuông góc với đáy. Gọi ,
lần lượt là trung điểm của và
. Mệnh đề nào dưới đây là mệnh đề sai? A. . B. . C. . D. . Câu 4. Cho hình lăng trụ đều có và
. Góc tạo bởi giữa đường thẳng và bằng A. . B. . C. . D. . Câu 5. .Cho hình chóp có đáy
là tam giác cân tại , cạnh bên vuông góc với đáy, là trung điểm ,
là hình chiếu của lên
. Khẳng định nào sau đây đúng? A. . B. . C. . D. . Câu 6. Cho hình lập phương có cạnh bằng . Gọi là trung điểm cạnh
(tham khảo hình vẽ). Khoảng cách giữa hai đường thẳng và bằng A. . B. . C. . D. . Câu 7. Cho hình chóp có
vuông góc với mặt phẳng . Biết và tam giác vuông tại có ,
. Tính thể tích khối chóp theo . A. . B. . C. . D. . Câu 8.
Trong một hộp kín có 10 mảnh giấy có kích thước giống nhau được đánh số từ 1 đến 10. Lấy
ngẫu nhiên hai lần, mỗi lần một mảnh và không trả lại hộp. Gọi là biến cố "Lần 1 lấy được mảnh giấy
đánh số lẻ" và là biến cố "Lần 2 lấy được mảnh giấy đánh số lẻ”. Khẳng định nào sau đây là đúng?
A. Hai biến cố và là độc lập
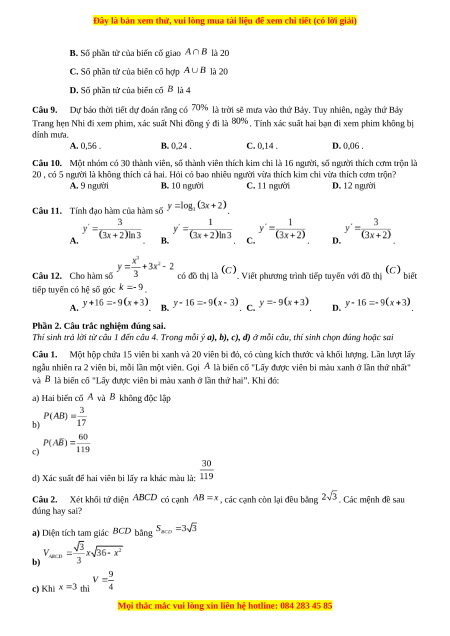
B. Số phần tử của biến cố giao là 20
C. Số phần tử của biến cố hợp là 20
D. Số phần tử của biến cố là 4 Câu 9.
Dự báo thời tiết dự đoán rằng có
là trời sẽ mưa vào thứ Bảy. Tuy nhiên, ngày thứ Bảy
Trang hẹn Nhi đi xem phim, xác suất Nhi đồng ý đi là
. Tính xác suất hai bạn đi xem phim không bị dính mưa. A. 0,56 . B. 0,24 . C. 0,14 . D. 0,06 .
Câu 10. Một nhóm có 30 thành viên, số thành viên thích kim chi là 16 người, số người thích cơm trộn là
20 , có 5 người là không thích cả hai. Hỏi có bao nhiêu người vừa thích kim chi vừa thích cơm trộn? A. 9 người B. 10 người C. 11 người D. 12 người
Câu 11. Tính đạo hàm của hàm số . A. . B. . C. . D. .
Câu 12. Cho hàm số có đồ thị là
. Viết phương trình tiếp tuyến với đồ thị biết
tiếp tuyến có hệ số góc . A. . B. . C. . D. .
Phần 2. Câu trắc nghiệm đúng sai.
Thí sinh trả lời từ câu 1 đến câu 4. Trong mỗi ý a), b), c), d) ở mỗi câu, thí sinh chọn đúng hoặc sai Câu 1.
Một hộp chứa 15 viên bi xanh và 20 viên bi đỏ, có cùng kích thước và khối lượng. Lần lượt lấy
ngẫu nhiên ra 2 viên bi, mỗi lần một viên. Gọi là biến cố "Lấy được viên bi màu xanh ở lần thứ nhất"
và là biến cố "Lấy được viên bi màu xanh ở lần thứ hai”. Khi đó:
a) Hai biến cố và không độc lập b) c)
d) Xác suất để hai viên bi lấy ra khác màu là: Câu 2. Xét khối tứ diện có cạnh
, các cạnh còn lại đều bằng . Các mệnh đề sau đúng hay sai?
a) Diện tích tam giác bằng b) c) Khi thì
d) Khi
thì thể tích khối tứ diện
đạt giá trị lớn nhất. Câu 3.
Lạm phát là sự tăng mức giá chung một cách liên tục của hàng hoá và dịch vụ theo thời gian,
tức là sự mất giá trị của một loại tiền tệ nào đó. Chẳng hạn, nếu lạm phát là
một năm thì sức mua của
1 triệu đồng sau một năm chỉ còn là 950 nghìn đồng (vì đã giảm mất
của 1 triệu đồng, tức là 50000
đồng). Nói chung, nếu tỉ lệ lạm phát trung bình là
một năm thì tổng số tiền ban đầu, sau năm số
tiền đó chỉ còn giá trị là:
a) Nếu tỉ lệ lạm phát là
một năm thì sức mua của 100 triệu đồng sau hai năm sẽ còn lại 86490000 đồng.
B) Nếu tỉ lệ lạm phát là
một năm thì sức mua của 100 triệu đồng sau hai năm sẽ còn lại 96490000 đồng.
c) Nếu sức mua của 100 triệu đồng sau ba năm chỉ còn lại 80 triệu đồng thì tỉ lệ lạm phát trung bình của ba năm đó là
(làm tròn kết quả đến hàng phần trăm)?
d) Nếu tỉ lệ lạm phát trung bình là
một năm thì sau 15 năm sức mua của số tiền ban đầu chỉ còn lại một nửa Câu 4. Cho hàm số
. Các mệnh đề sau đúng hay sai? a) . b) . c) . d) .
Phần 3. Câu trả lời ngắn.
Thí sinh trả lời đáp án từ câu 1 đến câu 6. Câu 1.
Hùng và Dũng cùng học lớp
. Xác suất để Hùng và Dũng thi qua môn Toán Xác suất để ít
nhất một bạn thi qua môn Toán là 0,85 ; xác suất để một bạn không thi qua môn Ngữ văn là 0,4. Nếu xem
như việc thi qua môn Ngữ văn và môn Toán độc lập với nhau. Tính xác suất để hai bạn Hùng và Dũng cùng trượt 1 môn. Câu 2.
Bình và Minh cùng thi bắn đĩa bay. Xác suất bắn trúng đĩa của mỗi người lần lượt là 0,7 và 0,8.
Nếu một người bắn trước và trượt thì tỉ lệ bắn trúng của người sau sẽ tăng thêm 0,1 và ngược lại nếu
người đó bắn trúng thì tỉ lệ bắn trúng của người sau sẽ giảm đi 0,1. Thứ tự bắn giữa hai người là ngẫu
nhiên và cuộc thi dừng lại khi người này trúng, người kia trượt. Tính xác suất để không có ai thắng sau 1 lượt bắn. Câu 3. Cho hình hộp chữ nhật có . Tính góc phẳng nhị diện ? Câu 4. Cho hình chóp
có đáy là tam giác đều cạnh a, và . Gọi là trọng tâm tam giác
. Tính khoảng cách từ đến mặt phẳng .
Câu 5.
Các khí thải ra gây hiệu ứng nhà kính là nguyên nhân chủ yếu làm trái đất nóng lên. Theo
OECD (Tổ chức Hợp tác và Phát triển kinh tế thế giới), khi nhiệt độ trái đất tăng thì tổng giá trị kinh tế
toàn cầu giảm. Người ta ước tính được rằng, khi nhiệt độ trái đất tăng
thì tổng giá trị kinh tế toàn cầu giảm
; còn nhiệt độ trái đất tăng thêm
thì tổng kinh tế toàn cầu giảm . Biết rằng, nếu
nhiệt độ trái đất tăng thêm
, tổng giá trị kinh tế toàn cầu giảm thì , trong đó
là hằng số dương. Khi nhiệt độ trái đất tăng thêm bao nhiêu
thì tổng giá trị kinh tế toàn cầu giảm đến ? Câu 6.
Cho một vật chuyển động theo phương trình
trong đó là quãng đường
vật đi được (đơn vị ), là thời gian chuyển động (đơn vị ). Tại thời điểm vật dừng lại thì vật đi được quãng đường là? PHIẾU TRẢ LỜI PHẦN 1.
(Mỗi câu trả lời đúng thí sinh được điểm) Câu 1 2 3 4 5 6 7 8 9 10 11 12 Chọn PHẦN 2.
Điểm tối đa của 01 câu hỏi là 1 điểm.
- Thí sinh chỉ lựa chọn chính xác 01 ý trong 1 câu hỏi được điểm.
- Thí sinh chỉ lựa chọn chính xác 02 ý trong 1 câu hỏi được điểm.
- Thí sinh chỉ lựa chọn chính xác 03 ý trong 1 câu hỏi được điểm.
- Thí sinh lựa chọn chính xác cả 04 ý trong 1 câu hỏi được 1 điểm. Câu 1 Câu 2 Câu 3 Câu 4 a) a) a) a) b) b) b) b) c) c) c) c) d) d) d) d) PHẦN 3.
(Mỗi câu trả lời đúng thí sinh được 0,5 điểm) Câu Đáp án 1 2 3 4 5 6
Đề thi Toán 11 Cuối kì 2 Kết nối tri thức cấu trúc mới (Đề 4)
362
181 lượt tải
MUA NGAY ĐỂ XEM TOÀN BỘ TÀI LIỆU
CÁCH MUA:
- B1: Gửi phí vào TK:
1053587071
- NGUYEN VAN DOAN - Ngân hàng Vietcombank (QR) - B2: Nhắn tin tới Zalo VietJack Official ( nhấn vào đây ) để xác nhận thanh toán và tải tài liệu - giáo án
Liên hệ ngay Hotline hỗ trợ: 084 283 45 85
Chúng tôi đảm bảo đủ số lượng đề đã cam kết hoặc có thể nhiều hơn, tất cả có BẢN WORD, LỜI GIẢI CHI TIẾT và tải về dễ dàng.
Để tải tài liệu gốc về máy bạn click vào nút Tải Xuống ở trên!
Thuộc bộ (mua theo bộ để tiết kiệm hơn):
- Tailieugiaovien.com.vn giới thiệu bộ 10 đề thi Toán 11 Cuối học kì 2 Kết nối tri thức cấu trúc mới 2025 nhằm giúp Giáo viên có thêm tài liệu tham khảo ra đề thi Toán lớp 11.
- File word có lời giải chi tiết 100%.
- Mua trọn bộ sẽ tiết kiệm hơn tải lẻ 50%
Đánh giá
4.6 / 5(362 )5
4
3
2
1

Trọng Bình
Tài liệu hay
Giúp ích cho tôi rất nhiều

Duy Trần
Tài liệu chuẩn
Rất thích tài liệu bên VJ soạn (bám sát chương trình dạy)