Bài tập cuối chương I I. MỤC TIÊU:
1. Kiến thức: Học xong bài này, HS củng cố, rèn luyện kĩ năng:
– Nhận biết được đơn thức, đa thức nhiều biến, hai đơn thức đồng dạng.
– Xác định phần hệ số và phần biến của đơn thức thu gọn.
– Thực hiện được phép cộng, trừ, nhân các đa thức; chia đa thức cho đơn thức.
– Mô tả được các hằng đẳng thức: bình phương của một tổng; bình phương của
một hiệu; hiệu hai bình phương; lập phương của một tổng; lập phương của một
hiệu; tổng hai lập phương; hiệu hai lập phương.
– Phân tích được đa thức thành nhân tử bằng cách vận dụng trực tiếp hằng đẳng
thức, vận dụng hằng đẳng thức thông qua nhóm hạng tử và đặt nhân tử chung. 2. Năng lực Năng lực chung:
– Năng lực tự chủ và tự học trong tìm tòi khám phá.
– Năng lực giao tiếp và hợp tác trong trình bày, thảo luận và làm việc nhóm.
– Năng lực giải quyết vấn đề và sáng tạo trong thực hành, vận dụng.
Năng lực riêng: tư duy và lập luận toán học, mô hình hóa toán học, sử dụng công
cụ, phương tiện học toán; giải quyết vấn đề toán học. 3. Phẩm chất
– Có ý thức học tập, ý thức tìm tòi, khám phá và sáng tạo, có ý thức làm việc nhóm.
– Chăm chỉ tích cực xây dựng bài, có trách nhiệm, chủ động chiếm lĩnh kiến thức
theo sự hướng dẫn của GV.
– Hình thành tư duy logic, lập luận chặt chẽ, và linh hoạt trong quá trình suy nghĩ;
biết tích hợp toán học và cuộc sống.
II. THIẾT BỊ DẠY HỌC VÀ HỌC LIỆU
1 – GV: SGK, SGV, Tài liệu giảng dạy, giáo án PPT, PBT,...
2 – HS: SGK, SBT, vở ghi, giấy nháp, đồ dùng học tập (bút, thước...), bảng nhóm, bút viết bảng nhóm.
III. TIẾN TRÌNH DẠY HỌC
A. HOẠT ĐỘNG KHỞI ĐỘNG (MỞ ĐẦU)
Hoạt động: Ôn tập kiến thức đã học của chương I a) Mục tiêu:
- HS nhắc lại và tổng hợp được các kiến thức đã học theo một sơ đồ nhất định. b) Nội dung:
HS tổng hợp lại kiến thức dựa theo SGK và ghi chép trên lớp theo nhóm đã được
phân công của buổi trước.
c) Sản phẩm: Sơ đồ mà HS đã vẽ: Nội dung kiến thức từ Bài 1 → Bài 4.
Bước 1: Chuyển giao nhiệm vụ:
– GV chia lớp thành 4 nhóm hoạt động theo kĩ thuật khăn trải bàn và tổng hợp ý
kiến vào giấy A1 thành sơ đồ tư duy theo các yêu cầu với các nội dung như sau:
• Nhóm 1. Đơn thức nhiều biến. Đa thức nhiều biến
Khái niệm đơn thức, đa thức.
Thu gọn đơn thức, đa thức.
Tính được giá trị của đa thức khi biết giá trị của các biến.
Cộng, trừ các đơn thức đồng dạng.
• Nhóm 2. Các phép tính với đa thức nhiều biến
Cộng, trừ, các đơn thức, đa thức.
Nhân hai đơn thức, nhân đơn thức với đa thức, nhân hai đa thức.
– Thực hiện phép chia hết đơn thức cho đơn thức, đa thức cho đơn thức.
• Nhóm 3. Hằng đẳng thức đáng nhớ
Bình phương của một tổng, một hiệu.
Hiệu của hai bình phương.
Lập phương của một tổng, một hiệu.
Tổng, hiệu hai lập phương.
• Nhóm 3: Vận dụng hằng đẳng thức vào phân tích đa thức thành nhân tử
Nhận biết phép biến đổi là phân tích đa thức thành nhân tử.
Phân tích đa thức thành nhân tử bằng cách vận dụng trực tiếp hằng đẳng thức.
Phân tích đa thức thành nhân tử bằng cách vận dụng thông qua nhóm số
hạng và đặt nhân tử chung.
Bước 2: Thực hiện nhiệm vụ: HS chú ý, thảo luận nhóm hoàn thành yêu cầu.
Bước 3: Báo cáo, thảo luận: Sau khi hoàn thành thảo luận: Các nhóm treo phần
bài làm của mình trên bảng và sau khi tất cả các nhóm kết thúc phần thảo luận của
mình GV gọi bất kì HS nào trong nhóm đại diện trình bày.
Bước 4: Kết luận, nhận định: GV đánh giá kết quả của các nhóm HS, trên cơ sở
đó cho các em hoàn thành bài tập.
d) Tổ chức thực hiện: HĐ CỦA GV VÀ HS
SẢN PHẨM DỰ KIẾN
Bước 1: Chuyển giao nhiệm vụ:
Sơ đồ tư duy về tổng hợp
- GV mời đại diện từng nhóm lên trình bày về sơ đồ kiến thức của chương I. tư duy của nhóm.
- GV có thể đặt các câu hỏi thêm về nội dung kiến thức.
- GV có thể đưa ra sơ đồ chung để HS hình dung hơn.
Bước 2: Thực hiện nhiệm vụ:
- HS tự phân công nhóm trưởng và nhiệm vụ phải làm để hoàn thành sơ đồ.
- GV hỗ trợ, hướng dẫn thêm.
Bước 3: Báo cáo, thảo luận:
- Đại diện nhóm trình bày, các HS chú ý lắng nghe và cho ý kiến.
- HS trả lời câu hỏi của GV.
Bước 4: Kết luận, nhận định:
- GV nhận xét các sơ đồ, nêu ra điểm tốt và chưa tốt, cần cải thiện.
- GV chốt lại kiến thức của chương.
B. HÌNH THÀNH KIẾN THỨC MỚI
C. HOẠT ĐỘNG LUYỆN TẬP, VẬN DỤNG
a) Mục tiêu: Học sinh củng cố lại kiến thức của chương I.
b) Nội dung: HS vận dụng các kiến thức về đơn thức, đa thức, hằng đẳng thức
đáng nhớ, phân tích đa thức thành nhân tử, phân thức đại số, suy nghĩ làm bài tập,
Giáo án Bài tập cuối chương 1 Toán 8 Cánh diều
727
364 lượt tải
MUA NGAY ĐỂ XEM TOÀN BỘ TÀI LIỆU
CÁCH MUA:
- B1: Gửi phí vào TK:
1053587071
- NGUYEN VAN DOAN - Ngân hàng Vietcombank (QR) - B2: Nhắn tin tới Zalo VietJack Official ( nhấn vào đây ) để xác nhận thanh toán và tải tài liệu - giáo án
Liên hệ ngay Hotline hỗ trợ: 084 283 45 85
Bộ giáo án Toán 8 Cánh diều được cập nhật liên tục trong gói này từ nay đến hết tháng 03/2024.
Để tải tài liệu gốc về máy bạn click vào nút Tải Xuống ở trên!
Thuộc bộ (mua theo bộ để tiết kiệm hơn):
- Bộ giáo án Toán 8 Cánh diều năm 2023 mới, chuẩn nhất được thiết kế theo phong cách hiện đại, đẹp mắt, trình bày chi tiết cho từng bài học và bám sát chương trình Sách giáo khoa Toán 8 Cánh diều.
- Mua trọn bộ sẽ tiết kiệm hơn tải lẻ 50%.
Đánh giá
4.6 / 5(727 )5
4
3
2
1

Trọng Bình
Tài liệu hay
Giúp ích cho tôi rất nhiều

Duy Trần
Tài liệu chuẩn
Rất thích tài liệu bên VJ soạn (bám sát chương trình dạy)
TÀI LIỆU BỘ BÁN CHẠY MÔN Toán Học
Xem thêmTÀI LIỆU BỘ BÁN CHẠY Lớp 8
Xem thêmTài liệu bộ mới nhất

Đây là bản xem thử, vui lòng mua tài liệu để xem chi tiết (có lời giải)
Bài tập cuối chương I
I. MỤC TIÊU:
1. Kiến thức: Học xong bài này, HS củng cố, rèn luyện kĩ năng:
– Nhận biết được đơn thức, đa thức nhiều biến, hai đơn thức đồng dạng.
– Xác định phần hệ số và phần biến của đơn thức thu gọn.
– Thực hiện được phép cộng, trừ, nhân các đa thức; chia đa thức cho đơn thức.
– Mô tả được các hằng đẳng thức: bình phương của một tổng; bình phương của
một hiệu; hiệu hai bình phương; lập phương của một tổng; lập phương của một
hiệu; tổng hai lập phương; hiệu hai lập phương.
– Phân tích được đa thức thành nhân tử bằng cách vận dụng trực tiếp hằng đẳng
thức, vận dụng hằng đẳng thức thông qua nhóm hạng tử và đặt nhân tử chung.
2. Năng lực
Năng lực chung:
– Năng lực tự chủ và tự học trong tìm tòi khám phá.
– Năng lực giao tiếp và hợp tác trong trình bày, thảo luận và làm việc nhóm.
– Năng lực giải quyết vấn đề và sáng tạo trong thực hành, vận dụng.
Năng lực riêng: tư duy và lập luận toán học, mô hình hóa toán học, sử dụng công
cụ, phương tiện học toán; giải quyết vấn đề toán học.
3. Phẩm chất
– Có ý thức học tập, ý thức tìm tòi, khám phá và sáng tạo, có ý thức làm việc
nhóm.
Mọi thắc mắc vui lòng xin liên hệ hotline: 084 283 45 85

Đây là bản xem thử, vui lòng mua tài liệu để xem chi tiết (có lời giải)
– Chăm chỉ tích cực xây dựng bài, có trách nhiệm, chủ động chiếm lĩnh kiến thức
theo sự hướng dẫn của GV.
– Hình thành tư duy logic, lập luận chặt chẽ, và linh hoạt trong quá trình suy nghĩ;
biết tích hợp toán học và cuộc sống.
II. THIẾT BỊ DẠY HỌC VÀ HỌC LIỆU
1 – GV: SGK, SGV, Tài liệu giảng dạy, giáo án PPT, PBT,...
2 – HS: SGK, SBT, vở ghi, giấy nháp, đồ dùng học tập (bút, thước...), bảng nhóm,
bút viết bảng nhóm.
III. TIẾN TRÌNH DẠY HỌC
A. HOẠT ĐỘNG KHỞI ĐỘNG (MỞ ĐẦU)
Hoạt động: Ôn tập kiến thức đã học của chương I
a) Mục tiêu:
- HS nhắc lại và tổng hợp được các kiến thức đã học theo một sơ đồ nhất định.
b) Nội dung:
HS tổng hợp lại kiến thức dựa theo SGK và ghi chép trên lớp theo nhóm đã được
phân công của buổi trước.
c) Sản phẩm: Sơ đồ mà HS đã vẽ: Nội dung kiến thức từ Bài 1 → Bài 4.
Bước 1: Chuyển giao nhiệm vụ:
– GV chia lớp thành 4 nhóm hoạt động theo kĩ thuật khăn trải bàn và tổng hợp ý
kiến vào giấy A1 thành sơ đồ tư duy theo các yêu cầu với các nội dung như sau:
• Nhóm 1. Đơn thức nhiều biến. Đa thức nhiều biến
Khái niệm đơn thức, đa thức.
Thu gọn đơn thức, đa thức.
Mọi thắc mắc vui lòng xin liên hệ hotline: 084 283 45 85

Đây là bản xem thử, vui lòng mua tài liệu để xem chi tiết (có lời giải)
Tính được giá trị của đa thức khi biết giá trị của các biến.
Cộng, trừ các đơn thức đồng dạng.
• Nhóm 2. Các phép tính với đa thức nhiều biến
Cộng, trừ, các đơn thức, đa thức.
Nhân hai đơn thức, nhân đơn thức với đa thức, nhân hai đa thức.
– Thực hiện phép chia hết đơn thức cho đơn thức, đa thức cho đơn thức.
• Nhóm 3. Hằng đẳng thức đáng nhớ
Bình phương của một tổng, một hiệu.
Hiệu của hai bình phương.
Lập phương của một tổng, một hiệu.
Tổng, hiệu hai lập phương.
• Nhóm 3: Vận dụng hằng đẳng thức vào phân tích đa thức thành nhân tử
Nhận biết phép biến đổi là phân tích đa thức thành nhân tử.
Phân tích đa thức thành nhân tử bằng cách vận dụng trực tiếp hằng đẳng
thức.
Phân tích đa thức thành nhân tử bằng cách vận dụng thông qua nhóm số
hạng và đặt nhân tử chung.
Bước 2: Thực hiện nhiệm vụ: HS chú ý, thảo luận nhóm hoàn thành yêu cầu.
Bước 3: Báo cáo, thảo luận: Sau khi hoàn thành thảo luận: Các nhóm treo phần
bài làm của mình trên bảng và sau khi tất cả các nhóm kết thúc phần thảo luận của
mình GV gọi bất kì HS nào trong nhóm đại diện trình bày.
Bước 4: Kết luận, nhận định: GV đánh giá kết quả của các nhóm HS, trên cơ sở
đó cho các em hoàn thành bài tập.
Mọi thắc mắc vui lòng xin liên hệ hotline: 084 283 45 85

Đây là bản xem thử, vui lòng mua tài liệu để xem chi tiết (có lời giải)
d) Tổ chức thực hiện:
HĐ CỦA GV VÀ HS SẢN PHẨM DỰ KIẾN
Bước 1: Chuyển giao nhiệm vụ:
- GV mời đại diện từng nhóm lên trình bày về sơ đồ
tư duy của nhóm.
- GV có thể đặt các câu hỏi thêm về nội dung kiến
thức.
- GV có thể đưa ra sơ đồ chung để HS hình dung hơn.
Bước 2: Thực hiện nhiệm vụ:
- HS tự phân công nhóm trưởng và nhiệm vụ phải làm
để hoàn thành sơ đồ.
- GV hỗ trợ, hướng dẫn thêm.
Bước 3: Báo cáo, thảo luận:
- Đại diện nhóm trình bày, các HS chú ý lắng nghe và
cho ý kiến.
- HS trả lời câu hỏi của GV.
Bước 4: Kết luận, nhận định:
- GV nhận xét các sơ đồ, nêu ra điểm tốt và chưa tốt,
cần cải thiện.
- GV chốt lại kiến thức của chương.
Sơ đồ tư duy về tổng hợp
kiến thức của chương I.
B. HÌNH THÀNH KIẾN THỨC MỚI
C. HOẠT ĐỘNG LUYỆN TẬP, VẬN DỤNG
a) Mục tiêu: Học sinh củng cố lại kiến thức của chương I.
b) Nội dung: HS vận dụng các kiến thức về đơn thức, đa thức, hằng đẳng thức
đáng nhớ, phân tích đa thức thành nhân tử, phân thức đại số, suy nghĩ làm bài tập,
Mọi thắc mắc vui lòng xin liên hệ hotline: 084 283 45 85

Đây là bản xem thử, vui lòng mua tài liệu để xem chi tiết (có lời giải)
tham gia thảo luận nhóm, hoàn thành bài tập, làm bài Bài 11 đến bài 6 (SGK –
tr28).
c) Sản phẩm học tập: HS giải được bài về tính giá trị của đa thức khi biết giá trị
của ẩn; thực hiện cộng, trừ, nhân, chia các đơn thức, đa thức, phân thức; chứng
minh giá trị của biểu thức không phụ thuộc vào giá trị của biến; phân tích đa thức
thành nhân tử và áp dụng vào bài toán thực tế.
d) Tổ chức thực hiện:
Bước 1: Chuyển giao nhiệm vụ:
- GV tổng hợp các kiến thức cần ghi nhớ cho HS.
- GV tổ chức cho HS hoạt động làm Bài 1 đến bài 6 (SGK – tr28), chia HS làm
nhóm 4 thực hiện theo phương pháp khăn trải bàn, làm bài 1, bài 2 (câu a, d), bài 3
(câu b, d), bài 4, bài 5 (a, d, g), bài 6. GV giao về nhà các câu còn lại.
- GV cho HS làm bài thêm nếu đủ thời gian hoặc có thể giao về nhà.
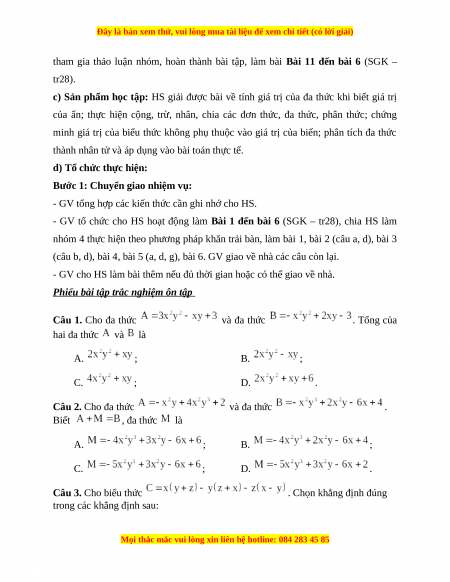
Phiếu bài tập trắc nghiệm ôn tập
Câu 1. Cho đa thức và đa thức . Tổng của
hai đa thức và là
A. ; B. ;
C. ; D. .
Câu 2. Cho đa thức và đa thức .
Biết , đa thức là
A. ; B. ;
C. ; D. .
Câu 3. Cho biểu thức . Chọn khẳng định đúng
trong các khẳng định sau:
Mọi thắc mắc vui lòng xin liên hệ hotline: 084 283 45 85