CHỦ ĐỀ 3. TỐC ĐỘ
BỘ SÁCH: CÁNH DIỀU
CHƯƠNG 4: HỆ THỨC LƯỢNG TRONG TAM GIÁC. VECTƠ
BÀI TẬP CUỐI CHƯƠNG 4
Bài 1 trang 99 Toán lớp 10 Tập 1: : Cho tam giác ABC có AB = 3, AC = 4, 120°.
Tính (làm tròn kết quả đến hàng đơn vị):
a) Độ dài cạnh BC và độ lớn góc B;
b) Bán kính đường tròn ngoại tiếp;
c) Diện tích của tam giác;
d) Độ dài đường cao xuất phát từ A;
e) với M là trung điểm của BC.
Hướng dẫn trả lời:
a) + Áp dụng định lí côsin trong tam giác ABC ta có:
BC2 = AB2 + AC 2 – 2 . AB . AC . cos
= 32 + 42 – 2 . 3. 4 . cos 120° = 9 + 16 – (– 12 ) = 37 Suy ra: BC = . + Ta có: . Suy ra
b) Áp dụng định lí sin trong tam giác ABC ta có: Suy ra:
Vậy bán kính đường tròn ngoại tiếp tam giác ABC là R ≈ 3.
c) Diện tích tam giác ABC là: d) Kẻ đường cao AH.
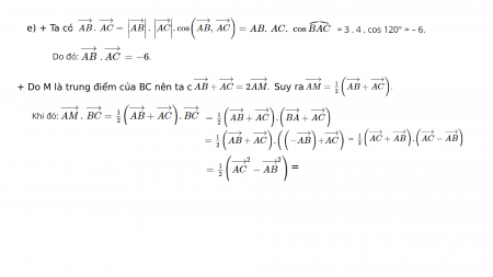
Ta có diện tích tam giác ABC là: Suy ra: e) + Ta có:
+ Do M là trung điểm của BC nên ta có Suy ra: =
Giáo án powerpoint Bài tập cuối chương 4 Toán 10 Cánh diều
0.9 K
457 lượt tải
MUA NGAY ĐỂ XEM TOÀN BỘ TÀI LIỆU
CÁCH MUA:
- B1: Gửi phí vào TK:
1133836868- CT TNHH DAU TU VA DV GD VIETJACK - Ngân hàng MB (QR) - B2: Nhắn tin tới Zalo VietJack Official ( nhấn vào đây ) để xác nhận thanh toán và tải tài liệu - giáo án
Liên hệ ngay Hotline hỗ trợ: 084 283 45 85
Bộ bài giảng điện tử Toán 10 Cánh diều được cập nhật liên tục trong gói này từ nay đến hết tháng 6/2023.
Để tải tài liệu gốc về máy bạn click vào nút Tải Xuống ở trên!
Thuộc bộ (mua theo bộ để tiết kiệm hơn):
- Trọn bộ bài giảng powerpoint Toán 10 Bài tập cuối chương 4 Cánh diều năm 2023 hay nhất được thiết kế theo phong cách hiện đại, đẹp mắt giúp Giáo viên có thêm nhiều ý tưởng khi giảng dạy.
- Mua trọn bộ sẽ tiết kiệm hơn tải lẻ 50%.
Đánh giá
4.6 / 5(914 )5
4
3
2
1
Trọng Bình
Tài liệu hay
Giúp ích cho tôi rất nhiều
Duy Trần
Tài liệu chuẩn
Rất thích tài liệu bên VJ soạn (bám sát chương trình dạy)
TÀI LIỆU BỘ BÁN CHẠY MÔN Toán Học
Xem thêmTÀI LIỆU BỘ BÁN CHẠY Lớp 10
Xem thêmTài liệu bộ mới nhất

!
"#$

%&'()*'+,-./0
102+,3'(4456'.&728972:: Cho tam giác ABC có AB = 3, AC = 4,120°.
Tính (làm tròn kết quả đến hàng đơn vị):
a) Độ dài cạnh BC và độ lớn góc B;
b) Bán kính đường tròn ngoại tiếp;
c) Diện tích của tam giác;
d) Độ dài đường cao xuất phát từ A;
e)với M là trung điểm của BC.
a) + Áp dụng định lí côsin trong tam giác ABC ta có:
BC
2
= AB
2
+ AC
2
– 2 . AB . AC . cos
= 3
2
+ 4
2
– 2 . 3. 4 . cos 120° = 9 + 16 – (– 12 ) = 37
Suy ra:BC = .

+ Ta có:
. Suy ra
b) Áp dụng định lí sin trong tam giác ABC ta có:
Suy ra:
Vậy bán kính đường tròn ngoại tiếp tam giác ABC là R ≈
3.
c) Diện tích tam giác ABC là:
d) Kẻ đường cao AH.
Ta có diện tích tam giác ABC là:
Suy ra:

e) + Ta có:
+ Do M là trung điểm của BC nên ta có
Suy ra:
=

10;+,3'(4456'.&728972:Không dùng máy tính cầm tay, hãy tính giá trị của
các biểu thức sau:
A = (sin 20° + sin 70°)
2
+ (cos 20° + cos 110°)
2
,
B = tan 20° + cot 20° + tan 110° + cot 110°.
%&'()*'+,-./0
+ Ta có:
A = (sin 20° + sin 70°)
2
+ (cos 20° + cos 110°)
2
= [sin(90° – 70°) + sin 70°]
2
+ [cos(90° – 70°) +
cos(180° – 70°)]
2
= (cos70° + sin 70°)
2
+ [sin 70° + (– cos 70°)]
2
= (cos 70° + sin 70°)
2
+ (sin 70° – cos 70°)
2
= cos
2
70° + 2 . cos 70° . sin 70° + sin
2
70° + sin
2
70° – 2 . sin 70° . cos 70° + cos
2
70°=
2(cos
2
70° + sin
2
70°)
= 2 . 1 = 2
Vậy A = 2.
