Chương II
PHÂN THỨC ĐẠI SỐ
Chuyên đề 9. PHÂN THỨC ĐẠI SỐ. TÍNH CHẤT PHÂN THỨC ĐẠI SỐ
A. Kiến thức cần nhớ
1. Phân thức đại số
Một phân thức đại số ( hay nói gọn là phân thức ) là biểu thức có dạng , trong đó là những đa
thức và khác đa thức 0. được gọi là tử thức ( hay tử), được gọi là mẫu thức ( hay mẫu).
Mỗi đa thức cũng được gọi là một phân thức có mẫu thức bằng 1.
Mỗi số thực a bất kỳ cũng là một phân thức. Hai phân thức và gọi là bằng nhau nếu nếu
2. Tính chát cơ bản của phân thức Tính chất cơ bản.
- Nếu nhân cả tử và mẫu của một phân thức với cùng một đa thức khác 0 thì được một phân thức mới bằng phân thức đã cho:
( M là đa thức khác đa thức 0).
- Nếu chia cả tử và mẫu của một phân thức cho một nhân tử chung của chúng thì được một phân thức mới bằng phân thức đã cho: ( N là nhân tử chung 0). Quy tắc đổi dấu.
Nếu đổi dấu cả tử và mẫu của một phân thức thì được một phân thức bằng phân thức đã cho: B. Một số ví dụ
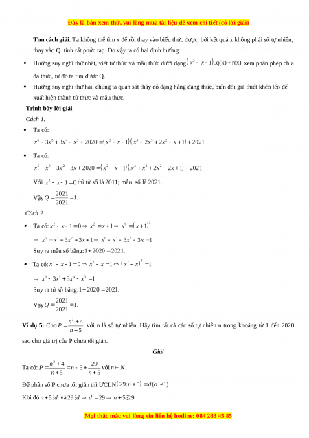
Ví dụ 1: Tìm đa thức A, biết rằng: Giải Tìm cách giải.
Để tìm đa thức A, chúng ta dùng khi và chỉ khi:
Trình bày lời giải
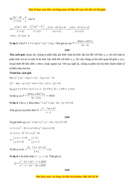
Từ suy ra Ví dụ 2: Cho và Tính giá trị của Giải
Tìm cách giải. Quan sát, chúng ta nhận thấy giả thiết chứa đa thức bậc hai đối với biến x, y, còn kết luận là
phân thức mà tử và mẫu là đa thức bậc nhất đối với biến x, y. Do vậy chúng ta tìm mối quan hệ giữa x và y
từ giả thiết để biểu diễn x theo y hoặc ngược lại. Với suy nghĩ ấy, chúng ta phân tích đa thức thành nhân tử từ điều kiện thứ hai.
Trình bày cách giải Từ Ta có Từ đó ta có:
Ví dụ 3: Cho x, y thỏa mãn
Tính giá trị của biểu thức Giải Từ giả thiết suy ra Từ đó ta có
Ví dụ 4: Cho biểu thức Tính giá trị Giải
Tìm cách giải. Ta không thể tìm x để rồi thay vào biểu thức được, bởi kết quả x không phải số tự nhiên,
thay vào Q tính rất phức tạp. Do vậy ta có hai định hướng:
Hướng suy nghĩ thứ nhất, viết tử thức và mẫu thức dưới dạng xem phần phép chia
đa thức, từ đó ta tìm được Q.
Hướng suy nghĩ thứ hai, chúng ta quan sát thấy có dạng hằng đẳng thức, biến đổi giả thiết khéo léo để
xuất hiện thành tử thức và mẫu thức.
Trình bày lời giải Cách 1. Ta có: Ta có: Với
thì tử số là 2011; mẫu số là 2021. Vậy Cách 2. Ta có: Suy ra mẫu số bằng: Ta có: Suy ra tử số bằng: Vậy Ví dụ 5: Cho
với n là số tự nhiên. Hãy tìm tất cả các số tự nhiên n trong khoảng từ 1 đến 2020
sao cho giá trị của P chưa tối giản. Giải Ta có: với
Để phân số P chưa tối giản thì ƯCLN Khi đó và
Hay Mà
Vậy các số tự nhiên n cần tìm có dạng với
Ví dụ 6. Với giá trị nào của x thì:
a) Giá trị của phân thức dương;
b) Giá trị của phân thức âm;
c) Giá trị của phân thức dương. Giải
Tìm cách giải. Khi giải những dạng toán này chứng ta cần sử dụng kiến thức sau: Phân thức
có giá trị dương khi và chỉ khi A và B cùng dấu. Phân thức
có giá trị âm khi và chỉ khi A và B trái dấu.
Trình bày lời giải a) b) c) và cùng dấu; mà nên hoặc hoặc
C. Bài tập vận dụng 9.1.
a) Tìm đa thức A, cho biết
b) Tìm đa thức M, cho biết
Hướng dẫn giải – đáp số Dùng định nghĩa, ta có:
Phát triển tư duy sáng tạo Giải Toán 8 Đại số - Chương 2: Phân thức đại số
396
198 lượt tải
MUA NGAY ĐỂ XEM TOÀN BỘ TÀI LIỆU
CÁCH MUA:
- B1: Gửi phí vào TK:
1133836868- CT TNHH DAU TU VA DV GD VIETJACK - Ngân hàng MB (QR) - B2: Nhắn tin tới Zalo VietJack Official ( nhấn vào đây ) để xác nhận thanh toán và tải tài liệu - giáo án
Liên hệ ngay Hotline hỗ trợ: 084 283 45 85
Tài liệu được cập nhật liên tục trong gói này từ nay đến hết tháng 6/2023. Chúng tôi đảm bảo đủ số lượng đề đã cam kết hoặc có thể nhiều hơn, tất cả có BẢN WORD, LỜI GIẢI CHI TIẾT và tải về dễ dàng.
Để tải tài liệu gốc về máy bạn click vào nút Tải Xuống ở trên!
Thuộc bộ (mua theo bộ để tiết kiệm hơn):
- Tailieugiaovien.com.vn giới thiệu Bộ tài liệu Phát triển tư duy sáng tạo Đại số lớp 8 môn Toán mới nhất năm 2022 - 2023 nhằm giúp Giáo viên có thêm tài liệu tham khảo Toán lớp 8.
- File word có lời giải chi tiết 100%.
- Mua trọn bộ sẽ tiết kiệm hơn tải lẻ 50%.
Đánh giá
4.6 / 5(396 )5
4
3
2
1
Trọng Bình
Tài liệu hay
Giúp ích cho tôi rất nhiều
Duy Trần
Tài liệu chuẩn
Rất thích tài liệu bên VJ soạn (bám sát chương trình dạy)
TÀI LIỆU BỘ BÁN CHẠY MÔN Toán Học
Xem thêmTÀI LIỆU BỘ BÁN CHẠY Lớp 8
Xem thêmTài liệu bộ mới nhất

Đây là bản xem thử, vui lòng mua tài liệu để xem chi tiết (có lời giải)
Chương II
PHÂN THỨC ĐẠI SỐ
Chuyên đề 9. PHÂN THỨC ĐẠI SỐ. TÍNH CHẤT PHÂN THỨC ĐẠI SỐ
A. Kiến thức cần nhớ
1. Phân thức đại số
Một phân thức đại số ( hay nói gọn là phân thức ) là biểu thức có dạng , trong đó là những đa
thức và khác đa thức 0. được gọi là tử thức ( hay tử), được gọi là mẫu thức ( hay mẫu).
Mỗi đa thức cũng được gọi là một phân thức có mẫu thức bằng 1.
Mỗi số thực a bất kỳ cũng là một phân thức.
Hai phân thức và gọi là bằng nhau nếu
nếu
2. Tính chát cơ bản của phân thức
Tính chất cơ bản.
- Nếu nhân cả tử và mẫu của một phân thức với cùng một đa thức khác 0 thì được một phân thức mới
bằng phân thức đã cho:
( M là đa thức khác đa thức 0).
- Nếu chia cả tử và mẫu của một phân thức cho một nhân tử chung của chúng thì được một phân thức mới
bằng phân thức đã cho:
( N là nhân tử chung 0).
Quy tắc đổi dấu.
Nếu đổi dấu cả tử và mẫu của một phân thức thì được một phân thức bằng phân thức đã cho:
B. Một số ví dụ
Ví dụ 1: Tìm đa thức A, biết rằng:
Giải
Tìm cách giải.
Để tìm đa thức A, chúng ta dùng khi và chỉ khi:
Trình bày lời giải
Mọi thắc mắc vui lòng xin liên hệ hotline: 084 283 45 85

Đây là bản xem thử, vui lòng mua tài liệu để xem chi tiết (có lời giải)
Từ suy ra
Ví dụ 2: Cho và Tính giá trị của
Giải
Tìm cách giải. Quan sát, chúng ta nhận thấy giả thiết chứa đa thức bậc hai đối với biến x, y, còn kết luận là
phân thức mà tử và mẫu là đa thức bậc nhất đối với biến x, y. Do vậy chúng ta tìm mối quan hệ giữa x và y
từ giả thiết để biểu diễn x theo y hoặc ngược lại. Với suy nghĩ ấy, chúng ta phân tích đa thức thành nhân tử
từ điều kiện thứ hai.
Trình bày cách giải
Từ
Ta có
Từ đó ta có:
Ví dụ 3: Cho x, y thỏa mãn
Tính giá trị của biểu thức
Giải
Từ giả thiết suy ra
Từ đó ta có
Ví dụ 4: Cho biểu thức Tính giá trị
Giải
Mọi thắc mắc vui lòng xin liên hệ hotline: 084 283 45 85

Đây là bản xem thử, vui lòng mua tài liệu để xem chi tiết (có lời giải)
Tìm cách giải. Ta không thể tìm x để rồi thay vào biểu thức được, bởi kết quả x không phải số tự nhiên,
thay vào Q tính rất phức tạp. Do vậy ta có hai định hướng:
Hướng suy nghĩ thứ nhất, viết tử thức và mẫu thức dưới dạng xem phần phép chia
đa thức, từ đó ta tìm được Q.
Hướng suy nghĩ thứ hai, chúng ta quan sát thấy có dạng hằng đẳng thức, biến đổi giả thiết khéo léo để
xuất hiện thành tử thức và mẫu thức.
Trình bày lời giải
Cách 1.
Ta có:
Ta có:
Với thì tử số là 2011; mẫu số là 2021.
Vậy
Cách 2.
Ta có:
Suy ra mẫu số bằng:
Ta có:
Suy ra tử số bằng:
Vậy
Ví dụ 5: Cho với n là số tự nhiên. Hãy tìm tất cả các số tự nhiên n trong khoảng từ 1 đến 2020
sao cho giá trị của P chưa tối giản.
Giải
Ta có: với
Để phân số P chưa tối giản thì ƯCLN
Khi đó và
Mọi thắc mắc vui lòng xin liên hệ hotline: 084 283 45 85

Đây là bản xem thử, vui lòng mua tài liệu để xem chi tiết (có lời giải)
Hay
Mà
Vậy các số tự nhiên n cần tìm có dạng với
Ví dụ 6. Với giá trị nào của x thì:
a) Giá trị của phân thức dương;
b) Giá trị của phân thức âm;
c) Giá trị của phân thức dương.
Giải
Tìm cách giải. Khi giải những dạng toán này chứng ta cần sử dụng kiến thức sau:
Phân thức có giá trị dương khi và chỉ khi A và B cùng dấu.
Phân thức có giá trị âm khi và chỉ khi A và B trái dấu.
Trình bày lời giải
a)
b)
c) và cùng dấu; mà nên hoặc hoặc
C. Bài tập vận dụng
9.1.
a) Tìm đa thức A, cho biết
b) Tìm đa thức M, cho biết
Hướng dẫn giải – đáp số
Dùng định nghĩa, ta có:
Mọi thắc mắc vui lòng xin liên hệ hotline: 084 283 45 85

Đây là bản xem thử, vui lòng mua tài liệu để xem chi tiết (có lời giải)
a)
b)
Nhận xét. Bạn có thể dùng tính chất cơ bản của phân thức để giải bài này.
9.2. Cho a và b là các số thỏa mãn và . Tính giá trị của biểu thức
Mọi thắc mắc vui lòng xin liên hệ hotline: 084 283 45 85
