Chương IV. BẤT PHƯƠNG TRÌNH BẬC NHẤT MỘT ẨN
Chuyên đề 21. BẤT ĐẲNG THỨC
A. Kiến thức cần nhớ 1. Định nghĩa * Hệ thức dạng (hay
) gọi là bất đẳng thức. * . 2. Tính chất a) d) Tính chất nhân: b) Tính chất bắc cầu: * nếu nếu nếu c) Tính chất cộng: * nếu nếu nếu
e) Cộng vế với vế của hai bất đẳng thức cùng chiều được một bất đẳng thức cùng chiều.
f) Trừ từng vế của hai bất đẳng thức ngược chiều ta được một bất đẳng thức cùng chiều với bất đẳng thức
thứ nhất. (Không được trừ vế với vế của hai bất đẳng thức cùng chiều) g) ; ; . h) Với nếu ; ; . i) Nếu và thì
3. Các phương pháp chứng minh ; ( tương tự):
1) Dùng định nghĩa chứng minh
(Xét hiệu hai vế).
2) Biến đổi tương đương: ; Nếu đúng thì đúng.
3) Phản chứng: Giả sử
dẫn tới một điều vô lý. Vậy .
4) Chứng minh bằng quy nạp toán học:
+ Bước 1: Chứng minh bất đẳng thức đúng với .
+ Bước 2: Giả sử bất đẳng thức đúng với
, ta chứng minh bất đẳng thức đúng với .
Từ đó kết luận bất đẳng thức đúng với mọi số tự nhiên .
(Phương pháp quy nạp toán học thường được sử dụng khi trong bất đẳng thức có sự tham gia của n với
vai trò của một số nguyên dương tùy ý hoặc số nguyên dương lấy mọi giá trị bắt đầu từ nào đó).
5) Phương pháp tổng hợp:
+ Sử dụng tính chất và các hằng bất đẳng thức.
+ Sử dụng tính chất bắc cầu (làm trội) .
4. Một số hằng bất đẳng thức a) . Dấu “=” xảy ra ; b) . Dấu “=” xảy ra ;
c) Bất đẳng thức giá trị tuyệt đối: * (Dấu “=” xảy ra ). * (Dấu “=” xảy ra và ).
d) Bất đẳng thức tam giác: với a; b; c là 3 cạnh tam giác:
e) Bất đẳng thức Cauchy (Augustin Louis Cauchy [1789 – 1857 nhà toán học Pháp]: Với n số không âm ta có: . Dấu “=” xảy ra .
* Chú ý: Vài dạng bất đẳng thức cụ thể hay gặp có thể sử dụng như bổ đề: hay .
f) Bất đẳng thức Bunyakovsky [Victor Yakovlevich Bunyakovsky (1804 – 1889) nhà toán học Nga].
Với mọi bộ n số , ta có: Dấu “=” xảy ra để . Nếu thì dấu “=” xảy ra .
* Chú ý: Dạng cụ thể hay gặp . B. Một số ví dụ
Ví dụ 1: Cho a và b là hai số bất kỳ chứng minh rằng
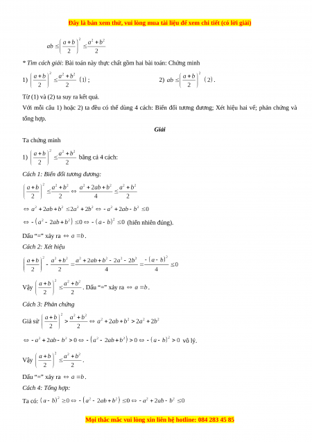
* Tìm cách giải: Bài toán này thực chất gồm hai bài toán: Chứng minh 1) ; 2) .
Từ (1) và (2) ta suy ra kết quả.
Với mỗi câu 1) hoặc 2) ta đều có thể dùng 4 cách: Biến đổi tương đương; Xét hiệu hai vế; phản chứng và tổng hợp. Giải Ta chứng minh 1) bằng cả 4 cách:
Cách 1: Biến đổi tương đương: (hiển nhiên đúng). Dấu “=” xảy ra . Cách 2: Xét hiệu Vậy . Dấu “=” xảy ra . Cách 3: Phản chứng Giả sử vô lý. Vậy . Dấu “=” xảy ra . Cách 4: Tổng hợp: Ta có:
Hay . Dấu “=” xảy ra . 2) Chứng minh: hiển nhiên đúng. Từ (1) và (2) suy ra . Dấu “=” xảy ra . * Nhận xét: ;
Từ bài toán a) ta có thể suy ra Thật vậy do
hai vế bất đẳng thức đều dương nên bình phương hai vế ta có
; cũng có bài toán a) ta lại có . Từ (1) và (2) ta có: .
Ví dụ 2: a) Chứng minh rằng b) Chứng minh và . Áp dụng chứng minh .
* Tìm cách giải: a) Hoán vị nhân tử
ở vế trái và thực hiện phép nhân và ta thấy xuất hiện
ở hai kết quả, ta nghĩ đến việc đặt ẩn phụ. Ta xét hiệu hai vế để chứng minh.
b) Xét hiệu hai vế và biến đổi. Giải a) Xét hiệu
Phát triển tư duy sáng tạo Giải Toán 8 Đại số - Chương 4: Bất phương trình bậc nhất một ẩn
460
230 lượt tải
MUA NGAY ĐỂ XEM TOÀN BỘ TÀI LIỆU
CÁCH MUA:
- B1: Gửi phí vào TK:
1133836868- CT TNHH DAU TU VA DV GD VIETJACK - Ngân hàng MB (QR) - B2: Nhắn tin tới Zalo VietJack Official ( nhấn vào đây ) để xác nhận thanh toán và tải tài liệu - giáo án
Liên hệ ngay Hotline hỗ trợ: 084 283 45 85
Tài liệu được cập nhật liên tục trong gói này từ nay đến hết tháng 6/2023. Chúng tôi đảm bảo đủ số lượng đề đã cam kết hoặc có thể nhiều hơn, tất cả có BẢN WORD, LỜI GIẢI CHI TIẾT và tải về dễ dàng.
Để tải tài liệu gốc về máy bạn click vào nút Tải Xuống ở trên!
Thuộc bộ (mua theo bộ để tiết kiệm hơn):
- Tailieugiaovien.com.vn giới thiệu Bộ tài liệu Phát triển tư duy sáng tạo Đại số lớp 8 môn Toán mới nhất năm 2022 - 2023 nhằm giúp Giáo viên có thêm tài liệu tham khảo Toán lớp 8.
- File word có lời giải chi tiết 100%.
- Mua trọn bộ sẽ tiết kiệm hơn tải lẻ 50%.
Đánh giá
4.6 / 5(460 )5
4
3
2
1
Trọng Bình
Tài liệu hay
Giúp ích cho tôi rất nhiều
Duy Trần
Tài liệu chuẩn
Rất thích tài liệu bên VJ soạn (bám sát chương trình dạy)
TÀI LIỆU BỘ BÁN CHẠY MÔN Toán Học
Xem thêmTÀI LIỆU BỘ BÁN CHẠY Lớp 8
Xem thêmTài liệu bộ mới nhất

Đây là bản xem thử, vui lòng mua tài liệu để xem chi tiết (có lời giải)
Chương IV. BẤT PHƯƠNG TRÌNH BẬC NHẤT MỘT ẨN
Chuyên đề 21. BẤT ĐẲNG THỨC
A. Kiến thức cần nhớ
1. Định nghĩa
* Hệ thức dạng (hay ) gọi là bất đẳng thức.
* .
2. Tính chất
a)
b) Tính chất bắc cầu:
c) Tính chất cộng:
d) Tính chất nhân:
* nếu
nếu
nếu
* nếu
nếu
nếu
e) Cộng vế với vế của hai bất đẳng thức cùng chiều được một bất đẳng thức cùng chiều.
f) Trừ từng vế của hai bất đẳng thức ngược chiều ta được một bất đẳng thức cùng chiều với bất đẳng thức
thứ nhất. (Không được trừ vế với vế của hai bất đẳng thức cùng chiều)
g) ;
;
.
h) Với nếu ;
;
.
i) Nếu và thì
3. Các phương pháp chứng minh ; ( tương tự):
1) Dùng định nghĩa chứng minh (Xét hiệu hai vế).
2) Biến đổi tương đương: ;
Nếu đúng thì đúng.
3) Phản chứng: Giả sử dẫn tới một điều vô lý. Vậy .
4) Chứng minh bằng quy nạp toán học:
+ Bước 1: Chứng minh bất đẳng thức đúng với .
+ Bước 2: Giả sử bất đẳng thức đúng với , ta chứng minh bất đẳng thức đúng với .
Mọi thắc mắc vui lòng xin liên hệ hotline: 084 283 45 85

Đây là bản xem thử, vui lòng mua tài liệu để xem chi tiết (có lời giải)
Từ đó kết luận bất đẳng thức đúng với mọi số tự nhiên .
(Phương pháp quy nạp toán học thường được sử dụng khi trong bất đẳng thức có sự tham gia của n với
vai trò của một số nguyên dương tùy ý hoặc số nguyên dương lấy mọi giá trị bắt đầu từ nào đó).
5) Phương pháp tổng hợp:
+ Sử dụng tính chất và các hằng bất đẳng thức.
+ Sử dụng tính chất bắc cầu (làm trội) .
4. Một số hằng bất đẳng thức
a) . Dấu “=” xảy ra ;
b) . Dấu “=” xảy ra ;
c) Bất đẳng thức giá trị tuyệt đối:
* (Dấu “=” xảy ra ).
* (Dấu “=” xảy ra và ).
d) Bất đẳng thức tam giác: với a; b; c là 3 cạnh tam giác:
e) Bất đẳng thức Cauchy (Augustin Louis Cauchy [1789 – 1857 nhà toán học Pháp]: Với n số không âm
ta có:
.
Dấu “=” xảy ra .
* Chú ý: Vài dạng bất đẳng thức cụ thể hay gặp có thể sử dụng như bổ đề:
hay .
f) Bất đẳng thức Bunyakovsky [Victor Yakovlevich Bunyakovsky (1804 – 1889) nhà toán học Nga].
Với mọi bộ n số , ta có:
Dấu “=” xảy ra để . Nếu thì dấu “=” xảy ra .
* Chú ý: Dạng cụ thể hay gặp .
B. Một số ví dụ
Ví dụ 1: Cho a và b là hai số bất kỳ chứng minh rằng
Mọi thắc mắc vui lòng xin liên hệ hotline: 084 283 45 85

Đây là bản xem thử, vui lòng mua tài liệu để xem chi tiết (có lời giải)
* Tìm cách giải: Bài toán này thực chất gồm hai bài toán: Chứng minh
1) ; 2) .
Từ (1) và (2) ta suy ra kết quả.
Với mỗi câu 1) hoặc 2) ta đều có thể dùng 4 cách: Biến đổi tương đương; Xét hiệu hai vế; phản chứng và
tổng hợp.
Giải
Ta chứng minh
1) bằng cả 4 cách:
Cách 1: Biến đổi tương đương:
(hiển nhiên đúng).
Dấu “=” xảy ra .
Cách 2: Xét hiệu
Vậy . Dấu “=” xảy ra .
Cách 3: Phản chứng
Giả sử
vô lý.
Vậy .
Dấu “=” xảy ra .
Cách 4: Tổng hợp:
Ta có:
Mọi thắc mắc vui lòng xin liên hệ hotline: 084 283 45 85

Đây là bản xem thử, vui lòng mua tài liệu để xem chi tiết (có lời giải)
Hay . Dấu “=” xảy ra .
2) Chứng minh:
hiển nhiên đúng.
Từ (1) và (2) suy ra . Dấu “=” xảy ra .
* Nhận xét: ;
Từ bài toán a) ta có thể suy ra
Thật vậy do hai vế bất đẳng thức đều dương nên bình phương hai vế ta có
; cũng có bài toán a) ta lại có . Từ (1) và (2) ta có:
.
Ví dụ 2: a) Chứng minh rằng
b) Chứng minh và .
Áp dụng chứng minh .
* Tìm cách giải: a) Hoán vị nhân tử ở vế trái và thực hiện phép nhân và
ta thấy xuất hiện ở hai kết quả, ta nghĩ đến việc đặt ẩn phụ. Ta xét hiệu hai vế để
chứng minh.
b) Xét hiệu hai vế và biến đổi.
Giải
a) Xét hiệu
Mọi thắc mắc vui lòng xin liên hệ hotline: 084 283 45 85

Đây là bản xem thử, vui lòng mua tài liệu để xem chi tiết (có lời giải)
Đặt thì biểu thức trên bằng
Vậy .
b) Xét hiệu
Vậy và . Dấu “=” xảy ra .
Áp dụng: Ta viết bất đẳng thức
Dưới dạng
Hay
Đặt thì đúng theo bất đẳng thức vừa chứng minh ở trên.
Ví dụ 3:
a) Chứng minh tổng các bình phương của hai số bất kỳ không nhỏ hơn hai lần tích hai số đó.
b) Chứng minh với thì (tổng một số dương với nghịch đảo của nó không nhỏ hơn 2).
c) Chứng minh với là các số dương và thỏa mãn thì và .
* Tìm cách giải: a) Lưu ý
b) Khử mẫu, chuyển vế xuất hiện hằng bất đẳng thức.
c) Lưu ý do nên , sử dụng kết quả b) để chứng minh.
Giải
a) Gọi hai số a và b. Hiển nhiên
b) Với đúng.
Dấu “=” xảy ra .
c) Đặt . Do và nên
* Ta luôn có và
Mọi thắc mắc vui lòng xin liên hệ hotline: 084 283 45 85
